流量变化对浅水三角洲沉积特征影响

李洪辉 ,  李伟 ,  岳大力 ,  徐振华 ,  谭玲 ,  吴光圳 ,  王武荣

地球科学 ›› 2025, Vol. 50 ›› Issue (06) : 2428 -2443.

PDF (9337KB)
地球科学 ›› 2025, Vol. 50 ›› Issue (06) : 2428 -2443. DOI: 10.3799/dqkx.2025.014

流量变化对浅水三角洲沉积特征影响

作者信息 +

Impact of Discharge Variability on Sedimentary Characteristics in Shallow-Water Deltas

Author information +
文章历史 +
PDF (9561K)

摘要

流量变化对河控浅水三角洲沉积特征和生长过程影响显著,为揭示不同流量变化条件下三角洲的宏观形态与内部构型特征,基于现代沉积及水文资料,采用动力学模拟软件开展了不同流量变化下的三角洲沉积数值模拟研究.研究表明:流量变化控制河道迁移速率和改道频率,影响三角洲地貌特征与内部构型特征;高流量变化条件下,三角洲呈扇状,分流河道频繁决口、分叉及废弃,河网结构复杂,河道数量显著增加,沉积物横向扩展明显,三角洲面积增大,岸线趋于光滑;低流量变化条件下,三角洲多呈鸟足状,分流河道较少且稳定,沉积物集中于河口,岸线糙度较高.研究成果可为相似三角洲沉积模式解析及油气储层预测提供科学依据.

Abstract

Discharge variability significantly impacts the sedimentary characteristics and growth processes of river-dominated shallow-water deltas. In this study it aims to explore the macroscopic morphology and internal architecture of deltas under different discharge variability conditions. Based on modern sedimentological and hydrological data, numerical simulations of deltaic sedimentation under varying discharge conditions were conducted using a hydrodynamic modeling software. The findings indicate that flow variation controls channel migration rates and avulsion frequencies, thereby influencing the geomorphic and architectural features of deltas. Under high flow variation conditions, deltas exhibit fan-shaped geometries, frequent avulsion, bifurcation, and abandonment of distributary channels, resulting in complex channel networks. Channel numbers increase significantly, sedimentary material expands laterally, delta areas grow larger, and shorelines become smoother. In contrast, under low flow variation conditions, deltas are primarily bird-foot shaped, with fewer and more stable distributary channels. Sediments concentrate at the river mouth, and shoreline roughness is higher. These findings provide a scientific basis for analyzing similar deltaic sedimentary patterns and predicting hydrocarbon reservoir architectures.

Graphical abstract

关键词

河控浅水三角洲 / 沉积数值模拟 / 流量变化 / 沉积构型 / 演化机理 / 石油地质.

Key words

river-dominated shallow-water delta / sedimentary numerical simulation / discharge variability / sedimentary architecture / evolutionary mechanism / petroleum geology

引用本文

引用格式 ▾
李洪辉,李伟,岳大力,徐振华,谭玲,吴光圳,王武荣. 流量变化对浅水三角洲沉积特征影响[J]. 地球科学, 2025, 50(06): 2428-2443 DOI:10.3799/dqkx.2025.014

登录浏览全文

4963

注册一个新账户 忘记密码

0 引言

浅水三角洲是限定性河流进入盆广坡缓、水体较浅、构造稳定的坳陷湖盆或陆表海环境中所形成的沉积体(Donaldson,1974Postma,1990;朱筱敏等,2012),受能量供应条件差异,前人将其划分为河控、浪控和潮控浅水三角洲(Galloway,1975).河控浅水三角洲因地势低平、河网密布、物源供给充足,其表层沉积物形成的肥沃土地为数亿人口提供生存保障(Edmonds et al.,2020).此外,河控浅水三角洲是全球范围内重要的油气储集类型,在我国多个含油气盆地广泛发育,如四川盆地侏罗系沙溪庙组(杨跃明等,2022)、松辽盆地白垩系泉头组(朱筱敏等,2012)及准噶尔盆地侏罗系三工河组(孙靖等,2020)等,资源潜力巨大(李程善等,2021).然而,河控浅水三角洲的控制因素众多,沉积模式多样,不同地区三角洲案例存在显著差异,现有经典三角洲沉积模式不足以支撑三角洲储层精细解剖(Zhu et al.,2017Zhang et al.,2018).因此,研究不同沉积模式下河控浅水三角洲的沉积构型模式与形成机理,有助于揭示地表径流迁移规律、评估潜在洪水灾害(黄晶和佘靖雯,2020;徐张帆和王先伟,2021),又为地下储层构型表征提供精细化模式指导,意义重大.

不同供源条件与径流盆地形成的河控浅水三角洲的沉积构型特征存在显著差异,探究其成因机制是当前研究热点(Edmonds et al.,2010Burpee et al.,2015).控制三角洲沉积特征的因素众多,包括流量(Edmonds et al.,2010;胡光明等,2023)、沉积物组成(Caldwell and Edmonds,2014)、坡度(杜威等,2022)、水深(曾灿等,2017)等.其中,流量作为关键因素,不仅控制分流河道数量,还直接影响三角洲形态与规模.已有研究表明,流量的大小与三角洲地貌特征密切相关(Edmonds et al.,2010Xu et al.,2021),且与三角洲的规模、分流河道的数量成正比(Olariu et al.,2012;杜威等,2022).然而,现有研究主要集中于流量大小,而对于流量变化的控制作用的研究,比如流量变化对三角洲演化的控制机制尚不清楚.流量变化指河流在不同时间尺度内(如季节性、年际尺度)流量的动态波动特征,反映了洪水强度与频率的波动(Heitmuller et al.,2017),直接影响分流河道的流速、沉积物搬运方式以及水体的能量消散过程(Simpson and Castelltort,2012;谭程鹏等,2018;Li et al.,2023),从而对分流河道的形成、废弃、决口与改道起着关键作用.但当前关于流量变化如何控制三角洲沉积过程、影响三角洲规模及分流河道特征的研究仍显不足,不同流量变化规律下河控浅水三角洲的沉积差异构型模式也尚未建立.

