外源褪黑素与乙烯交互对盐胁迫下紫花苜蓿幼苗生长和生理特性的影响

蔡文祺 ,  李淑霞 ,  王晓彤 ,  宋文学 ,  麻旭霞 ,  马小梅 ,  李小红 ,  代昕瑶

草业学报 ›› 2025, Vol. 34 ›› Issue (01) : 80 -93.

PDF (3682KB)
草业学报 ›› 2025, Vol. 34 ›› Issue (01) : 80 -93. DOI: 10.11686/cyxb2024093
研究论文

外源褪黑素与乙烯交互对盐胁迫下紫花苜蓿幼苗生长和生理特性的影响

作者信息 +

Effects of interaction between exogenous melatonin and ethylene on the growth and physiological characteristics of Medicago sativa seedlings under salt stress

Author information +
文章历史 +
PDF (3769K)

摘要

为明确外源褪黑素和乙烯在调控植物耐盐性方面的交互作用,以‘中苜一号’紫花苜蓿为试验材料,通过叶面喷施褪黑素、乙烯利和褪黑素+乙烯利的方法,研究外源施加褪黑素和乙烯对盐胁迫下紫花苜蓿幼苗生长和生理特性的影响。结果表明:外源施加一系列浓度的褪黑素处理(0.01、0.02、0.05、0.10 mmol·L-1 MT)和乙烯利处理(0.05、0.15、0.25、0.50 mmol·L-1 ETH)均对盐胁迫下(250 mmol·L-1 NaCl)紫花苜蓿幼苗的生长损伤具有缓解作用,并以0.05 mmol·L-1 褪黑素处理和0.15 mmol·L-1乙烯利处理缓解效果最佳,其幼苗株高、叶面积、鲜重、叶绿素含量和类胡萝卜素含量显著增加,相对电导率显著降低。采用以上最佳处理浓度试验发现:与对照组相比,盐胁迫下紫花苜蓿幼苗的生长明显被抑制;与单独盐处理组相比,外源施加激素后紫花苜蓿幼苗长势明显较好,尤其是同时施加褪黑素和乙烯利时,紫花苜蓿幼苗的株高、叶面积和鲜重分别增加了54.1%、76.8%和32.1%,组织含水量和叶绿素含量分别增加了46.2%和47.8%,相对电导率和丙二醛含量分别降低了23.5%和39.7%,过氧化氢和超氧阴离子含量分别减少了42.7%和63.8%,超氧化物歧化酶SOD、过氧化物酶POD、过氧化氢酶CAT和抗坏血酸过氧化物酶APX活性分别增加了54.1%、54.1%、59.1%和62.0%,还原性谷胱甘肽GSH含量增加32.8%,脯氨酸和可溶性糖含量增加了42.2%和27.2%,钾钠离子比值增加了217.5%,植株内源褪黑素和乙烯含量分别增加了60.0%和10.6%。综合分析表明,外源施加褪黑素和乙烯能够显著降低紫花苜蓿膜脂过氧化水平和活性氧积累,增加抗氧化酶活性和渗透调节物质含量,调控植株体内离子平衡,增加幼苗内源激素含量,提高紫花苜蓿幼苗的耐盐性,从而促进盐胁迫下幼苗的生长。

