氮磷配施对高寒区老芒麦饲草产量的影响

刘启林 ,  王小军 ,  王金兰 ,  刘文辉 ,  马巧玲 ,  李建辉 ,  张生原 ,  曹文侠 ,  李文

草业学报 ›› 2025, Vol. 34 ›› Issue (06) : 193 -202.

PDF (3468KB)
草业学报 ›› 2025, Vol. 34 ›› Issue (06) : 193 -202. DOI: 10.11686/cyxb2023459
研究论文

氮磷配施对高寒区老芒麦饲草产量的影响

作者信息 +

Effect of nitrogen and phosphorus combined application on forage yield of Elymus sibiricus in an alpine region

Author information +
文章历史 +
PDF (3550K)

摘要

为探讨氮磷肥配施对高寒区老芒麦饲草产量的影响,本研究以青牧2号老芒麦(Qingmu No.2)为材料,设置了4个氮肥(纯N,0、60、90、120 kg·hm-2)和4个磷肥(纯P,0、30、60、90 kg·hm-2)水平,分析不同氮磷配施处理下老芒麦生长性状、饲草产量及经济效益的变化,并采用结构方程模型探讨氮磷配施对老芒麦饲草产量的影响过程及其路径系数,以期为高寒区优质饲草高效生产提供数据支撑。结果表明:1)氮磷配施显著提高了老芒麦的株高、茎粗、分蘖数、生殖枝数、饲草产量及经济效益,在同一施氮水平下,随施磷量的增加,以上指标均呈先增后降的变化趋势;2)在60 kg N·hm-2与60 kg P·hm-2配施时,老芒麦饲草产量及增产净收益均最大,分别为12154.14 kg·hm-2和3370.49元·hm-2;3)结构方程模型表明,氮磷配施主要通过促进分蘖来提高老芒麦的饲草产量;4)TOPSIS-多准则决策模型分析表明,60 kg N·hm-2与60 kg P·hm-2配施不但可以保持较高的饲草产量,还可显著提高经济效益,是适宜于高寒地区老芒麦饲草生产的最佳氮磷配施量。

Abstract

This research investigated the effects of different application rates of nitrogen and phosphorus fertilizer on forage yield of Elymus sibiricus cv. Qingmu No. 2 in an alpine region. Four nitrogen fertilizer rates (0, 60, 90, 120 kg N·ha-1) and four phosphate fertilizer rates (0, 30, 60, 90 kg P·ha-1) levels were included in the experiment to identify the effect of the various N and P fertilizer combinations on E. sibiricus growth traits, forage yield and economic return. Structural equation modelling was used to assess the pathways by which effects of the different N and P combinations influenced the forage yield of E. sibiricus. This research provides data to underpin extension advice to farmers on how to achieve efficient production of high-quality forage in alpine regions. It was found: 1) Plant height, stem diameter, tiller numbers, fertile tiller numbers, forage yield and economic return of E. sibiricus were significantly increased by combined N and P application, and those traits showed a pattern of initial increase and then decrease with increase in P application at the same N application level. 2) The forage yield and net income were the highest (12154.14 kg·ha-1 and 3370.49 CNY·ha-1 respectively), in the treatment with a combined application of 60 kg N·ha-1 and 60 kg P·ha-1. 3) The structural equation model showed that tillering is the primary driving factor for improving the forage yield of E. sibiricus under combined application of N and P fertilizer. 4) Integrated evaluation of traits using a TOPSIS model showed that the combined application of 60 kg N·ha-1 and 60 kg P·ha-1 not only maintained higher forage yield, but also significantly improved economic returns, compared to other treatments. This N and P combination is therefore recommended as suitable management practice for forage production of E. sibiricus in alpine regions.

Graphical abstract

关键词

老芒麦 / 氮磷配施 / 饲草产量 / 经济效益

Key words

Elymus sibiricus / nitrogen and phosphorus combined application / forage yield / economic benefits

引用本文

引用格式 ▾
刘启林,王小军,王金兰,刘文辉,马巧玲,李建辉,张生原,曹文侠,李文. 氮磷配施对高寒区老芒麦饲草产量的影响[J]. 草业学报, 2025, 34(06): 193-202 DOI:10.11686/cyxb2023459