为此,本文通过动力学沉积数值模拟实验,系统分析流量变化对河控三角洲的影响,旨在表明:(1) 揭示流量变化对三角洲沉积过程的控制机理,探讨河控三角洲的生长与演化规律;(2) 量化不同流量变化规律下三角洲形态、面积及分流河道特征差异.研究结果不仅能丰富沉积学理论基础,为油气勘探开发提供科学依据,同时也为地表径流防洪清淤及水资源管理提供理论指导.

1 方法

1.1 Delft3D沉积数值模拟原理

Delft3D软件能有效模拟浅水环境下三角洲的演化规律,已广泛应用到与现代河流、三角洲相关的科学研究和工程项目(冯文杰等,2017;曾灿等,2017;Xu et al.,2021Li et al.,2023;李伟等,2023).该软件以流体动力学与泥沙搬运方程为模拟基础,开展河流-三角洲体系沉积数值模拟.其中,河流动力模块和沉积搬运模块在河流-三角洲模拟中最为关键,原理如下:

1.1.1 水动力方程

Delft3D软件的水动力计算主要依托于三维的“纳维-斯托克斯方程”(3⁃D Reynolds⁃averaged Navier⁃Stokes equations),该方程由动量守恒与能量守恒方程推导得到(Deltares,2014),适当简化后表达如下:

ut+uux+vuy+wuz=-gζx-guu2+v2C2h+Fx+Vh2ux2+2uy2+zVVuz,
vt+uvx+vvy+wvz=-gζy-gvu2+v2C2h+Fy+Vh2vx2+2vy2+zVVvz,
(hu)x+(hv)y+wz=0,

式(1~3)中,t为时间,s;xyz为顺流方向、横截面方向以及垂向(水深)的坐标,m;uvwxyz方向的水流流速,m/s;ζ为水面高度,m;h为水深,m;C为Chezy糙度系数,m0.5/s;VhVV是横向涡流黏度与垂向涡流黏度,m2/s;g为重力加速度常数;FxFy是在x方向与y方向上的辐射梯度压力,m/R2.

公式(1)和(2)分别对应x方向与y方向的动量守恒方程,公式左侧为计算单元xy方向的加速度,右侧为xy方向所受合力,即地球引力、摩擦力、水体辐射梯度压力、横向即垂向黏性力在xy方向的分力组成.公式(3)对应质量守恒方程,表示网格中流入与流出的质量总和为0.

1.1.2 泥沙搬运方程

在Delft3D模型中,沉积物可分为黏性(泥质,直径<64 μm)和非粘性组分(砂质,直径>64 μm).泥质沉积物的搬运、侵蚀与沉积采用著名的“Partheniades⁃Krone”方程(Deltares,2014),砂质沉积物则采用“Van Rijn (2001)”方程(Deltares,2014).

1.2 实验方案设置

1.2.1 数值模拟参数设置

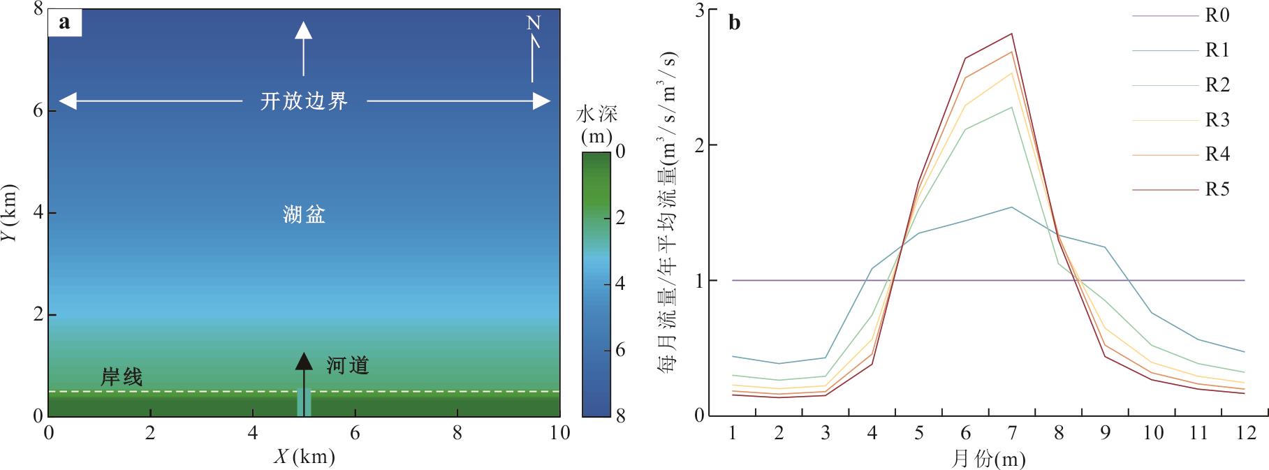
本次研究主要针对河控浅水三角洲,不考虑构造沉降、波浪和潮汐的影响.参考前人对赣江三角洲的规模与水动力条件分析(冯文杰等,2017;Xu et al.,2021),设置沉积数值模拟参数.模拟工区大小为10 km×8 km,共250×200个网格,网格大小40 m×40 m,南部设置1条长560 m、宽200 m的供源水道,北侧、东侧、西侧为开放边界,盆地由南向北倾斜,坡度约0.04°(图1a).设置6种粒度沉积物:300 μm、150 μm、80 μm、32 μm、13 μm与7.2 μm,前3种为非粘性组分,后3种为粘性组分,沉积物组成大体符合正态分布,其余参数见表1.

1.2.2 流量变化规律设置

主要探讨流量变化对浅水三角洲形成演化的控制作用,即在年平均流量相同基础上,通过改变年内流量季节性差异体现流量变化规律,为量化流量变化特征,定义流量季节指数(Wang and Ding,2008;谭程鹏等,2018):

DSI=(Dave_summer-Dave_winter)/Dmed,

式(4)中,DSI为流量季节指数,Dave_summer为夏季月份平均流量(5月-9月),Dave_winter为冬季月份平均流量(11月-次年3月),Dmed为年内流量中值.

