坡向和坡位对祁连山高寒灌丛植物群落多样性的影响

王文虎 ,  王世林 ,  梁国玲 ,  李文 ,  曹文侠

草业学报 ›› 2025, Vol. 34 ›› Issue (01) : 17 -28.

PDF (4772KB)
草业学报 ›› 2025, Vol. 34 ›› Issue (01) : 17 -28. DOI: 10.11686/cyxb2024088
研究论文

坡向和坡位对祁连山高寒灌丛植物群落多样性的影响

作者信息 +

Effects of slope categories of differing aspect and position on plant community diversity in alpine shrubland in the Qilian Mountains

Author information +
文章历史 +
PDF (4886K)

摘要

明晰坡向和坡位对祁连山高寒灌丛植物群落多样性的影响过程及其路径系数,能够为祁连山地区高寒灌丛系统进行精准分区利用管理提供科学依据。本研究以祁连山地区山体不同坡向和坡位高寒灌丛为对象,对阴坡、半阴坡和半阳坡高寒灌丛植物群落组成与结构、光照强度和土壤理化特征进行了系统研究,并采用分段式结构方程模型解析坡向和坡位对高寒灌丛植物群落多样性的影响过程及其路径系数。结果表明:草本和灌木的高度、盖度及地上、地下生物量均在下坡位最高(P<0.05)。β多样性在阴坡最高、半阳坡最低(P<0.05)。草本、灌木和群落Shannon-Wiener多样性指数、丰富度指数、Pielou均匀度指数均随坡位的上升而呈降低趋势。光照强度和土壤物理化学性质均在下坡位显著高于上坡位。分段式结构方程模型分析表明,坡向和坡位主要通过影响光照强度和土壤有机质含量影响草本植物群落的多样性,而坡向和坡位主要通过影响光照强度、土壤含水量和土壤速效氮含量影响灌木植物群落的多样性。在山地小尺度地形条件下,坡向和坡位主要通过影响光照、水分、土壤有机质含量、土壤速效氮含量等因子进而影响植物群落多样性分布格局。因此,对山地高寒灌丛系统进行精准分区利用管理及退化草地生态恢复时,应考虑小尺度地形条件下坡向和坡位变化引起的植物群落微生境条件及植被分布格局异质性差异。

Abstract

This research investigated the effects of slope categories defined by slope aspect (shady, semi-shady and semi-sunny slope) and slope position (upper, middle and lower position) on the diversity of alpine shrub community in Qilian Mountains, so as to provide a scientific basis for accurate zoning and management or utilization of alpine shrub vegetation in this region. For the above-mentioned slope categories, the community composition and structure, light intensity, and soil physicochemical characteristics of alpine shrubland were systematically measured, a piecewise structural equation model was used to analyze processes influencing shrub community diversity, and path coefficients of slope aspect and position effects were determined. The results showed that the height, cover, aboveground and belowground biomass of herb and shrub were highest at the lower slope position (P<0.05), while the β diversity was highest on the shady slope and lowest on semi-sunny slope (P<0.05). Shannon-Wiener diversity index, richness index and Pielou evenness index of herb, shrub and community decreased from the lower slope position to upper slope position. The light intensity and soil physicochemical characteristics were significantly higher at the lower slope position than at the upper slope position. The piecewise structural equation model showed that slope aspect and slope position affected the diversity of herbs mainly through factors such as light intensity and soil organic matter content, while they affected the diversity of shrubs mainly through factors such as light intensity, soil water content and soil available nitrogen content. For the smaller scale topographic variation investigated, slope aspect and slope position affected the distribution pattern of plant community diversity mainly through factors such as light intensity, soil water content, soil organic matter content and available nitrogen content. Therefore, when collecting data for precise zoning and to plan ecological restoration of degraded grassland in alpine shrubland, it is important to consider the change of plant community microhabitat conditions and the variation of vegetation distribution patterns which are induced by slope aspects and positions arising from small-scale topographic variation.

Graphical abstract

关键词

高寒灌丛 / 植物多样性 / 坡向 / 坡位

Key words

alpine shrub / plant diversity / slope aspect / slope position

引用本文

引用格式 ▾
王文虎,王世林,梁国玲,李文,曹文侠. 坡向和坡位对祁连山高寒灌丛植物群落多样性的影响[J]. 草业学报, 2025, 34(01): 17-28 DOI:10.11686/cyxb2024088