登录浏览全文

4963

注册一个新账户 忘记密码

青藏高原是我国主要的畜牧业生产基地之一1,但自然环境恶劣,植物生长期短,草地生产力较低2。此外,受超载过牧等因素影响,青藏高原草畜季节性供需矛盾十分突出3,严重制约该区草地畜牧业的可持续发展4。因此,提高该区的饲草供给能力,促进区域草畜供需平衡是亟须解决的问题。
建植高产的人工草地是缓解青藏高原草畜季节性供求矛盾的有效措施之一5。目前,青藏高原人工草地主要有一年生和多年生两种,一年生人工草地主要以燕麦(Avena sativa)为主6,多年生人工草地主要以禾本科披碱草属(Elymus spp.)和早熟禾属(Poa spp.)牧草为主7。多年生人工草地不但可有效节约成本,而且能有效提高土壤养分含量8,促进土壤微生物群落正向演替9,已被广泛应用于青藏高原退化草地恢复治理及饲草生产。老芒麦(Elymus sibiricus)是禾本科披碱草属多年生植物,具有抗逆性强、饲草产量高、营养品质高、适口性好和耐放牧等特性10-11,是青藏高原建植高产人工草地的优良牧草。然而,青藏高原大部分地区土壤养分匮乏,无法满足老芒麦在生长过程中对养分的需求12。因此,适时开展合理的养分添加以促进老芒麦人工草地高产、稳产至关重要。
氮、磷是影响老芒麦生长的最主要营养元素13。氮肥促进植株体内蛋白质的合成,使茎叶生长茂盛,有利于植株进行营养生长14。磷肥促进植株分蘖和根系的生长,加速种子的形成和发育,并促进碳水化合物的合成、转运和积累15-16。然而,氮磷肥不足会造成植株矮小,导致饲草产量降低17,而氮磷肥过剩会使老芒麦贪青晚熟,造成土壤酸化、板结18。因此,合理的施肥对老芒麦生产至关重要。张永超等19-20研究表明,青牧1号老芒麦在建植后2~3年地上生物量最高,此后逐年降低,施氮肥能够提高叶片中叶绿素的含量。李春容等21研究表明,施加60 g·m-2复合肥、60 g·m-2微生物菌剂及4.05 g·m-2单倍保湿剂能够有效提高老芒麦饲草产量。尽管单施氮磷肥都能有效提高老芒麦饲草产量,但长此以往会加剧土壤其他营养元素的亏缺22。而氮磷配施既能同时满足老芒麦对不同营养元素的需求,又能提高氮磷肥的利用效率,减少对环境的危害,是老芒麦饲草高产、高效、持续健康发展的有效管理措施。然而以往的研究多关注单施化肥对老芒麦生产的影响,氮磷配施对高寒区老芒麦饲草产量的影响过程及其影响机制尚不清楚。
因此,本研究以青牧2号老芒麦(Qingmu No.2)为材料,开展不同梯度氮磷肥配施处理下老芒麦的生长指标及产量变化研究,筛选适宜高寒区老芒麦饲草生产的最佳氮磷肥配施组合,并揭示氮磷配施对老芒麦饲草产量的影响机制,以期为高寒区优质饲草高效生产提供科学数据。

1 材料与方法

1.1 试验地概况

试验地位于青海省海南藏族自治州共和县倒淌河镇元者村(36°59′ N,100°18′ E),海拔3100 m,属典型高原大陆性气候,太阳辐射强,昼夜温差大,仅有冷热两季,无霜期38 d,植物生长期约150 d,全年日照时数为2942 h,年平均气温4.1 ℃,年平均降水量为338 mm,降水多集中在6-9月。试验地土壤类型为黑钙土。

1.2 试验材料

供试材料为青牧2号老芒麦,种子发芽率为89.5%,净度94.5%,由青海省畜牧兽医科学院提供。供试肥料为尿素(含46% N)和过磷酸钙(含16% P2O5)。

1.3 试验设计

采用裂区试验设计,参照刘文辉等23在青藏高原高寒区老芒麦生产施肥量,以4个不同的施氮水平为主处理,施氮处理为(纯N):0、60、90、120 kg·hm-2,分别用N0、N1、N2、N3表示;以4个不同的施磷水平为副处理,施磷处理为(纯P):0、30、60、90 kg·hm-2,分别用P0、P1、P2、P3表示;16个处理,3次重复,共48个小区,小区面积3 m×5 m。于2022年6月播种,条播,播量为22.5 kg·hm-2,行距30 cm。于2023年6月中旬,老芒麦分蘖期将氮、磷肥均匀撒施,施肥选择在降水前进行,使得肥料充分溶于土壤。

1.4 野外观测与样品采集

于2023年7月底,老芒麦80%进入开花期时进行指标测定及样品采集工作。为消除边际效应的影响,在各小区剪除边行和两端(各50 cm)后,在剩余行内进行指标观测和样品采集24。在每个小区随机选取长势良好、无明显病虫害的植株10株,测定绝对植株高度,并用游标卡尺测定从下到上第二节茎的茎粗。在每个小区随机选取6个1 m样段测定分蘖数,然后齐地刈割后测定生殖枝数。此外,在各小区随机设置3个1 m×1 m样方,将样方内所有植株齐地刈割,除去杂草,并立即称重,计算鲜草产量,将样品带回实验室后进行茎叶分离。所有样品105 ℃杀青30 min,然后80 ℃烘干至恒重,计算茎叶比(茎干重/叶干重)、干鲜比和干草产量。

1.5 经济效益计算

以研究区当前老芒麦干草1.5元·kg-1、尿素2.6元·kg-1、过磷酸钙1.18元·kg-1及人工费0.375元·kg-1化肥(劳务费150元·人-1·d-1,每人每天可撒400 kg化肥),计算施肥后的增产净收益(增产净收益=增产饲草收益-化肥费-人工费)。