本次研究共设置模拟实验6组,其中R0、R1、R2、R3、R4、R5实验分别对应DSI为0(恒定流量,参照组)、1、2、3、4、5(图1b).为使流量变化符合自然界规律,R5的流量变化参考恒河1970年1月到12月的真实流量,其余4组实验则根据R5的流量变化规律进行设置,通过设置每一年12个月的流量来体现出DSI的差异,同时控制年平均流量为600 m3/s(表2).

2 浅水三角洲生长演化过程

流量恒定与流量变化下水流流速、沉积物搬运方式等特征存在差异,直接影响分流河道的生长与演化,进一步影响浅水三角洲地貌形态与内部结构.

2.1 流量恒定下三角洲的演化及河道特征

为区分模拟结果中不同河道,定义分叉河道是同时期形成,且同时存在流水;决口河道为河道后期溢岸决口形成,为不同时期活动,河道存在先后顺序(Donselaar et al.,2013;李相博等,2021);深切超过初始沉积底床的为主河道,未能深切超过初始沉积底床的为次河道.

2.1.1 三角洲的平面演化及河道特征

在恒定流量条件下,三角洲的生长与演化可分为3个阶段(图2a~2f).

(1) 初期河道分叉(0~4年):河流携带沉积物进入湖盆,在湖水顶托作用下沉降,形成初始河口坝.随着河口坝体积增大,供给河道发生分叉,形成两条不对称的分流河道(图2a).

(2) 河道决口与向湖延伸(4~12年):流量分配不均导致东侧分流河道逐渐废弃,西侧河道承担主要水流与沉积物供给并持续延伸,河道末端发育指状砂坝.分叉过程下游水动力减弱,沉积物受回水效应在上游堆积,抬升河床并促使溢岸决口,形成新河道(图2b).新河道沿高可容空间方向快速延伸,而早期河道逐渐废弃.当沉积区趋于饱和时,上游再次决口并改变延伸方向(图2c).

(3) 河道决口与横向扩展(12~24年):分流河道的多次决口和废弃减缓了三角洲的纵向生长.当北向延伸至约5.5 km后,生长逐渐停止,转为向东西两侧扩展,平面形态稳定并呈现典型的指状特征(图2d~2f).

2.1.2 分流河道剖面演化特征

Y=2 km处提取R0模拟的沉积-侵蚀剖面,分析初期分叉河道的演化规律,总结恒定流量条件下河道的发育特征(图2g~2m).

(1) 西侧河道演化:初期,河道尚未抵达Y=2 km位置,沉积物堆积形成垂向加积的砂坝(图2h);中期,沉积物搬运增强,冲刷早期砂坝并逐渐深切(图2i);后期阶段,河道侵蚀的同时向东迁移,形成主河道.在6~24年间,该河道侧向迁移120 m,最大深切深度3 m,迁移速率约0.2 m/step.剖面表现为西侧缓坡、东侧陡坡,缓坡侧发育曲流河特征的侧积体(图2j).

(2)东侧河道演化规律:早期河道尚未抵达Y=2 km位置,沉积物以垂向加积为主,形成河口砂坝(图2k);中期河道延伸并深切早期沉积,形成浅窄初始河道(图2l);后期阶段,河道流量减弱,沉积物供给不足,河道废弃并被沉积物充填,呈现典型废弃河道特征(图2m).

2.2 流量变化下三角洲的演化及河道特征

2.2.1 三角洲的平面演化及河道特征

以R4实验为例(年洪峰流量达1 851.72 m3/s,夏季流量是冬季的十倍,夏季搬运了83%的水量和沉积物),将三角洲的生长与演化划分为4个阶段(图3a~3f):

(1)河道发育与快速推进(0~4年):初始夏季洪水期,三角洲面积快速扩展,向湖平均延伸速率达30 m/step,高峰值的流量频繁冲刷和重塑河口砂坝,分流河道数量显著增加但形态尚未稳定,深度与宽度较小;冬季水流减弱后,河道多而规模小,大部分河道仍保持活跃状态,延续泥沙输送功能(图3a).

(2) 决口频发与持续生长(4~8年):此阶段三角洲向北延伸减缓,转向东西扩展.夏季洪水高峰期,主河道约每1 km发生决口,形成多个次级河道,河口分叉增多,水流分配均匀.冬季洪峰退去后,次级河道流速下降,部分河道因沉积淤积变浅甚至废弃,但大规模河道仍维持输水功能,三角洲面积继续增长,河道网络复杂且连通性增强(图3b).

(3)河道稳定与横向扩展(8~12年):随着可容空间逐渐填满,主河道在近源处发生改道,汇入早期决口的次河道并向西扩展.夏季洪峰期,新主河道及其决口分叉的次级河道承担主要水流与泥沙输送,冬季流量减少后,原主河道逐渐萎缩,其早期决口分叉的次河道被沉积物填充而废弃.此时,三角洲平面横向扩展显著,河道网络趋于稳定(图3c).

(4)河道更替与动态平衡(12~24年):随着可容空间与物源供给的平衡,三角洲面积增长减缓.水流的主要泄洪通道在主河道间更替,废弃河道在夏季可短暂复活.此时洪水期间决口现象减少,主河道承担主要的输水与卸载功能,形成稳定的网络结构.冬季枯水期,除主河道及其部分分叉河道外,其他次级河道大多因缺水而废弃并暴露于沉积环境中(图3d~3f).

2.2.2 分流河道剖面演化特征

Y=2 km为界,提取R4实验三角洲24年内的沉积-侵蚀剖面(图3g),相较于恒定流量条件下的R0实验,R4实验中分流河道数量更多,横向扩展更显著,主河道的迁移和沉积特征存在显著差异,以Y=2 km横剖面上两条主河道为例.

(1)西侧主河道演化:初期阶段,河道携带沉积物在此堆积,形成垂向加积的砂坝,伴随高峰值的流量,形成多条小规模次河道(图3h);中期阶段,该河道在第12年由早期主河道决口形成,并在第14年成为主要泄洪通道,直至第23年被西南侧新河道替代.在14~23年间,该河道向东侧迁移80 m,最高迁移速率达3 m/step,但侧向迁移主要发生在夏季,冬季以垂向加积为主.剖面显示西岸陡、东岸缓,与典型曲流河侵蚀沉积规律不同(图3i);后期阶段,水流的主要泄洪通道更替,该河道水动力减弱,沉积物垂向充填(图3j).