登录浏览全文

4963

注册一个新账户 忘记密码

祁连山是我国重要的生态安全屏障,是黄河及内陆河流域重要的水源产流地,也是我国生物多样性优先保护区,为物种的起源、分化与扩散创造了条件,是山地物种形成、分化与集散的重要地区之一1-2。高寒灌丛是祁连山区重要的植被类型,主要分布在海拔3000 m林线以上,面积约650万hm2[3。高寒灌丛水源涵养功能强大,在维持高山-亚高山生态系统稳定等方面具有重要作用4。长期以来受山地、河谷等地形地貌重塑及人为干扰的影响,祁连山阴坡高寒常绿灌丛、落叶灌丛与高寒草甸呈带状或斑块状交错分布、阳坡落叶灌丛呈零星分布的景观5。物种多样性作为一种表现生物多样性在物种水平上的形式,体现了生境差异对群落结构特征与稳定程度的影响5-7,一直以来备受生态学家关注,也是生态学研究的核心问题之一8。因此,研究祁连山高寒灌丛植物群落组成及多样性分布特征对祁连山国家公园功能区的划分与科学管理具有重要意义。
山地植物空间分布格局是气候和地形等因素综合影响的直接结果,在山地条件下坡向和坡位涵盖了绝大部分山地环境因子,直接影响区域内光照、温度和雨量分布,通过改变局部小气候从而影响植物的分布格局9-10。目前,学者主要从大尺度生态学的角度对山地植物的组成和分布特征进行了系统研究,发现不同坡向植物群落在物种组成、物种高度、盖度、密度、生物量及多样性等方面均存在较大差异11-12。小尺度山体是山地高寒草甸生态系统管理的最基本地形单元,然而,在山地草地生态系统管理中,常以大尺度草地类型为基础划分单元,较少考虑小尺度地形差异造成的植物群落差异性分布13。此外,目前仍缺乏对小尺度山地高寒草地植物分布格局的系统研究,尚不明确高寒植物在小尺度山体上的分布规律及影响机制,不利于高寒草地可持续利用技术的制定和实施。因此,开展小尺度山体上植物群落组成和结构特征研究,可为高寒草地的可持续利用管理及大尺度山地生态学研究提供参考依据。
基于此,本研究以祁连山东段坡向分异明显的典型山体为研究对象,系统研究坡向和坡位对高寒灌丛植物分布的单独作用及综合作用,解析高寒区植物群落随山地环境变化的分布规律,以期为祁连山区位划分、物种多样性保护及可持续利用管理提供科学依据。

1 材料与方法

1.1 试验区概况

试验地位于祁连山东段的甘肃省天祝藏族自治县抓喜秀龙镇(37°10′ N,102°47′ E),境内海拔3000~4600 m,属于典型的大陆性季风气候,空气较稀薄,太阳辐射较强,气候变化无常,仅有冷、热两个季节,昼夜温差较大。年均温为0.16 ℃,7月最高可达11.2 ℃,1月最低可达-11.4 ℃,年均降水量为416.9 mm,雨热同期,无绝对无霜期,植物生长期约120 d3。高寒灌丛草地分布在海拔3000 m以上的阴坡、半阴坡和半阳坡,是研究区主要的草地类型,灌木优势种植物为千里香杜鹃(Rhododendron thymifolium)、头花杜鹃(Rhododendron capitatum)、金露梅(Potentilla fruticosa)、狭叶锦鸡儿(Caragana stenophylla),草本优势种植物为垂穗披碱草(Elymus nutans)、矮生嵩草(Kobresia humilis)、珠芽蓼(Polygonum viviparum)等。土壤类型为高山黑钙土。

1.2 试验设计

通过查阅资料和实地调查发现,高寒灌丛主要生长在研究区的阴坡、半阴坡和半阳坡。于2021年9月中旬,在研究区选取坡向和坡位分异明显,且阴坡、半阴坡和半阳坡生长有高寒灌丛的6座典型山体,参照张金屯14对坡向和坡位的划分标准,在每一座山体上选取阴坡(0°~45°和315°~360°)、半阴坡(225°~315°)和半阳坡(45°~135°),同时将各坡向划分为下坡位、中坡位、上坡位,相邻两坡向至少相距200 m,每个坡向的下坡位和上坡位间海拔为3000~3800 m,且各坡向的相同坡位处在同一等高线上。

1.3 野外调查及指标测定

在各坡位同一等高线上随机布设10个5 m×5 m的大样方,进行灌木植物群落特征调查。先记录样方内灌木种类及数量,高度为灌木地面到冠幅最高点的直线距离。然后在各样方内选取长势良好、无明显病虫害的各类灌木标准植株5株,采用标准株法测量灌木生物量15。最后在各坡位上沿等高线方向设置3条30 m的样线,测定灌木盖度。