1.6 数据处理

采用Microsoft Excel 2019整理数据,采用SPSS 26.0软件首先对老芒麦的农艺性状进行正态性(Kolmogorov-Smirnov)和方差齐性(Homogeneity)检验。采用SPSS软件单因素方差分析中的多重比较(LSD)对同一指标在不同施肥处理间进行显著性分析(P<0.05),并对不同施肥处理间的各项指标进行双因素方差(Two-way ANOVA)分析。采用plyr数据包多准则决策模型-TOPSIS(technique for order preference by similarity to an ideal solution)对不同施肥处理进行综合评价。采用R 4.0.2(R Development Core Team)piecewise SEM包构建分段结构方程模型,探讨氮肥、磷肥以及氮磷配施对老芒麦饲草产量的影响过程及其路径系数。采用Origin 2021作图。

2 结果与分析

2.1 氮磷配施对老芒麦农艺性状的影响

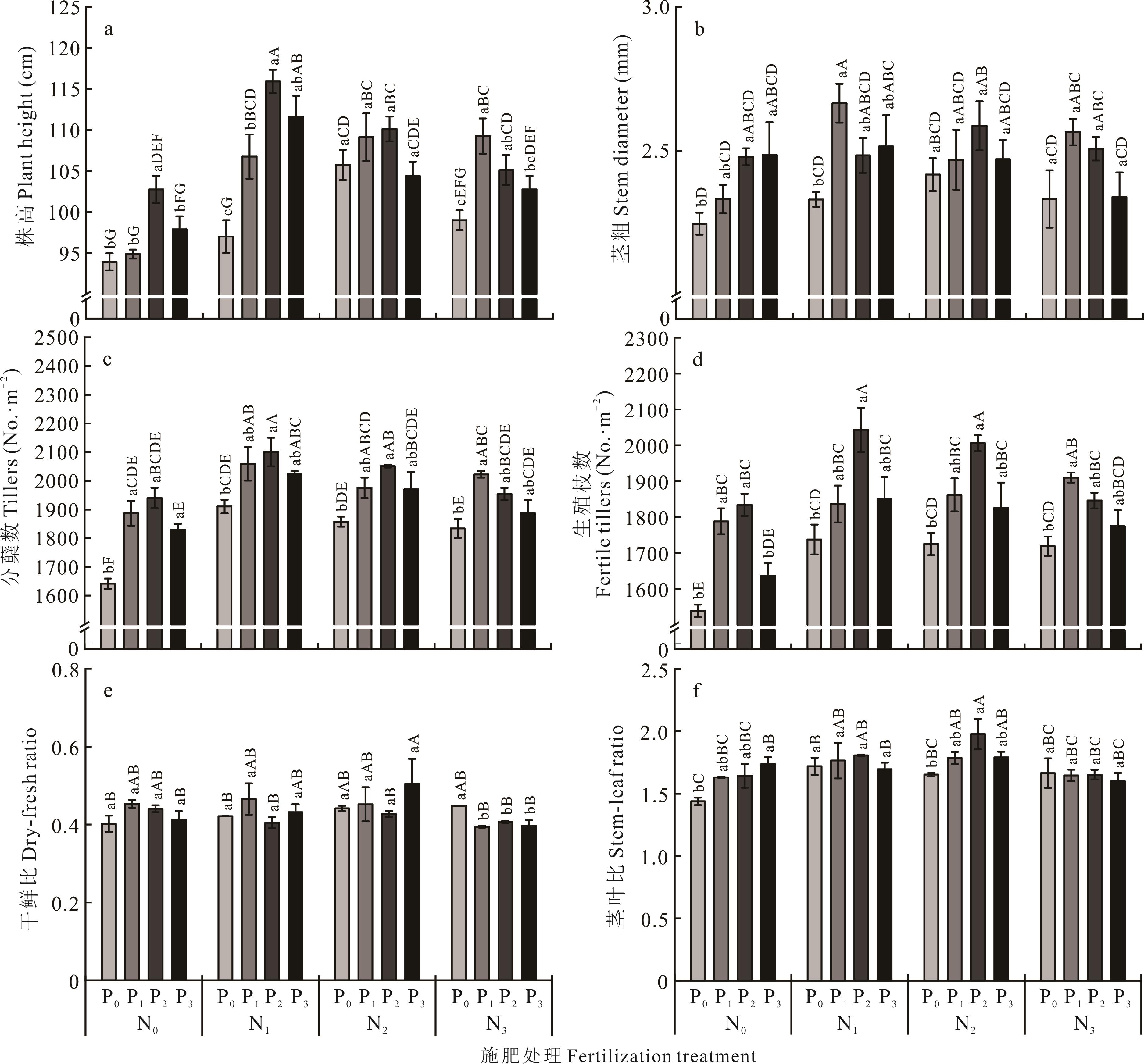
在同一施氮水平下,老芒麦的株高、茎粗、分蘖数和生殖枝数随施磷量的增加均呈先增后降的变化趋势(图1)。老芒麦的株高、分蘖数、生殖枝数在N1P2处理下最大(图1a,c,d),分别为115.92 cm、2100.33枝·m-2和2043.33枝·m-2,较N0P0处理分别提高了23.4%、27.8%和32.8%。老芒麦的茎粗在N1P1处理下最高(图1b),为2.67 cm,较N0P0处理提高了18.7%。老芒麦的干鲜比在N2P3处理下最高,为0.51(图1e)。老芒麦的茎叶比在N2P2处理下最高,为1.98(图1f)。双因素方差分析表明,氮肥和磷肥均对株高、分蘖数和生殖枝数有极显著影响(P<0.01);氮肥对茎叶比有极显著影响;磷肥对茎粗有极显著影响;氮磷配施对株高有极显著影响,对茎粗、分蘖数、生殖枝数、茎叶比和干鲜比无显著影响(P>0.05,表1)。