(2) 东侧主河道演化:早期沉积物同样以垂向加积为主(图3k);中期阶段,该河道在4~9年为主要泄洪通道,活动期间侧向迁移速率显著(图3l);后期阶段:流量转移到西侧主河道后逐渐废弃,流速降低,沉积物快速填充并垂向加积(图3m).

此外,考虑分流河道两侧高于湖平面的水上沉积部分为天然堤沉积,R4实验中主河道两岸发育更厚的天然堤(平均厚度1 m,宽度120 m)(图3h~3m),显著高于R0实验的0.4 m厚度和70 m宽度(图2h~2m).次级河道天然堤亦更明显,这与流量周期性变化导致的水动力波动密切相关.

3 基于不同流量变化的浅水三角洲模拟差异构型模式

针对河控三角洲,可根据分流河道与河口坝组合样式,大致划分为鸟足状的指状砂坝型三角洲和扇状的分流砂坝型三角洲(吴胜和等,2019).本文主要以该分类方案对模拟结果的差异特征进行描述.

3.1 浅水三角洲差异化构型分布样式

3.1.1 低流量变化与高流量变化三角洲地貌特征

本次研究提取6组模拟实验在第20年时(相同沉积时间、相同沉积物供给量,模拟后期)的水深,以及截取低流量变化和高流量变化的两张河控浅水三角洲卫星照片进行对比,结果表明,流量变化控制三角洲连片程度,可区分鸟足状和扇状三角洲.在低流量变化下(流量季节指数<2),三角洲呈指状,分流河道仅发育1~3级分叉,河口处河坝组合样式呈条带状向盆延伸,分流河道位于河口坝之内,呈“河在坝内”的分布样式,大部分河-坝复合体之间具有明显的分流间湾将其分开(图4a,4b和4g);在高流量变化下(流量季节指数≥2),三角洲由频繁决口且多级分叉(大部分河道3~5级分叉)的分流河道-河口坝系统构成扇状沉积物(图4c~4f和4h),河口处分流河道分布于砂坝之间,呈“河在坝间”的分布样式(图4).因此,年平均流量相同、沉积物供给相同时,流量季节指数越小,越易形成鸟足状三角洲.

3.1.2 低流量变化与高流量变化分流河道分布特征

基于本次模拟实验参数,当三角洲延伸至水深0.5 m时,沉积物难以沉降并快速发散于湖盆.主河道分叉前的水深通常>3 m,流速≥0.5 m/s,因此将水深<0.5 m的区域定义为三角洲陆地部分,水深>3 m且流速≥0.5 m/s的区域定义为主河道.通过叠加整个模拟时间的主河道骨架,并结合每个时间点废弃河道的位置(图4),绘制了20年模拟期内各组实验的主河道分布图(图5).

在三角洲沉积演化过程中,流量变化通过调控水动力条件,直接影响沉积物搬运、分布和沉降模式.尽管年平均流量一致,低流量变化与高流量变化条件下形成的三角洲表现出显著差异:(1) 低流量变化:流量稳定且搬运能力较弱,沉积物输入均匀,河流主要携带泥沙向湖盆缓慢迁移,沉积集中于河道附近及河口区域,促使三角洲缓慢向湖扩展.分流河道数量较少,且形态稳定,河口堆积过程较均匀(图5);(2) 高流量变化:季节性流量波动显著.夏季强水动力导致河床侵蚀加剧,分流河道频繁决口、分叉,促进分流河道网络的迁移和复杂化,沉积物长距离输送至三角洲前缘,形成广泛沉积区.冬季水动力减弱,回水效应增强,沉积物在河道内淤积,抬升河床,促使来年洪水期河道更易决口.此类周期性变化使三角洲沉积过程表现为多期次堆积和侵蚀的交替,地貌演化迅速,内部沉积构型复杂(图5).高流量变化还加剧了河道决口、分叉与废弃,形成更大的泛滥平原范围和更复杂的河网系统,使三角洲更为多样(图4).

3.2 浅水三角洲构型参数规模定量分析

为量化不同流量变化对三角洲控制作用,定义水深小于0.5 m时为三角洲陆地部分(水深较大沉积物不易沉积),三角洲长度(Ldelta)为三角洲陆地向北侧(模拟上方为北)延伸最大距离,三角洲宽度(Wdelta)为三角洲陆地向东西两侧延伸最大距离,三角洲面积(Adelta)为三角洲陆地面积,三角洲岸线长度(Lshore)为三角洲陆地与湖盆交界处边界线长度.

3.2.1 三角洲平面几何形态定量化分析

(1)三角洲面积差异特征.统计6组模拟实验20年的三角洲长度、宽度及面积变化规律,并对比六组模拟实验在第10年时三角洲长度、宽度及面积的关系,结果表明:① 流量变化影响三角洲面积.在高流量变化模拟中,随着流量的周期性先增后减,面积会出现波动性先增后减,且随着模拟进行到中后期,面积波动幅度大于模拟早期,而低流量变化模拟,三角洲面积持续增大(图6c);相同模拟时长,流量季节指数越大,三角洲面积越大,两者呈线性正相关(图6f).② 相比于三角洲长度,流量变化对三角洲宽度影响更显著.三角洲长度和宽度随模拟时长增大而进而呈阶梯状增加,高流量变化阶梯状更明显(图6a和6b);在相同模拟时长下,三角洲长度和宽度均与流量季节指数线性正相关关系,但三角洲长度变化幅度更小,相关性更弱(图6e和6f),且6组模拟的三角洲长度到后期均逐渐趋近于5.5 km(图6a和6d),而三角洲宽度变化幅度大,高流量变化的三角洲宽度明显大于低流量变化的三角洲宽度(图6b).因此,高流量变化促进三角洲面积生长,且相比于三角洲长度,三角洲宽度对三角洲面积的增大作用更显著,进而易形成扇状的地貌形态.