在各坡位同一等高线上随机设置10个1 m×1 m的小样方,进行草本植物群落特征调查。先记录样方内植物种类及数量,用卷尺测量草本植物自然高度,用针刺法测定草本植物的盖度10,对于丛生植物,基部紧密连在一起的记为一个个体。然后按种齐地面刈割地上部分。以上植物样品带回实验室后先在105 ℃杀青30 min,然后转至75 ℃烘干至恒重,称重并计算灌木和草本地上生物量。在上述刈割后的各小样方内,用内径4 cm的土钻采集0~10 cm层土样,每个小样方内分别取2钻,并将其混合为一个土样。上述土样带回实验室后在阴凉处自然阴干,碾碎并过筛,用于土壤有机质(soil organic matter)、全氮(total nitrogen)、全磷(total phosphorus)、全钾(total potassium)、速效氮(available nitrogen)、速效磷(available phosphorus)、速效钾(available potassium)含量的测定,以上土壤养分的测定参照鲍士旦16的方法。此外,用体积为100 cm3的环刀测量0~10 cm层土壤容重,各坡位分别设置10个重复,土样带回实验室后在100 ℃烘干至恒重,称重并计算土壤质量含水量和土壤容重。采用照度计(DLX-LSK2304,杭州德力西集团)测光照强度,各坡位分别设置10个重复。土壤温度采用土壤温湿度仪(MQ-SCTR2;山东省潍坊市)测定。植物地下生物量测定方法:用内径10 cm的根钻在上述各刈割样方内分层(0~10 cm, 10~20 cm和20~30 cm)取土样测地下生物量,每个小样方内2个点的土样分层混合后作为一个重复,每个坡位重复10次,用清水冲洗网袋以分离根系和土壤;地下生物量先在105 ℃条件下烘30 min,然后在75 ℃烘箱中烘干至恒重,称重,并计算地下生物量。

1.4 数据分析

参照马克平等17的方法分别计算草本和灌木植物Shannon-Wiener多样性指数、Pielou均匀度指数和丰富度指数。然后利用灌丛草地植物群落的垂直结构特征,将草本植物与灌木多样性指数进行加权来计算灌草群落的多样性指数18,计算公式为:

Wi=(CiC+HiH)
灌草群落多样性指=W1×灌木多样性指+W2×草本多样性指

式中:i=1代表灌木,i=2代表草本;Wi 为灌木或草本多样性指数的权重系数;C为群落总盖度(C=∑Ci );H为灌木和草本叶层平均厚度之和(H=∑Hi );Ci 为灌木或草本盖度;Hi 为灌木或草本的平均高度。

参照Liang等19的方法计算β多样性(βsimp),计算公式为:

βsimp=γsimp/αsimp
γsimp=1/iPi2

式中:γsimp表示γ多样性;α多样性(αsimp)被定义为Simpson指数加权平均值的倒数;Pi 表示物种i在单个样方中的相对生物量。

利用Excel 2019进行数据初步整理。采用SPSS 19.0(Chicago, IL, 美国)先对不同坡向和坡位上物种多样性指数、光照强度及土壤理化性质的正态性(Kolmogorov-Smirnov)和方差齐性(homogeneity of variance)进行检验,然后用单因素方差分析中的多重比较(multiple comparisons)对上述指标进行显著性分析(0.05水平)。采用R 4.0.2(R Development Core Team)Random Forest包构建随机森林模型,对影响植物多样性的土壤理化因子进行重要性排序,并采用rfUtilities和rfPermute包分别评估模型和各因子的显著性20。为进一步明确坡向和坡位对植物群落物种多样性的影响过程,采用R 4.0.2 piecewise SEM包构建分段式结构方程模型,探讨坡向、坡位及其交互作用对草本和灌木物种多样性的影响过程及其路径系数。采用Origin 2021软件绘图。

2 结果与分析

2.1 不同坡向和坡位植物群落特征

阴坡优势植物以头花杜鹃、千里香杜鹃、黑褐穗苔草(Carex atrofusca)、金露梅、川滇柳(Salix rehderiana)等为主;半阴坡以火绒草(Leontopodium leontopodioides)、狭叶锦鸡儿、沙棘(Hippophae rhamnoides)、矮生嵩草等为主;半阳坡以鬼箭锦鸡儿(Caragana jubata)、冷地早熟禾(Poa crymophila)、垂穗披碱草、山生柳(Salix oritrepha)等为主。阴坡和半阴坡,下坡位草本高度显著高于其他坡位(P<0.05);阴坡草本盖度在3个坡位间差异显著,阴坡灌木高度在3个坡位间差异显著;半阴坡灌木盖度在3个坡位间差异显著(P<0.05)。阴坡、半阴坡、半阳坡,地上生物量在3个坡位间差异显著(P<0.05);半阴坡,地下生物量在3个坡位间差异显著(P<0.05,表1)。