2.2 氮磷配施对老芒麦饲草产量的影响

除单施磷肥外,在同一施氮水平下,饲草产量随着施磷量的增加呈先增后降的趋势,在N1P2处理下最大,为12154.14 kg·hm-2图2)。双因素方差分析表明,单施氮肥和磷肥均对饲草产量有极显著影响(P<0.01);氮磷配施对饲草产量有显著影响(P<0.05,表1)。氮、磷肥单施和配施都能够提高饲草产量,且饲草产量增幅随着施肥量的增加呈先增后减趋势,但配施时饲草产量增幅明显高于单施。单施氮肥时饲草产量增幅为17.9%~23.5%;单施磷肥时饲草产量增幅为5.3%~15.1%;氮磷配施时的饲草产量增幅为15.7%~38.7%。其中,在N1P2处理下饲草产量增幅最大,为38.7%(图2)。

2.3 氮磷配施对老芒麦饲草经济效益的影响

为进一步明确不同施肥处理对老芒麦饲草经济效益的影响,计算施肥后的增产净收益,结果表明,化肥加人工的费用在N3P3下最高,为2764.01元·hm-2。增产饲草收益在N1P2下最高,为5083.82元·hm-2。氮磷配施增产净收益明显高于氮、磷肥单施。单施氮肥时老芒麦饲草增产净收益为1571.23~2504.11元·hm-2;单施磷肥时增产净收益为-346.22~36.69元·hm-2;氮磷配施时N1P3、N2P3和N3P3处理增产净收益为负值,分别为-311.43、-271.31和-94.4元·hm-2,其余处理均为正值,增产净收益为1620.28~3370.49元·hm-2,且在N1P2处理下增产净收益最高,为3370.49元·hm-2图3)。

2.4 不同氮磷配施处理综合评价

采用TOPSIS-多准则决策模型对不同氮磷配施处理下老芒麦的茎粗、株高、分蘖数、生殖枝数、干鲜比、茎叶比、饲草产量及经济效益进行综合评价。结果表明,贴合度由低到高分别为N3P3、N1P3、N0P2、N2P3、N0P3、N0P1、N0P0、N3P2、N2P2、N3P0、N3P1、N1P0、N2P0、N1P1、N2P1、N1P2。其中,N1P2处理下贴合度最高,为0.92,N3P3处理下贴合度最低,为0.06。因此,N1P2处理下饲草产量和经济效益均最高,是高寒区老芒麦饲草生产的理想施肥选择(图4)。

2.5 老芒麦饲草产量主要影响因子

为分析氮磷配施对老芒麦饲草产量的影响过程及路径,采用分段式结构方程模型对株高、分蘖数、生殖枝数、干鲜比和茎叶比进行分析,来探讨氮肥、磷肥及氮磷配施如何通过不同路径影响老芒麦饲草产量(图5a)。结果表明,结构方程模型拟合效果良好(P=0.573,Fisher’s C=1.096),氮、磷肥单施和氮磷配施均通过影响分蘖数、株高和茎叶比间接影响饲草产量,分蘖数、株高、茎叶比和干鲜比均对饲草产量有直接影响,其中株高的直接效应最大,为0.37。通过将间接效应和直接效应求和计算总效应表明,分蘖数的总效应最大,为0.615(图5b)。因此,氮磷配施主要通过促进分蘖来提高老芒麦的饲草产量。