(2)三角洲岸线糙度差异特征.研究表明,三角洲岸线糙度(R)与三角洲岸线长度(Lshore)和三角洲面积(Adelta)相关(R=Lshore/Adelta)(Edmonds et al.,2010;Xu et al.,2021),结合三角洲地貌特征描述,能更好地区分三角洲类型.鸟足状三角洲因其不规则的岸线和较小的沉积面积往往表现出较大的糙度,而扇状三角洲发育较为光滑的岸线和大面积的沉积范围使其糙度较小.

通过统计R0~R5模拟三角洲岸线长度及三角洲面积,分析各组实验岸线糙度特征,结果表明:① 不同流量变化下岸线糙度演化规律不同.模拟早期,各组模拟岸线糙度相似,随着模拟时长增大,低流量变化的2组实验表现为糙度逐渐增大,而高流量变化的4组实验表现为糙度波动性减小(图7a).② 相同模拟时长下,三角洲糙度与流量季节指数呈线性负相关关系(图7b).当三角洲演化逐渐达到平衡后,低流量变化的岸线糙度更大(图7a).结合对三角洲平面特征定性描述(图4),进一步确定低流量变化的三角洲呈鸟足状,高流量变化的三角洲呈扇状.

3.2.2 分流河道数量差异

考虑分流河道的频繁迁移、分叉和废弃,数量时刻变化、难以精确统计.因此,本文采用切物源方向横截面上的分流河道数量作为衡量分流河道发育情况的主要参数,其中平均河道数量定义为200个横截面(顺源方向共200个网格)上分流河道数量的平均值.

统计6组实验分流河道的数量变化规律,结果表明:(1) 不同流量变化的分流河道分布规律存在差异.在相同模拟时长下,流量变化小(R0和R1)的分流河道数量随着顺源距离增大呈单峰状先增多后减少,流量变化大(R2~R5)的分流河道数量随着顺源距离增大呈双峰状先增大后减少、再增大再减少,且峰值区间随流量季节指数增大而变宽,但六组模拟实验分流河道均延伸至约5.5 km处后终止(图8a).(2) 相同模拟时长,流量季节指数越大,平均分流河道数量越多,两者呈线性正相关(图8b).(3) 随着模拟时长增大,平均分流河道数量呈指数增多,到三角洲生长后期趋于稳定(图8c).因此,高流量变化条件形成数量更多、分布范围更广的分流河道,分流河道携带沉积物形成更宽广的三角洲平原,进而促进三角洲向扇状演化.

4 高流量变化对河控浅水三角洲差异特征的控制机理

前人基于沉积数值模拟以及对赣江三角洲实地考察表明,在沉积物性质(组分、粒度、黏度、泥沙比等)相似的条件下,流量对河控三角洲砂坝组合样式具有重要控制作用.高流量(平均流量>1 000 m3/s)条件下,分流河道更易分叉与决口,形成扇状三角洲;低流量(平均流量<1000 m3/s)条件下,分流河道更稳定,通常发育鸟足状三角洲(Xu et al.,2021).然而,本研究通过沉积数值模拟实验发现,鸟足状三角洲的发育不仅受流量大小控制,还与流量变化密切相关.在低流量条件下,若季节流量指数≥2,同样可形成扇状三角洲(图4).

4.1 基于现代沉积的高流量变化下扇状三角洲形成机理分析

数值模拟结果表明低流量条件下仍可形成扇状三角洲,为进一步验证该观点,本文以萨雷卡梅什湖(Sarygamysh Lake)东侧浅水三角洲为例,结合其沉积特征与流量变化规律进行论证.该三角洲由阿姆河(Amudaryo river)分支入湖形成,其位于土库曼斯坦中北部同乌兹别克斯坦交界处(图9a),地势平坦,属于温带大陆性气候,干旱少雨,年降雨量仅为100~400 mm(成晨等,2015).通过统计阿姆河1964—1973年月流量数据(图9c),计算其流量季节指数为3.42,认为萨雷卡梅什湖浅水三角洲为高流量变化三角洲.

萨雷卡梅什湖三角洲在1996年至2021年沉积期间(图10),受夏季洪水事件驱动,河道频繁决口、分叉及废弃,主河道改道3次,流量的波动使分流河道数量显著增多(Visconti et al.,2010Hansford and Björklund,2020),分布范围不断扩大,且冬季枯水期,除主河道及其部分分叉河道外,其他大多河道因缺水而废弃并暴露于沉积环境中(Zhang et al.,2018),河道系统的动态化形成复杂的河网结构.同时,主河道的迁移显著改变沉积物空间分布模式,其沉积物搬运方向由东南转向西南,提升沉积物的横向分散能力,三角洲横向扩展速率显著高于纵向延伸,多期次分流河道-河口坝砂体的叠加使得三角洲岸线更为平滑,平面形态更趋于扇状,通过圈定2024年卫星地图下萨雷卡梅什湖三角洲沉积陆地范围,计算其岸线糙度为4.35(三角洲面积:34.47 km2;岸线长度:25.53 km),与数值模拟结果中高流量变化三角洲的几何形态、分流河道特征、岸线糙度等特征相似.综上,认为高流量变化下,洪水事件频繁且强度大,河道频繁决口、分叉及废弃,促进三角洲横向生长,导致岸线形态更为平滑,岸线糙度降低,进而形成扇状三角洲.

4.2 基于流量季节指数变化的三角洲沉积特征机理分析

高流量变化形成更大三角洲面积和横向扩展:随着流量季节指数增大,洪水期高能水流可携带更多粗粒沉积物在河口堆积,同时频繁的溢岸作用将沉积物分散至泛滥平原,显著增加了三角洲的面积.然而,由于年沉积物供给量相同,尽管洪峰流量高但持续时间短,沉积物的长距离搬运能力受限,且湖盆水深加深削弱了沉积物的稳定性,使其更易分布在近物源处的浅水区域(Postma,1990).由此可见,季节指数的增大主要促进三角洲的横向扩展,而对纵向延伸的影响较弱.