2.2 不同坡向和坡位植物群落物种多样性

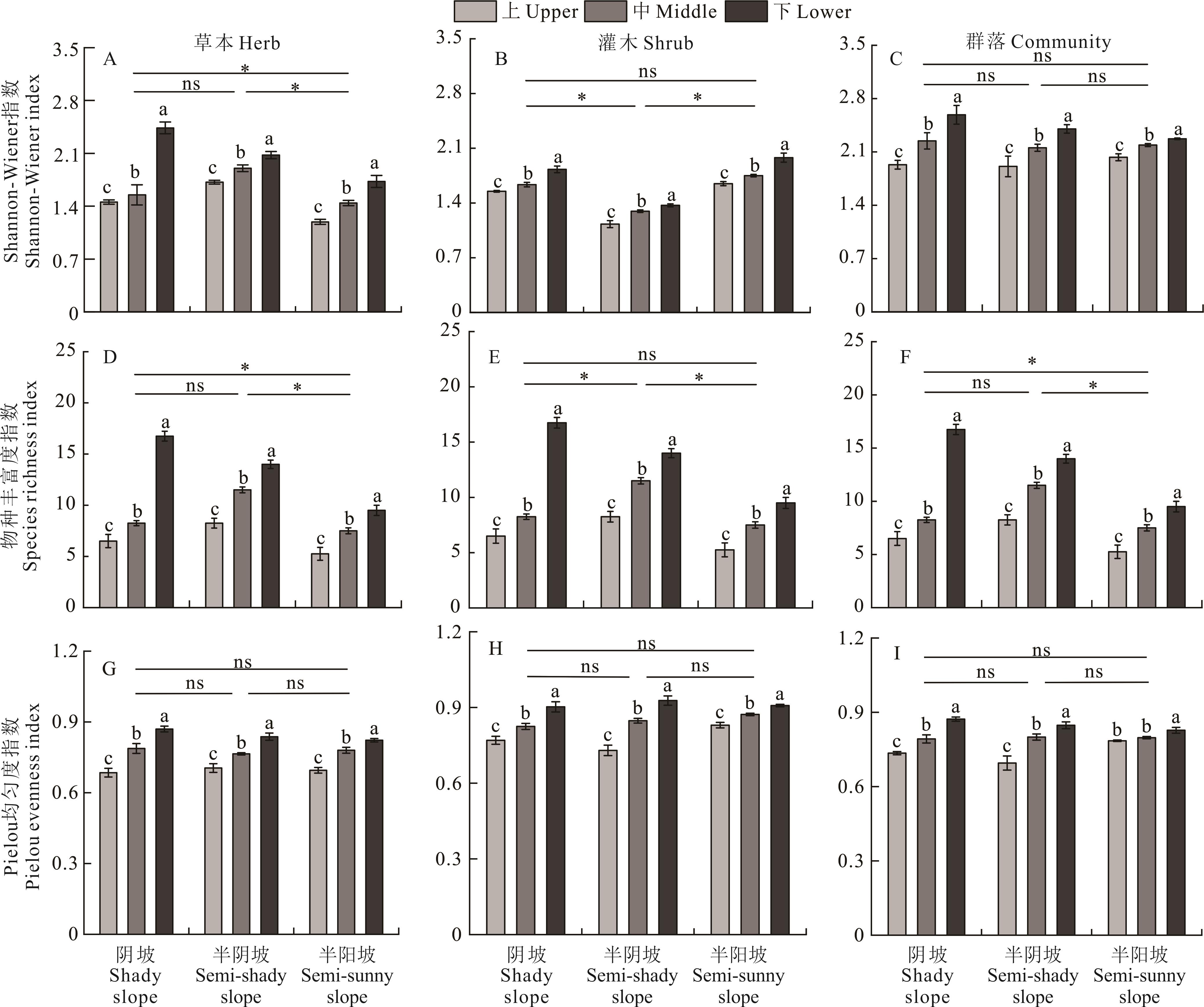
草本Shannon-Wiener多样性指数在半阴坡和半阳坡,半阳坡和阴坡间差异显著(P<0.05);灌木Shannon-Wiener多样性指数在阴坡和半阴坡,半阴坡和半阳坡间差异显著(P<0.05);群落Shannon-Wiener多样性指数在3个坡向间无显著差异(P>0.05,图1A~C)。在阴坡、半阴坡和半阳坡,草本、灌木和群落的Shannon-Wiener多样性指数和物种丰富度指数均在下坡位最高,中坡位次之,上坡位最低,且坡位间差异显著(P<0.05,图1A~F)。草本、灌木和群落的Pielou均匀度指数在阴坡、半阴坡和半阳坡间无显著差异;均在阴坡和半阴坡的下坡位最高,中坡位次之,上坡位最低,而半阳坡草本和灌木Pielou均匀度指数均在上、下坡位间差异显著(P<0.05),群落Pielou均匀度指数在下坡位最高,中坡位次之,上坡位最低,且坡位间无显著差异(P>0.05,图1G~I)。植物群落β多样性在阴坡、半阴坡、半阳坡间差异显著(图2),在阴坡最高,为1.82,在半阳坡最低,为1.18。

2.3 不同坡向和坡位光照及土壤理化特征

半阳坡光照强度显著高于其他2个坡向(P<0.05);在阴坡、半阴坡和半阳坡,下坡位光照强度、土壤温度、土壤含水量和土壤容重均显著高于其他坡位(P<0.05),上坡位均为最低。土壤温度在3个坡向间差异显著(P<0.05);土壤含水量在阴坡显著最高,半阴坡和半阳坡间无显著差异(P>0.05);土壤容重在半阴坡显著最高,在阴坡和半阳坡间无显著差异(P>0.05,图3)。

土壤有机质、全氮和全钾含量在半阴坡最低,而阴坡和半阳坡间无显著差异(P>0.05)。土壤有机质、全氮、全磷和全钾含量均在下坡位最高,在上坡位最低(图4A~D)。速效氮含量在3个坡向间差异显著,阴坡显著最高,半阴坡显著最低;速效磷含量在半阳坡显著最低(P<0.05);速效钾含量在3个坡向间无显著差异(P>0.05)。速效氮、速效磷和速效钾含量均在下坡位显著最高,上坡位最低(P<0.05,图4E~G)。