3 讨论

氮、磷元素是植物生长发育过程中必需的营养元素,不同施肥配比及施肥量将直接影响植物的生长发育、产量和品质25。氮参与植物体内蛋白质组成和叶绿素的合成,促进光合作用,有利于植株的茎叶茂盛生长26;磷是植物体内能量载体的关键成分,有利于碳水化合物的合成、转运和积累27。适量施加氮磷肥可以改善土壤营养状况,促进牧草生长、增加光合强度、提升营养品质,使单位面积产量成倍增长28。本研究表明,氮磷配施显著提高了老芒麦的株高、茎粗、分蘖数和生殖枝数等产量构成因子,单施氮、磷肥和氮磷配施都能提高老芒麦饲草产量,其中单施氮肥时饲草产量增幅为17.9%~23.5%;单施磷肥时饲草产量增幅为5.3%~15.1%;氮磷配施时的饲草产量增幅为15.7%~38.7%,说明氮磷配施对老芒麦饲草的增产效果显著优于单施处理。这与于晓娜等15、游永亮等29、陈伟元等30在不同海拔进行氮磷配施对禾本科牧草产量影响的研究结果一致,主要是因为氮磷交互作用促进植物对土壤中有效氮、磷的吸收,为了维持体内的养分化学计量平衡,植物通过对不同营养元素间的协同调控,调节自身组织的氮磷浓度,以实现对营养的均衡吸收,获得最优的生长与繁殖31-32。本研究发现在60 kg N·hm-2和60 kg P·hm-2配施时老芒麦饲草产量和产量增幅均最大,分别为12154.14 kg·hm-2和38.7%,产量增幅随着施肥量的增加呈先增后减趋势。这是因为氮磷肥在此比例混施时,既能满足老芒麦对肥料的需求,还能相互促进,提高肥料的吸收利用效率,并通过提高植物光合特性,促进光合产物和碳水化合物的积累,增加植株单位面积的产草量33。刘文辉等23在青海省同德县对短芒老芒麦的研究发现,施肥量为75.75 kg N·hm-2和69 kg P·hm-2时饲草产量最大,随着施肥量的增加草产量呈先增后减的趋势。本研究还从经济效益的角度分析了不同施肥后的净收益变化,在60 kg N·hm-2和60 kg P·hm-2配施时的增产净收益最大,为3370.49元·hm-2。氮磷配施增产净收益明显高于氮、磷肥单施的增产净收益,随着施肥量的增加,老芒麦饲草增产净收益呈先增后降的趋势,且在最大施肥处理下(120 kg N·hm-2和90 kg P·hm-2配施)较60 kg N·hm-2和60 kg P·hm-2配施时减产了1609.47 kg·hm-2。这与高寒区对扭黄茅(Heteropogon contortus26、环湖寒生羊茅(Festuca kryloviana cv. Huanhu)34、垂穗披碱草(Elymus nutans35等禾本科牧草的研究结果相似,主要是因为低浓度施肥可以促进植物生长,增加牧草产量36,而过量施用化肥不但会增加成本,降低肥料利用率,而且会使土壤酸化、板结,导致牧草产量降低,还会造成环境污染37

本研究分段式结构方程表明,氮磷配施主要通过促进分蘖来提高饲草产量。这是因为在牧草生产中氮能促进植物体内蛋白质合成,提高植物叶片叶绿素含量,增强光合相关酶活性,提高植物光合作用以生产和储存更多的营养物质促进枝条发育38;磷参与能量转移和ATP的合成,并参与植物体内光合和呼吸作用,促进碳水化合物的合成、转运和积累,从而促进分蘖和分枝39。本研究中,在60 kg N·hm-2和60 kg P·hm-2配施时分蘖数最高,为2100.33枝·m-2,较未施肥处理提高了27.8%。分蘖数的增加提高了饲草产量,这也就解释了为什么在60 kg N·hm-2和60 kg P·hm-2配施时老芒麦饲草产量最高。此外,本研究通过TOPSIS-多准则决策模型综合分析表明,60 kg N·hm-2与60 kg P·hm-2配施既能取得较高的饲草产量,又能获得较高的经济效益,是高寒区老芒麦理想的施肥选择。然而,施肥对饲草产量的影响是一个非常复杂的过程,年际间降水和气温变化都可能会影响结果,而本研究是对2龄老芒麦施肥管理的观测数据与分析结果,后续研究应进行连续多年的施肥管理研究,以综合评价施肥对饲草产量的影响。

4 结论

氮磷配施显著提高了老芒麦的株高、茎粗、分蘖数、生殖枝数、饲草产量及经济效益,在同一施氮水平下,随施磷量的增加,以上指标均呈先增后降的变化趋势。在60 kg N·hm-2与60 kg P·hm-2配施时,老芒麦饲草产量及增产净收益均最大,分别为12154.14 kg·hm-2和3370.49元·hm-2。结构方程模型表明,氮磷配施主要通过促进分蘖来提高老芒麦的饲草产量。TOPSIS-多准则决策模型分析表明,60 kg N·hm-2与60 kg P·hm-2配施不但可保持较高的饲草产量,还可显著提高经济效益,是适宜于高寒地区老芒麦饲草生产的最佳氮磷配施量。

参考文献

[1]

Liu Y Q, Lv C H, Fu B J, et al. Terrestrial ecosystem classification and its spatiotemporal changes in China during last 20 years. Acta Ecologica Sinica, 2021, 41(10): 3975-3987.