高流量变化形成更多分流河道和更大规模的天然堤:在三角洲生长早期,高季节指数条件下,洪峰流量显著增大,尚未稳定的陆地易被高流态改造(谭程鹏等,2018),河流频繁决口与分叉形成更多的分流河道.在洪水期,携沙溢岸次数增加,大量悬移质沉积在两岸,当洪水退去后,河岸快速堆积的沉积物促使天然堤的发育,天然堤规模随季节指数增加而扩大.天然堤的进一步形成限制了河道决口频率,使河网结构在模拟后期趋于稳定(图3e和3f).

高流量变化形成更低的岸线糙度:季节指数增大导致分流河道数量增多和溢岸沉积范围扩大,洪水期的高流态流体将沉积物分布至三角洲的多个区域,避免其集中在河口形成细长的指状砂坝(Xu et al.,2021).这种沉积模式促使三角洲面积增加,同时岸线变得更加平滑,岸线糙度减小,使三角洲由鸟足状逐渐向扇状演化(图4).

4.3 沉积数值模拟方法存在的不足

本研究基于沉积数值模拟与现代沉积,系统分析了流量变化对三角洲构型的影响及其控制机理.然而,沉积数值模拟本质为一种是基于复杂数学方程求解的数值计算过程,为实现大规模网格计算和方程守恒,模拟中不可避免地存在多种理想化假设和近似条件,如浅水假设、布辛涅斯克近似等简化方程(Deltares,2014).此外,模拟参数设置难以完全还原自然界中的沉积环境条件,本次模拟未考虑植被、波浪和潮汐等因素的作用.在自然界发育的三角洲中,气候温暖湿润可促进植被生长(孙红雨等,1998),植被根系可加固土壤,减缓水流侵蚀,进而提高分流河道的稳定性(Nardin et al.,2016),本文的模拟设置仅适合于干旱或极端气候条件下植被影响微弱的情况.与此同时,本文主要讨论了河流作用对三角洲的改造,因此本文研究成果不适用于潮汐与波浪主控的三角洲沉积.

尽管如此,沉积数值模拟在沉积地质学和油气地质学中的重要性不可忽视.通过逆运算,数值模拟能依据现存的地下或地表沉积记录,反推沉积过程及其环境条件,为沉积学理论的深化与油气储层预测提供强有力的支持.未来,随着模型复杂度的提升和更多自然因素的引入,沉积数值模拟将在定量化分析和实际应用中发挥更为重要的作用.

5 结论与展望

基于沉积数值模拟,本研究首次探讨了不同流量变化特征对河控浅水三角洲的影响,再现了三角洲生长演化过程,分析了地貌形态、面积变化、岸线糙度及分流河道数量的差异特征,明确了流量变化对浅水三角洲沉积模式的控制机理.

(1)流量变化对三角洲沉积模式的控制作用:当平均流量相同时,低流量变化更易形成单一主河道及2~3级分叉的稳定河网结构,分流河道和指状砂坝稳定,三角洲狭长,表现为典型指状三角洲;而高流量变化下,分流河道频繁决口、分叉与废弃,形成复杂的河网结构,三角洲更宽,更倾向于发育扇状三角洲.

(2)流量季节指数与三角洲演化的关系:在相同沉积物供给和模拟时间内,随着季节指数增大,三角洲面积显著增加,面积增长主要由横向扩展贡献.流量季节指数与岸线糙度呈线性负相关,高季节指数下分流河道数量峰值更高且分布区域更广.

(3)河控浅水三角洲作为一种复杂的三角洲,在形成条件、成因分类、演化规律等方面尚存在一些问题有待深入研究.①流量变化是气候差异的重要体现,但当前研究多聚焦于流量大小,缺乏对洪峰流量与平均流量综合动态变化的深入分析.② 河控浅水三角洲沉积机理复杂、分类方案多样,从流体动力特征、沉积模拟过程、地质沉积结构、现代沉积地貌等角度开展其主控因素、形成演化机理和沉积模式研究是当下研究热点;③河控浅水三角洲地貌形态复杂、沉积构型多样,明确其主控因素,开展浅水三角洲定性、定量构型研究,建立指导地下构型表征的沉积构型模式是目前研究的热点与难点.

参考文献

[1]

Burpee,A.P.,Slingerland,R.L.,Edmonds,D.A.,et al.,2015.Grain⁃Size Controls on the Morphology and Internal Geometry of River⁃Dominated Deltas.Journal of Sedimentary Research,85(6):699-714.https://doi.org/10.2110/jsr.2015.39

[2]

Caldwell,R.L.,Edmonds,D.A.,2014.The Effects of Sediment Properties on Deltaic Processes and Morphologies:A Numerical Modeling Study.Journal of Geophysical Research:Earth Surface,119(5):961-982.https://doi.org/10.1002/2013JF002965

[3]

Cheng,C.,Fu,W.X.,Hu,Z.L.,et al.,2015.Changes of Major Lakes in Central Asia over the Past 30 Years Revealed by Remote Sensing Technology.Remote Sensing for Land & Resources,27(1):146-152 (in Chinese with English abstract).

[4]

Deltares,2014.Delft3D⁃Flow:Simulation of Multi⁃Dimensional Hydrodynaminc Flows and Transport Phenomena,Including Sediments⁃User Manual.Delft,Netherlands.

[5]

Donaldson,A.C.,1974.Pennsylvanian Sedimentation of Central Appalachians.In:Briggs,G.,ed.,Carboniferous of the Southeastern United States.Geological Society of America,U.S.A.,47-78.https://doi.org/10.1130/spe148⁃p47

[6]

Donselaar,M.E.,Cuevas Gozalo,M.C.,Moyano,S.,2013.Avulsion Processes at the Terminus of Low⁃Gradient Semi⁃Arid Fluvial Systems:Lessons from the Río Colorado,Altiplano Endorheic Basin,Bolivia.Sedimentary Geology,283:1-14.https://doi.org/10.1016/j.sedgeo.2012.10.007

[7]

Du,W.,Qiu,C.G.,Jia,S.,et al.,2022.Quantitative Characterization of River⁃Dominated Deltaic Morphology Based on Analysis of Dominant Controlling Factors.Petroleum Geology and Recovery Efficiency,29(5):1-14 (in Chinese with English abstract).