2.4 不同坡向和坡位植物群落多样性主要影响因子

为确定光照强度、土壤物理因子、土壤化学因子对草本和灌木植物群落多样性的影响,采用随机森林模型对各因子进行了重要性排序。结果表明(图5),各因子总体能够解释草本物种多样性变异的90.2%,解释灌木物种多样性变异的96.8%。其中,光照、土壤含水量、全磷、容重、有机质、温度、速效氮、速效磷及全氮对草本物种多样性有极显著作用(P<0.01),速效钾对草本物种多样性有显著作用(P<0.05)。而光照、土壤有机质、全钾、全磷、含水量及容重对灌木物种多样性有极显著作用(P<0.01),温度、速效氮和全氮对灌木物种多样性有显著作用(P<0.05)。

基于随机森林模型分析结果,选取对植物群落多样性有显著影响的因子,进一步构建分段式结构方程模型,探讨坡向、坡位及其交互作用对植物群落多样性的影响过程及路径。结果表明,草本多样性结构方程模型拟合效果良好(P=0.92,Fisher’s C=0.154),坡向通过影响光照强度、土壤含水量和速效氮含量间接影响草本多样性,坡位通过影响土壤含水量、速效氮和有机质含量间接影响草本多样性。光照强度、速效氮和有机质对草本多样性均有显著正向作用,路径系数分别为0.855、0.347和0.326(图6A)。基于分段式结构方程中的标准化路径系数,计算了各因素的直接效应、间接效应和总效应,结果表明,光照强度和有机质含量对草本植物群落多样性影响的总效应较大,分别为0.592和0.562(图6B)。灌木多样性结构方程模型拟合效果良好(P=0.93,Fisher’s C=0.130),坡向通过影响光照强度、土壤速效氮和含水量间接影响灌木多样性,坡位通过影响土壤有机质、速效氮和含水量间接影响灌木多样性。此外,坡位、光照强度、土壤有机质、全磷、速效氮对灌木多样性均有直接效应,路径系数分别为0.334、-0.437、0.339、0.205、-0.434(图6C)。基于分段式结构方程中的标准化路径系数,计算了各因素的直接效应、间接效应和总效应,结果表明,光照强度、土壤含水量、土壤速效氮含量对灌木植物群落多样性影响的总效应较大,分别为-0.538、-0.356和-0.434(图6D)。因此,坡向和坡位主要通过影响光照强度和土壤有机质含量影响草本植物群落多样性,而坡向和坡位主要通过影响光照强度、土壤含水量和土壤速效氮含量影响灌木植物群落多样性。

3 讨论

植物群落多样性是山地条件下探究物种多样性随坡向和坡位变化的核心问题20-21。小尺度山体作为研究高寒灌丛草甸的最小单位,对小尺度山体下植物群落多样性随坡向和坡位变化规律的研究可为开展较大尺度山体下草场划分和生态恢复重建提供参考22。在山地小尺度范围,坡向和坡位是植物异质性分布的重要影响因素23。坡向变化是引起山地条件下太阳辐射、日照时数、土壤温湿度、土壤养分等生态因子异质性和植物群落多样性的重要因素24。本研究发现,高寒灌丛草甸植物群落多样性在阴坡最高,半阴坡次之,半阳坡最低,说明在小尺度山地环境下,植物群落多样性对坡向变化响应较大。不同坡向高寒灌丛草甸植物群落分布格局异质性可用“水分-热量动态理论”来解释25。本研究中半阳坡光照强度、土壤速效磷含量显著高于阴坡和半阴坡,阴坡土壤含水量、土壤速效氮含量显著高于半阴坡和半阳坡。这是因为在山地条件下,坡向和坡位变化影响光照、土壤水分、土壤养分等生态因子空间分配格局异质性26,进而影响植物群落分布格局异质性。本研究中阴坡以金露梅和川滇柳等灌木为优势物种,灌间/下以珠芽蓼、黑褐穗苔草等喜湿、耐阴的草本植物为优势种,植被盖度较高。较高的植被覆盖度有利于山地条件下土壤保墒和保肥,为灌下草本植物的生长发育创造了优越的基础条件,故植物群落多样性较高。半阳坡由于接受的太阳辐射较强,土壤温度较高,不利于土壤保墒,因此植被覆盖度较低,地表裸露面积较大,致使水土流失较严重,土壤养分难以富集。半阳坡灌木主要有山生柳、鬼箭锦鸡儿、头花杜鹃等,呈零星状分布,草本植物主要以喜光、耐旱、耐贫瘠的矮生嵩草、冷地早熟禾为优势物种,群落盖度较低,植物群落结构较单一。半阴坡光照强度、土壤水分和养分含量较适中,植被覆盖度较高,灌木以鲜黄小檗、沙棘、银露梅等为优势种呈斑块状分布,草本以矮生嵩草、蕨麻等为优势物种,分布较均匀。此外,较高的植被覆盖度有利于山地环境下水土保持和土壤养分富集,为植被的分布创造了条件,故植物群落结构较复杂。