[2]

刘亚群, 吕昌河, 傅伯杰, 中国陆地生态系统分类识别及其近20年的时空变化. 生态学报, 2021, 41(10): 3975-3987.

[3]

Chen S T, Guo B, Yang F, et al. Spatial and temporal patterns of NPP and its response to climate change in the Qinghai-Tibet Plateau from 2000 to 2015. Journal of Natural Resources, 2020, 35(10): 2511-2527.

[4]

陈舒婷, 郭兵, 杨飞, 2000-2015年青藏高原植被NPP时空变化格局及其对气候变化的响应. 自然资源学报, 2020, 35(10): 2511-2527.

[5]

Cao J, Holden N, Lu X, et al. The effect of grazing management on plant species richness on the Qinghai-Tibetan Plateau. Grass & Forage Science, 2011, 66(3): 333-336.

[6]

Mo X G, Liu W, Meng C C, et al. Variations of forage yield and forage-livestock balance in grasslands over the Tibetan Plateau, China. Chinese Journal of Applied Ecology, 2021, 32(7): 2415-2425.

[7]

莫兴国, 刘文, 孟铖铖, 青藏高原草地产量与草畜平衡变化. 应用生态学报, 2021, 32(7): 2415-2425.

[8]

Wu S N, Zhang X, Gao X X, et al. Succession dynamics of a plant community of degraded alpine meadow during the human-induced restoration process in the Three Rivers Source region. Acta Ecologica Sinica, 2019, 39(7): 2444-2453.

[9]

武胜男, 张曦, 高晓霞, 三江源区“黑土滩”型退化草地人工恢复植物群落的演替动态. 生态学报, 2019, 39(7): 2444-2453.

[10]

Ren C Y, Liang G L, Liu W H, et al. Screening and adaptability evaluation of early maturing oats in alpine regions of the Qinghai-Tibetan Plateau. Acta Prataculturae Sinica, 2023, 32(9): 116-129.

[11]

任春燕, 梁国玲, 刘文辉, 青藏高原高寒地区早熟燕麦资源筛选和适应性评价. 草业学报, 2023, 32(9): 116-129.

[12]

Zhou J J, Wei W. Interactive effect of fertilization and cutting on community dynamics and transgressive over yielding effect of grass pasture in the northern Tibetan Plateau. Acta Prataculturae Sinica, 2023, 32(10): 28-39.

[13]

周娟娟, 魏巍. 施肥和刈割协同对藏北高原禾草混播群落动态和超产的影响. 草业学报, 2023, 32(10): 28-39.

[14]

Li W, Wang J L, Zhang X J, et al. Effect of degradation and rebuilding of artificial grasslands on soil respiration and carbon and nitrogen pools on an alpine meadow of the Qinghai-Tibetan Plateau. Ecological Engineering, 2018, 111: 134-142.

[15]

Chen X, Zhang T, Guo R, et al. Fencing enclosure alters nitrogen distribution patterns and tradeoff strategies in an alpine meadow on the Qinghai-Tibetan Plateau. Catena, 2021, 197: 104948.

[16]

Wan Q, Wang J, Wang X T, et al. Effects of different meadow use types on the fractal characteristics of soil particle in the Qinghai-Tibet Plateau. Acta Ecologica Sinica, 2022, 42(5): 1716-1726.

[17]

宛倩, 王杰, 王向涛, 青藏高原不同草地利用方式对土壤粒径分形特征的影响. 生态学报, 2022, 42(5): 1716-1726.

[18]

Gao Z H, Lei Y X, Zhou Q P. Research progress of molecular systematics of Elymus and its related genera. Chinese Journal of Grassland, 2022, 44(2): 107-115.

[19]

高子涵, 雷映霞, 周青平. 广义披碱草属及其近缘属植物的分子系统学研究现状. 中国草地学报, 2022, 44(2): 107-115.

[20]

Zhao Y C, Chen L T. Soil nutrients modulate response of aboveground biomass to warming in alpine grassland on the Qingzang Plateau. Chinese Journal of Plant Ecology, 2023, 47(8): 1071-1081.

[21]

赵艳超, 陈立同. 土壤养分对青藏高原高寒草地生物量响应增温的调节作用. 植物生态学报, 2023, 47(8): 1071-1081.

[22]

De K J, Zhang D G, Wang W, et al. Effects of fertilizers on the alpine meadow plant and soil N, P, K contents. Acta Agrestia Sinica, 2014, 22(2): 299-305.

[23]

德科加, 张德罡, 王伟, 施肥对高寒草甸植物及土壤N, P, K的影响. 草地学报, 2014, 22(2): 299-305.

[24]

Chen L L, Ren W, Mao P S, et al. Effects of nitrogen application on seed yield and nitrogen accumulation in alfalfa (Medicago sativa). Acta Prataculturae Sinica, 2017, 26(6): 98-104.

[25]

陈玲玲, 任伟, 毛培胜, 氮素对紫花苜蓿种子产量与氮累积动态变化的影响. 草业学报, 2017, 26(6): 98-104.