[8]

Edmonds,D.,Slingerland,R.,Best,J.,et al.,2010.Response of River⁃Dominated Delta Channel Networks to Permanent Changes in River Discharge.Geophysical Research Letters,37(12):107.https://doi.org/10.1029/2010gl043269

[9]

Edmonds,D.A.,Caldwell,R.L.,Brondizio,E.S.,et al.,2020.Coastal Flooding will Disproportionately Impact People on River Deltas.Nature Communications,11:4741.https://doi.org/10.1038/s41467⁃020⁃18531⁃4

[10]

Feng,W.J.,Wu,S.H.,Zhang,K.,et al.,2017.Depositional Process and Sedimentary Model of Meandering⁃River Shallow Delta:Insights from Numerical Simulation and Modern Deposition.Acta Geologica Sinica,91(9):2047-2064 (in Chinese with English abstract).

[11]

Galloway,W.E.,1975.Process Framework for Describing the Morphologic and Stratigraphic Evolution of Deltaic Depositional Systems.Deltas:Models for Exploration.Houston Geological Society,Houston,Texas,US,87-98.

[12]

Hansford,M.R.,Björklund,P.P.,2020.River Discharge Variability as the Link between Climate and Fluvial Fan Formation.Geology,48(10):952-956.https://doi.org/10.1130/g47471.1

[13]

Heitmuller,F.T.,Hudson,P.F.,Kesel,R.H.,2017.Overbank Sedimentation from the Historic A.D.2011 Flood along the Lower Mississippi River,USA.Geology,45(2):107-110.https://doi.org/10.1130/g38546.1

[14]

Hu,G.M.,Deng,R.F.,Tang,Y.J.,et al.,2023.Influence of Palaeogeomorphology and Paleoclimate on Coarse Clastic Deposition in Fan Delta:Comparison Experiment of Deposition Physical Simulation Based on Upper Wuerhe Formation in Zhongguai Area of Junggar Basin.Journal of Yangtze University (Natural Science Edition),20(3):12-22 (in Chinese with English abstract).

[15]

Huang,J.,She,J.W.,2020.Vulnerability Assessment and Influencing Factors Analysis of Urban Flood Disaster in Yangtze River Delta City Cluster.Journal of Hohai University (Philosophy and Social Sciences),22(6):39-45 (in Chinese with English abstract).

[16]

Li,C.S.,Zhang,W.X.,Lei,Y.,et al.,2021.Characteristics and Controlling Factors of Oil Accumulation in Chang 9 Member in Longdong Area,Ordos Basin.Earth Science,46(10):3560-3574 (in Chinese with English abstract).

[17]

Li,W.,Colombera,L.,Yue,D.L.,et al.,2023.Controls on the Morphology of Braided Rivers and Braid Bars:An Empirical Characterization of Numerical Models.Sedimentology,70(1):259-279.https://doi.org/10.1111/sed.13040

[18]

Li,W.,Yue,D.L.,Wang,W.R.,et al.,2023.Depositional Models of Braided Rivers:Characteristics of Sedimentary Evolution and Architecture.Journal of Palaeogeography,25(5):1032-1048 (in Chinese with English abstract).

[19]

Li,X.B.,Liu,H.Q.,Deng,X.Q.,et al.,2021.The Concept of Fluvial Fans in an Arid Environment:A New Explanation of the Origin of“ Sand⁃Filled Basins” in the Yanchang Formation,Ordos Basin.Acta Sedimentologica Sinica,39(5):1208-1221 (in Chinese with English abstract).

[20]

Nardin,W.,Edmonds,D.A.,Fagherazzi,S.,2016.Influence of Vegetation on Spatial Patterns of Sediment Deposition in Deltaic Islands during Flood.Advances in Water Resources,93:236-248.https://doi.org/10.1016/j.advwatres.2016.01.001

[21]

Olariu,C.,Bhattacharya,J.P.,Leybourne,M.I.,et al.,2012.Interplay between River Discharge and Topography of the Basin Floor in a Hyperpycnal Lacustrine Delta.Sedimentology,59(2):704-728.https://doi.org/10.1111/j.1365⁃3091.2011.01272.x

[22]

Postma,G.,1990.An Analysis of the Variation in Delta Architecture.Terra Nova,2(2):124-130.https://doi.org/10.1111/j.1365⁃3121.1990.tb00052.x

[23]

Simpson,G.,Castelltort,S.,2012.Model Shows That Rivers Transmit High⁃Frequency Climate Cycles to the Sedimentary Record.Geology,40(12):1131-1134.https://doi.org/10.1130/G33451.1

[24]

Sun,H.Y.,Wang,C.Y.,Niu,Z.,et al.,1998.Analysis of the Vegetation Cover Change and the Relationship between NDVI and Environmental Factors by Using NOAA Time Series Data.Journal of Remote Sensing,2(3):204-210 (in Chinese with English abstract).

[25]

Sun,J.,Xue,J.J.,Hou,G.F.,et al.,2020.Shallow⁃Water Delta Reservoir Characterization and Exploration Prospect in the Sangonghe Formation of Mobei Block.Special Oil & Gas Reservoirs,27(3):34-39 (in Chinese with English abstract).

[26]

Tan,C.P.,Yu,X.H.,Liu,B.B.,et al.,2018.Sedimentary Structures Formed under Upper⁃Flow⁃Regime in Seasonal River System:A Case Study of Bantanzi River,Daihai Lake,Inner Mongolia.Journal of Palaeogeography,20(6):929-940 (in Chinese with English abstract).

[27]

Visconti,F.,Camporeale,C.,Ridolfi,L.,2010.Role of Discharge Variability on Pseudomeandering Channel Morphodynamics:Results from Laboratory Experiments.Journal of Geophysical Research:Earth Surface,115(F4).https://doi.org/10.1029/2010jf001742

[28]

Wang,B.,Ding,Q.H.,2008.Global Monsoon:Dominant Mode of Annual Variation in the Tropics.Dynamics of Atmospheres and Oceans,44(3-4):165-183.https://doi.org/10.1016/j.dynatmoce.2007.05.002

[29]

Wu,S.H.,Xu,Z.H.,Liu,Z.,2019.Depositional Architecture of Fluvial⁃Dominated Shoal Water Delta.Journal of Palaeogeography,21(2):202-215 (in Chinese with English abstract).