山地条件下,坡位变化引起土壤养分、土壤含水量、土壤温度等环境因子呈阶梯性变化,进而引起植物的垂直分布27-29。本研究中不同坡向植物多样性、土壤养分、土壤含水量、土壤温度等在坡位梯度上均表现为从下坡位到上坡位逐渐降低,说明在山地条件下土壤养分及水热条件是影响植被分布格局的重要因素。本研究中上坡位主要以耐旱、耐贫瘠的矮生嵩草、火绒草、鬼箭锦鸡儿等为优势物种呈零星状分布,这是因为在山地环境下,由于雨水冲刷引起土壤养分从山顶向下富集,因此上坡位土壤较贫瘠,植物多样性较低,地表裸露面积较大,导致上坡位土壤保水保肥能力差,适宜生长的植物较少,故植物群落结构较单一。下坡位主要有山生柳、川滇柳、金露梅等灌木及蕨麻、珠芽蓼等阔叶类草本植物,这是因为下坡位由地表径流带来充足的土壤养分、水分,有利于喜湿、喜肥植物的生长和繁殖。此外,由于山生柳、川滇柳、金露梅等灌木的定植,为灌下耐阴植物的生长发育创造了条件,故下坡位植物群落结构复杂。阴坡中坡位以绣线菊、千里香杜鹃、黑褐穗苔草为优势种,半阴坡中坡位以银露梅、狭叶锦鸡儿、火绒草为优势种,半阳坡中坡位以鬼箭锦鸡儿、头花杜鹃、冷地早熟禾为优势种,且植被以斑块状分布为主。这可能是因为中坡位属于上坡位和下坡位的过渡带,在雨水冲刷过程中土壤养分、水分向下富集时,由于石块、树枝等的拦截作用,在中坡位形成斑块状“肥岛”,为植被斑块状分布奠定基础,故中坡位植物群落多样性较低。

本研究结构方程模型表明,坡向和坡位主要通过影响光照强度、土壤含水量、速效氮含量和有机质含量进而影响草本植物多样性,其中,光照强度和有机质含量是影响草本植物多样性的关键因子;坡向和坡位主要通过影响光照强度、土壤含水量、速效氮含量和有机质含量进而影响灌木植物多样性,其中光照强度、土壤含水量和土壤速效氮含量是影响灌木植物多样性的关键因子。因为光照是影响植物种子萌发、生长、光合作用等生理生化过程的重要因子30,是引起地表温度和土壤水分变化、土壤有机质矿化、养分转换速率和运输方向发生变化的重要驱动因子31,也是影响植物物质循环和能量流动的重要驱动因子。而土壤有机质、氮、磷、钾等则是植物群落生存繁殖必需的基础物质32。因此,在祁连山低气温、强辐射的特殊环境下33,坡向和坡位通过调控山地条件下土壤养分及土壤温湿度变化,进而影响高寒灌丛草甸植物群落分布格局。对小尺度山地环境下植物群落分布格局的研究,可以为开展大尺度山地条件下草地资源的精准化分区管理及退化草地生态恢复提供参考依据。建议后期对大尺度山地条件下进行草地划区轮牧及退化草地生态恢复过程中,优先考虑地形条件对植被生长和生态恢复的影响。

4 结论

草本和灌木植物的高度、盖度及地上、地下生物量均在下坡位显著最高。β多样性在阴坡显著最高、半阳坡显著最低。草本、灌木和群落Shannon-Wiener多样性指数、丰富度指数、Pielou均匀度指数均随坡位的上升而呈降低趋势,在上坡位显著最低,在下坡位显著最高。光照强度和土壤物理化学性质均在下坡位显著高于上坡位。分段式结构方程模型表明,坡向和坡位主要通过影响光照强度和土壤有机质含量影响草本植物群落多样性,而坡向和坡位主要通过影响光照强度、土壤含水量和土壤速效氮含量影响灌木植物群落多样性。因此,对山地高寒灌丛系统进行精准分区利用管理及退化草地生态恢复时,应优先考虑小尺度地形条件下坡向和坡位变化对植物群落微生境条件及植被分布格局的影响。

参考文献

[1]

Ma J J, Li X B, Qi P, et al. Ecological security assessment of Qilian Mountain National Park of China. Mountain Research, 2022, 40(4): 504-515.

[2]

马娟娟, 李晓兵, 齐鹏, 祁连山国家公园生态安全评价. 山地学报, 2022, 40(4): 504-515.

[3]

Duan H, Qi Y, Kang W, et al. Seasonal variation of vegetation and its spatiotemporal response to climatic factors in the Qilian Mountains, China. Sustainability, 2022, 14(9): 4926.

[4]

Wang J L, Li W, Cao W X, et al. Soil bacterial community responses to short term grazing exclusion in a degraded alpine shrubland-grassland ecotone. Ecological Indicators, 2021, 130: 108043.