[26]

Yu X N, Zhu P, Mao P S. Effects of nitrogenous fertilizer and phosphorus fertilizer applications on roots and seed yield of Elymus sibiricus. Acta Agrestia Sinica, 2011, 19(4): 637-643.

[27]

于晓娜, 朱萍, 毛培胜. 氮磷处理对老芒麦根系及种子产量的影响. 草地学报, 2011, 19(4): 637-643.

[28]

Yu A, Yang F, Zhang Y, et al.Influences of different phosphorus concentrations on the root distribution of Stylosanthes and black seed Paspalum. Acta Prataculturae Sinica, 2011, 20(3): 219-224.

[29]

余爱, 杨帆, 张宇, 不同施磷浓度对柱花草和黑籽雀稗根系分布的影响. 草业学报, 2011, 20(3): 219-224.

[30]

Agnew J, Sprenger C, Kendel Z, et al. The effect of nitrogen fertility rate and seeding rate on yield, nutritive value and economics of forage corn in a low corn heat unit region of Western Canada. Field Crops Research, 2022, 283: 108520.

[31]

Peng Y, Sun J Y, Ma S J, et al. Effects of nitrogen and phosphorus addition on production performance and nutritive value of pasture species in Northern Tibet. Acta Prataculturae Sinica, 2021, 30(5): 52-64.

[32]

彭艳, 孙晶远, 马素洁, 氮磷添加对藏北人工牧草生产性能和品质的评价. 草业学报, 2021, 30(5): 52-64.

[33]

Zhang Y C, Wei X X, Liang G L, et al. Phenotype changes during aging over six years of Elymus sibiricus stands and the effects of nutrient addition. Acta Prataculturae Sinica, 2022, 31(6): 101-111.

[34]

张永超, 魏小星, 梁国玲, 老芒麦衰老过程形态特征变化规律及对养分添加的响应. 草业学报, 2022, 31(6): 101-111.

[35]

Zhang Y C, Liang G L, Qin Y, et al. Characteristics of chlorophyll and photosynthesis in leaves and their response to nutrients during aging of Elymus sibiricus. Acta Prataculturae Sinica, 2022, 31(1): 229-237.

[36]

张永超, 梁国玲, 秦燕, 老芒麦衰老过程中叶片叶绿素和光合作用变化特征及对养分的响应. 草业学报, 2022, 31(1): 229-237.

[37]

Li C R, Luo Y Y, Wang Q N. Effects of different fertilization and soil moisture treatments on growth and yield of forage grasses in Xikang-Tibet Plateau. Acta Agriculturae Boreali-Occidentalis Sinica, 2020, 29(7): 990-999.

[38]

李春容, 罗言云, 王倩娜. 不同施肥和土壤保湿处理对康藏高原牧草生长和产量的影响. 西北农业学报, 2020, 29(7): 990-999.

[39]

Gao L M, Chen C, Shen Y X. Effects of nitrogen and phosphorus fertilizer rates on forage dry matter yield and regrowth of alfalfa in seasonal cultivation systems. Acta Prataculturae Sinica, 2022, 31(4): 43-52.

[40]

高丽敏, 陈春, 沈益新. 氮磷肥对季节性栽培紫花苜蓿生长及再生的影响. 草业学报, 2022, 31(4): 43-52.

[41]

Liu W H, Zhou Q P, Yan H B, et al. The effect of fertilization to the hay and seed yield of Elymus breviaristatus in alpine region. Acta Agrestia Sinica, 2007, 15(2): 193-195.

[42]

刘文辉, 周青平, 颜红波, 高寒地区施肥对短芒老芒麦草产量和种子产量的影响. 草地学报, 2007, 15(2): 193-195.

[43]

Wang M Y. Roles of nitrogen application on seed yield and yield components in Siberian wildrye. Beijing: China Agricultural University, 2018.

[44]

王明亚. 施氮对老芒麦种子产量及产量因子的作用. 北京: 中国农业大学, 2018.

[45]

Battisti M, Moretti B, Blandino M, et al. Maize response to nitrogen and phosphorus starter fertilisation in mineral-fertilised or manured systems. The Crop Journal, 2023, 11(3): 922-932.

[46]

Long H Y, Zhang D, Zeng L P, et al. Herbage accumulation, and nitrogen and phosphorus absorption responses of three forage species following addition of nitrogen and phosphorus fertilizer. Acta Prataculturae Sinica, 2019, 28(5): 171-177.

[47]

龙会英, 张德, 曾丽萍, 氮磷肥对3种牧草的生长效应和氮磷吸收的影响. 草业学报, 2019, 28(5): 171-177.

[48]

Luo K, Zhang J Y, Wang Y R. Effect of planting density and phosphorus fertiliser on seed yield of Melilotus officinalis. Acta Prataculturae Sinica, 2018, 27(7): 112-119.

[49]

骆凯, 张吉宇, 王彦荣. 种植密度和施磷肥对黄花草木樨种子产量的影响. 草业学报, 2018, 27(7): 112-119.