[30]

Xu,Z.F.,Wang,X.W.,2021.Flood Risk Analysis of Local Heavy Storms in the Embanked Tidal River Plain:A Case Study behind the Zhongshan⁃Shunde Joint Levee in the Lower Pearl River Delta.Water Resources and Hydropower Engineering,52(8):51-65 (in Chinese with English abstract).

[31]

Xu,Z.H.,Wu,S.H.,Liu,M.C.,et al.,2021.Effects of Water Discharge on River⁃Dominated Delta Growth.Petroleum Science,18(6):1630-1649.https://doi.org/10.1016/j.petsci.2021.09.027

[32]

Yang,Y.M.,Wang,X.J.,Chen,S.L.,et al.,2022.Sedimentary System Evolution and Sandbody Development Characteristics of Jurassic Shaximiao Formation in the Central Sichuan Basin.Natural Gas Industry,42(1):12-24 (in Chinese with English abstract).

[33]

Zeng,C.,Yin,T.J.,Song,Y.K.,2017.Experimental on Numerical Simulation of the Impact of Lake Level Plane Fluctuation on Shallow Water Delta.Earth Science,42(11):2095-2104 (in Chinese with English abstract).

[34]

Zhang,L.,Bao,Z.D.,Dou,L.X.,et al.,2018.Sedimentary Characteristics and Pattern of Distributary Channels in Shallow Water Deltaic Red Bed Succession:A Case from the Late Cretaceous Yaojia Formation,Southern Songliao Basin,NE China.Journal of Petroleum Science and Engineering,171:1171-1190.

[35]

Zhu,X.M.,Liu,Y.,Fang,Q.,et al.,2012.Formation and Sedimentary Model of Shallow Delta in Large⁃Scale Lake.Example from Cretaceous Quantou Formation in Sanzhao Sag,Songliao Basin.Earth Science Frontiers,19(1):89-99 (in Chinese with English abstract).

[36]

Zhu,X.M.,Zeng,H.L.,Li,S.L.,et al.,2017.Sedimentary Characteristics and Seismic Geomorphologic Responses of a Shallow⁃Water Delta in the Qingshankou Formation from the Songliao Basin,China.Marine and Petroleum Geology,79:131-148.https://doi.org/10.1016/j.marpetgeo.2016.09.01

[37]

成晨,傅文学,胡召玲,等,2015.基于遥感技术的近30年中亚地区主要湖泊变化.国土资源遥感,27(1):146-152.

[38]

杜威,邱春光,贾屾,等,2022.基于主控因素分析的河控三角洲形态定量表征.油气地质与采收率,29(5):1-14.

[39]

冯文杰,吴胜和,张可,等,2017.曲流河浅水三角洲沉积过程与沉积模式探讨:沉积过程数值模拟与现代沉积分析的启示.地质学报,91(9):2047-2064.

[40]

胡光明,邓儒风,唐友军,等,2023.古地貌与古气候对扇三角洲中粗碎屑沉积的影响研究:基于准噶尔盆地中拐地区上乌尔禾组的沉积物理模拟对比实验.长江大学学报(自然科学版),20(3):12-22.

[41]

黄晶,佘靖雯,2020.长江三角洲城市群洪涝灾害脆弱性评估及影响因素分析.河海大学学报(哲学社会科学版),22(6):39-45.

[42]

李程善,张文选,雷宇,等,2021.鄂尔多斯盆地陇东地区长9油层组砂体成因与油气差异分布.地球科学,46(10):3560-3574.

[43]

李伟,岳大力,王武荣,等,2023.辫状河沉积构型研究进展:沉积演化与构型特征.古地理学报,25(5):1032-1048.

[44]

李相博,刘化清,邓秀芹,等,2021.干旱环境河流扇概念与鄂尔多斯盆地延长组“满盆砂” 成因新解.沉积学报,39(5):1208-1221.

[45]

孙红雨,王长耀,牛铮,等,1998.中国地表植被覆盖变化及其与气候因子关系:基于NOAA时间序列数据分析.遥感学报,2(3):204-210.

[46]

孙靖,薛晶晶,厚刚福,等,2020.莫北区块三工河组浅水三角洲储层特征及勘探前景.特种油气藏,27(3):34-39.

[47]

谭程鹏,于兴河,刘蓓蓓,等,2018.季节性河流体系高流态沉积构造特征:以内蒙古岱海湖半滩子河为例.古地理学报,20(6):929-940.

[48]

吴胜和,徐振华,刘钊,2019.河控浅水三角洲沉积构型.古地理学报,21(2):202-215.

[49]

徐张帆,王先伟,2021.平原联围感潮河网暴雨洪涝灾害风险分析:以珠江三角洲中顺大围为例.水利水电技术(中英文),52(8):51-65.

[50]

杨跃明,王小娟,陈双玲,等,2022.四川盆地中部地区侏罗系沙溪庙组沉积体系演化及砂体发育特征.天然气工业,42(1):12-24.

[51]

曾灿,尹太举,宋亚开,2017.湖平面升降对浅水三角洲影响的沉积数值模拟实验.地球科学,42(11):2095-2104.

[52]

朱筱敏,刘媛,方庆,等,2012.大型坳陷湖盆浅水三角洲形成条件和沉积模式:以松辽盆地三肇凹陷扶余油层为例.地学前缘,19(1):89-99.

基金资助

国家自然科学基金项目(42202109)

国家自然科学基金项目(42272186)

国家自然科学基金项目(42472179)

国家自然科学基金项目(42302128)

北京市科协青年托举工程(BYESR2023460)

国家科技重大专项(2024ZD1406601)

AI Summary AI Mindmap
PDF (9337KB)

754

访问

0

被引

详细

导航
相关文章

AI思维导图

/