[5]

Wang R, Peng Q, Zhang W, et al. Ecohydrological service characteristics of Qilian Mountain ecosystem in the next 30 years based on scenario simulation. Sustainability, 2022, 14(3): 1819.

[6]

Wang J L, Li W, Cao W X, et al. Effects of different intensities of long-term grazing on plant diversity, biomass and carbon stock in alpine shrubland on the Qinghai-Tibetan Plateau. PeerJ, 2022, 10: e12771.

[7]

Zhang F, Du H, Zeng F P, et al. Changes of woody community structure and diversity in karst peak-cluster depressions in Southwest China. Acta Ecologica Sinica, 2020, 40(12): 4094-4104.

[8]

张芳, 杜虎, 曾馥平, 西南喀斯特峰丛洼地木本植物群落结构与多样性变化. 生态学报, 2020, 40(12): 4094-4104.

[9]

Gao W Q, Lei X D, Liang M W, et al. Biodiversity increased both productivity and its spatial stability in temperate forests in northeastern China. Science of the Total Environment, 2021, 780: 146674.

[10]

Xu Y D, Dong S K, Li S, et al. Research progress on ecological filtering mechanisms for plant community assembly. Acta Ecologica Sinica, 2019, 39(7): 2267-2281.

[11]

许驭丹, 董世魁, 李帅, 植物群落构建的生态过滤机制研究进展. 生态学报, 2019, 39(7): 2267-2281.

[12]

Zhang R, Yu F Y, Zhou R H, et al. Effects of slope position and aspect on structure and species diversity of shrub community in the Jiajin Mountains, Sichuan Province, China. Chinese Journal of Applied Ecology, 2020, 31(8): 2507-2514.

[13]

张荣, 余飞燕, 周润惠, 坡向和坡位对四川夹金山灌丛群落结构与物种多样性特征的影响. 应用生态学报, 2020, 31(8): 2507-2514.

[14]

Zhang Q, Sun X M, Yang J, et al. Effect of slope aspect on species functional groups and species diversity of alpine meadow of the east of Qilian Mountains. Acta Botanica Boreali-Occidentalia Sinica, 2019, 39(8): 1480-1490.

[15]

张倩, 孙小妹, 杨晶, 坡向对东祁连山高寒草甸群落物种功能群及其多样性的影响. 西北植物学报, 2019, 39(8): 1480-1490.

[16]

Xu C L. Variations in vegetation composition and nutrient characteristics related to aspect in an alpine meadow in the northeast margin of the Qinghai-Tibetan Plateau. Acta Prataculturae Sinica, 2016, 25(4): 26-35.

[17]

徐长林. 坡向对青藏高原东北缘高寒草甸植被构成和养分特征的影响. 草业学报, 2016, 25(4): 26-35.

[18]

Zhu Y Y, Wang X A, Wang X, et al. Effect of slope aspect on the functional diversity of grass communities in the Loess Plateau. Acta Ecologica Sinica, 2016, 36(21): 6823-6833.

[19]

朱云云, 王孝安, 王贤, 坡向因子对黄土高原草地群落功能多样性的影响. 生态学报, 2016, 36(21): 6823-6833.

[20]

Niu Y J, Zhou J W, Yang S W, et al. Quantitative apportionment of slope aspect and altitude to soil moisture and temperature and plant distribution on alpine meadow. Chinese Journal of Applied Ecology, 2017, 28(5): 1489-1497.

[21]

牛钰杰, 周建伟, 杨思维, 坡向和海拔对高寒草甸山体土壤水热和植物分布格局的定量分解. 应用生态学报, 2017, 28(5): 1489-1497.

[22]

Zhang J T. Quantitative ecology. Beijing: Science Press, 2018.

[23]

张金屯. 数量生态学. 北京: 科学出版社, 2018.

[24]

Deng L, Han Q S, Zhang C, et al. Above-ground and below-ground ecosystem biomass accumulation and carbon sequestration with Caragana korshinskii Kom plantation development. Land Degradation & Development, 2017, 28(3): 4-16.

[25]

Bao S D. Agrochemical analysis of soil. Beijing: China Agriculture Press, 2000.

[26]

鲍士旦. 土壤农化分析. 北京: 中国农业出版社, 2000.

[27]

Ma K P, Huang J H, Yu S L, et al. Plant community diversity in Dongling Mountain, Beijing, China: Ⅱ. species richness, evenness and species diversities. Acta Ecologica Sinica, 1995, 15(3): 268-277.

[28]

马克平, 黄建辉, 于顺利, 北京东灵山地区植物群落多样性的研究Ⅱ丰富度、均匀度和物种多样性指数. 生态学报, 1995, 15(3): 268-277.

[29]

Xu Y J, Chen Y N, Li W H, et al. Distribution pattern and environmental interpretation of species diversity in the mountainous region of Ili River Valley, Xinjiang, China. Chinese Journal of Plant Ecology, 2010, 34(10): 1142-1154.