[50]

Fu B Z, Zhou Y F, Li X, et al. Effect of water and fertilizer coupling on Leymus chinensis in the Ningxia irrigation area. Acta Prataculturae Sinica, 2020, 29(5): 98-108.

[51]

伏兵哲, 周燕飞, 李雪, 宁夏引黄灌区羊草水肥耦合效应研究. 草业学报, 2020, 29(5): 98-108.

[52]

You Y L, Li Y, Zhao H M, et al. Effects of nitrogen and phosphate fertilizer application on yield and forage quality of forage triticale on the Haihe Plain. Acta Prataculturae Sinica, 2020, 29(3): 137-146.

[53]

游永亮, 李源, 赵海明, 海河平原区施氮磷肥对饲用小黑麦生产性能及营养品质的影响. 草业学报, 2020, 29(3): 137-146.

[54]

Chen W Y, Wang L, Gengqiu B M, et al. Effect of N and P addition on production performance of aging artificial pasture. Journal of Qinghai University, 2019, 37(2): 15-21.

[55]

陈伟元, 王玲, 更求巴毛, 氮、磷添加对老龄人工草地生产性能的影响. 青海大学学报, 2019, 37(2): 15-21.

[56]

Zhao Z W, Zhao B, Xie M, et al. Effects of combination of nitrogen,phosphorus and potassium on the yield and nutrient utilization in Chenopodium quinoa Willd. Journal of Arid Land Resources and Environment, 2023, 37(2): 157-164.

[57]

赵志伟, 赵博, 谢岷, 氮磷钾配施对藜麦产量及养分吸收利用的影响. 干旱区资源与环境, 2023, 37(2): 157-164.

[58]

Jiang J, Wang Y P, Yang Y, et al. Interactive effects of nitrogen and phosphorus additions on plant growth vary with ecosystem type. Plant and Soil, 2019, 440: 523-537.

[59]

Shi Z H, Liu W H, Zhang Y C, et al. Effects of nitrogen and phosphorus fertilizers combined application on diurnal variations of leaves photosynthetic characteristics in Festuca kryloviana. Acta Prataculturae Sinica, 2019, 28(11): 75-85.

[60]

石正海, 刘文辉, 张永超, 氮磷肥配施对西北羊茅开花期叶片光合特性日变化的影响. 草业学报, 2019, 28(11): 75-85.

[61]

Shi Z H, Liu W H, Zhang Y C, et al. Seasonal nitrogen and phosphorus co-application enhances productivity of Festuca kryloviana cv. Huanhu. Acta Prataculturae Sinica, 2024, 33(1): 149-158.

[62]

石正海, 刘文辉, 张永超, 季节性氮磷配施提升环湖寒生羊茅生产性能. 草业学报, 2024, 33(1): 149-158.

[63]

Song J C, Yang H, Yu X J, et al. Effect of combined application of nitrogen and phosphorus fertilizer on the forage yield and nutritional quality of Elymus nutans in alpine region. Acta Agrestia Sinica, 2022, 30(3): 731-742.

[64]

宋建超, 杨航, 鱼小军, 氮磷肥配施对高寒区垂穗披碱草饲草产量及营养品质的影响. 草地学报, 2022, 30(3): 731-742.

[65]

Wang M Y, Hou L Y, Zhu Y Q, et al. Siberian wildrye seed yield limited by assimilate source. Field Crops Research, 2018, 218: 18-23.

[66]

Li W, Wei T H, A B D, et al. Effects of reduction of chemical fertilizer and organic manure supplement on oat nutrient quality and soil nutrient in alpine cold region. Acta Agrestia Sinica, 2021, 29(12): 2878-2886.

[67]

李文, 魏廷虎, 阿保地, 化肥减施配合有机肥对高寒区燕麦营养品质和土壤养分的影响. 草地学报, 2021, 29(12): 2878-2886.

[68]

Li T Y, Zhou Q P, Chen Y J, et al. Effects of nitrogen application rate on seed yield and nitrogen use efficiency of Elymus. Acta Prataculturae Sinica, 2023, 32(3): 80-90.

[69]

李彤瑶, 周青平, 陈有军, 氮肥用量对披碱草属牧草种子产量和氮肥利用效率的影响. 草业学报, 2023, 32(3): 80-90.

[70]

Zhang D, Long H Y, Jin J, et al. Effects of growth interaction effect of Leguminous and Gramineous pasture intercropping and absorption of nutrient and phosphorus on pasture expression. Acta Prataculturae Sinica, 2018, 27(10): 15-22.

[71]

张德, 龙会英, 金杰, 豆科与禾本科牧草间作的生长互作效应及对氮、磷养分吸收的影响. 草业学报, 2018, 27(10): 15-22.

基金资助

国家重点研发计划项目(2022YFD1602307)

国家牧草产业技术体系(CARS-34)

AI Summary AI Mindmap
PDF (3468KB)

799

访问

0

被引

详细

导航
相关文章

AI思维导图

/