[30]

徐远杰, 陈亚宁, 李卫红, 伊犁河谷山地植物群落物种多样性分布格局及环境解释. 植物生态学报, 2010, 34(10): 1142-1154.

[31]

Liang M, Liang C, Hautier Y, et al. Grazing-induced biodiversity loss impairs grassland ecosystem stability at multiple scales. Ecology Letters, 2021, 24(10): 2054-2064.

[32]

Wen P Y, Jin G Z. Effects of topography on species diversity in a typical mixed broadleaved-Korean pine forest. Acta Ecologica Sinica, 2019, 39(3): 945-956.

[33]

温佩颖, 金光泽. 地形对阔叶红松林物种多样性的影响. 生态学报, 2019, 39(3): 945-956.

[34]

Wang P C, Yu H, Xiao H L, et al. Effects of habitat factors on the plant diversity on naturally-restored wind farm slopes. PeerJ, 2023, 11: 14912.

[35]

Wang X Y, Zhou B R, Su S L, et al. Characteristics of carbon exchange in alpine meadow and desert of Qinghai-Tibet Plateau and its meteorological influence mechanism. Acta Ecologica Sinica, 2023, 43(3): 1194-1208.

[36]

王秀英, 周秉荣, 苏淑兰, 青藏高原高寒草甸和荒漠碳交换特征及其气象影响机制. 生态学报, 2023, 43(3): 1194-1208.

[37]

Bátori Z, Valkó O, Vojtkó A, et al. Environmental heterogeneity increases the conservation value of small natural features in karst landscapes. Science of the Total Environment, 2023, 872: 162120.

[38]

Zhang Q P, Fang R Y, Deng C Y, et al. Slope aspect effects on plant community characteristics and soil properties of alpine meadows on Eastern Qinghai-Tibetan plateau. Ecological Indicators, 2022, 143: 109400.

[39]

Dong Y J, Wu N Q, Li F J, et al. Influence of monsoonal water-energy dynamics on terrestrial mollusk species-diversity gradients in northern China. Science of the Total Environment, 2019, 676: 206-214.

[40]

Chen K Q, Pan Y F, Li Y Q, et al. Slope position-mediated soil environmental filtering drives plant community assembly processes in hilly shrublands of Guilin, China. Frontiers in Plant Science, 2023, 13: 1074191.

[41]

Lv Z L, Liu B, Chang F, et al. Relationship between plant functional diversity and ecosystem multifunctionality in Bayanbulak alpine meadow along an altitude gradient. Chinese Journal of Plant Ecology, 2023, 47(6): 822-832.

[42]

吕自立, 刘彬, 常凤, 巴音布鲁克高寒草甸植物功能多样性与生态系统多功能性关系沿海拔梯度的变化. 植物生态学报, 2023, 47(6): 822-832.

[43]

Li Q, Rong L, Wang M. Effects of topography on diversity and distribution patterns of plant species in karst mountain area. Bulletin of Soil and Water Conservation, 2019, 39(6): 27-34.

[44]

李芹, 容丽, 王敏. 地形对喀斯特山地植物物种多样性及分布格局的影响. 水土保持通报, 2019, 39(6): 27-34.

[45]

Ma Y R, Guan Q Y, Sun Y F, et al. Three-dimensional dynamic characteristics of vegetation and its response to climatic factors in the Qilian Mountains. Catena, 2022, 208: 105694.

[46]

Du Y D, Yuan X Y, Feng Z Z. Effects of different nitrogen forms on photosynthetic characteristics and growth of poplar. Chinese Journal of Plant Ecology, 2023, 47(3): 348-360.

[47]

杜英东, 袁相洋, 冯兆忠. 不同形态氮对杨树光合特性及生长的影响. 植物生态学报, 2023, 47(3): 348-360.

[48]

Zhu S K, Wang S, Zhang J T, et al. Microclimate characteristics of photovoltaic arrays and their effects on plant growth in a solar power station area. Chinese Journal of Ecology, 2021, 40(10): 3078-3087.

[49]

朱少康, 王珊, 张军涛, 光伏阵列的微气候特征及其对站区植物生长特性的影响. 生态学杂志, 2021, 40(10): 3078-3087.

[50]

Xie M Y, Feng X X, Ma H F, et al. Characteristics of soil enzyme activity and stoichiometric and its influencing factors in Quercus aliena var. acuteserrata forest in the Qinling Mountains. Chinese Journal of Plant Ecology, 2020, 44(8): 885-894.

[51]

解梦怡, 冯秀秀, 马寰菲, 秦岭锐齿栎林土壤酶活性与化学计量比变化特征及其影响因素. 植物生态学报, 2020, 44(8): 885-894.

[52]

Liu J H, Xin Z B, Huang Y Z. Climate suitability assessment on the Qinghai-Tibet Plateau. Science of the Total Environment, 2022, 816: 151653.

基金资助

国家自然科学基金(32060269)

国家重点研发计划项目(2022YFD1602307)

国家牧草产业技术体系(CARS-34)

AI Summary AI Mindmap
PDF (4772KB)

1203

访问

0

被引

详细

导航
相关文章

AI思维导图

/