Abstract

The aim of this study was to clarify the effects of exogenous melatonin and ethylene in combination on the salt tolerance of alfalfa (Medicago sativa). An experiment was conducted in which the alfalfa cultivar ‘Zhongmu No.1’ was treated with exogenous melatonin, ethephon, and melatonin+ethephon, and then the growth and physiological characteristics of alfalfa seedlings under salt stress were determined. Exogenous application of a range of concentrations of melatonin (0.01, 0.02, 0.05, 0.10 mmol·L-1) and ethephon (0.05, 0.15, 0.25, 0.50 mmol·L-1) as foliar sprays alleviated the reduction in the growth of alfalfa seedlings caused by salt stress (250 mmol·L-1 NaCl). The strongest alleviation effects were in the 0.05 mmol·L-1 melatonin treatment and the 0.15 mmol·L-1 ethephon treatment. The application of melatonin and ethephon alone to alfalfa seedlings under salt stress resulted in significantly increased plant height, leaf area, fresh weight, chlorophyll content, and carotenoid content of alfalfa seedlings, and significantly decreased relative electrical conductivity. We conducted further experiments using the above optimal treatment concentrations of melatonin and ethephon. Compared with the control group, salt-stressed alfalfa seedlings showed significantly inhibited growth. Compared with salt-stressed seedlings, those treated with exogenous hormones showed improved growth, especially those treated with melatonin and ethephon simultaneously. Compared with salt-stressed alfalfa seedlings, the seedlings treated with melatonin and ethephon simultaneously showed increased plant height, leaf area, and fresh weight (by 54.1%, 76.8%, and 32.1%, respectively); increased tissue water content and chlorophyll content (by 46.2% and 47.8%, respectively); decreased relative conductivity and malondialdehyde content (by 23.5% and 39.7%, respectively); decreased hydrogen peroxide and superoxide anion contents (by 42.7% and 63.8%, respectively); increased activities of superoxide dismutase, peroxidase, catalase, and ascorbate peroxidase (by 54.1%, 54.1%, 59.1%, and 62.0%, respectively); higher reduced glutathione content (by 32.8%); increased proline and soluble sugar contents (by 42.2% and 27.2%), a higher potassium ion∶sodium ion (by 217.5%), and increased contents of endogenous melatonin and ethylene (by 60.0% and 10.6%, respectively). These comprehensive analyses showed that exogenous application of melatonin and ethylene significantly reduced the levels of membrane peroxidation and reactive oxygen species in alfalfa, increased the activity of antioxidant enzymes and the contents of osmoregulatory substances, regulated the ionic balance, and increased the contents of endogenous hormones. Together, these changes improved the salt tolerance of alfalfa seedlings. Thus, melatonin and ethylene treatments can improve the growth of alfalfa seedlings under salt stress.

Graphical abstract

关键词

紫花苜蓿 / 盐胁迫 / 褪黑素 / 乙烯 / 生理响应

Key words

Medicago sativa / salt stress / melatonin / ethylene / physiological response

引用本文

引用格式 ▾
蔡文祺,李淑霞,王晓彤,宋文学,麻旭霞,马小梅,李小红,代昕瑶. 外源褪黑素与乙烯交互对盐胁迫下紫花苜蓿幼苗生长和生理特性的影响[J]. 草业学报, 2025, 34(01): 80-93 DOI:10.11686/cyxb2024093

登录浏览全文

4963

注册一个新账户 忘记密码

紫花苜蓿(Medicago sativa)是一种多年生豆科牧草1,具有适应性广、抗逆能力强、产量高、适口性好、粗蛋白含量高等优点,被誉为“牧草之王”2,在国内外得到广泛关注。我国的紫花苜蓿主要在北方干旱与半干旱地区大规模种植,以满足牲畜牧草和饲料市场的需求,因此紫花苜蓿的栽培具有很高的农业、经济、环境和生态价值3。近年来我国苜蓿种植区盐碱化严重,会引起苜蓿生理干旱,也会导致其根系死亡,是造成我国苜蓿产量低的主要原因。研究表明,盐胁迫是影响紫花苜蓿生长发育的主要环境因子之一,其产生的负面影响是多方面的,包括影响苜蓿的水分和营养吸收、离子平衡、光合作用以及生长发育等4。土壤中较高的含盐量会破坏渗透压平衡,导致植物吸水困难,同时也会产生离子拮抗效应,干扰植物体内的离子动态平衡以造成营养缺失,导致植株严重畸形甚至致死,进而降低其产量和品质5。因此,研究快速缓解紫花苜蓿盐胁迫损伤的方法并揭示其调控机理至关重要。
褪黑素(melatonin,MT)是一种生物刺激因子,属于吲哚杂环类化合物,最初存在于维管植物中。褪黑素作为一种重要的植物激素,参与了多种生长和发育过程。其主要功能是作为一种抗氧化分子,通过减少植物体内活性氧(active oxygen, ROS)和活性氮(active nitrogen, RNS)含量以及调控相关基因的表达,减缓氧化胁迫造成的损害并增强植物的抗逆性1。迄今为止,许多研究表明,采用褪黑素浸种可提高植物的抗逆性,改善植物水分状况,显著缓解高盐胁迫下紫花苜蓿钠钾离子失衡造成的损伤6。然而,关于褪黑素在盐胁迫条件下的详细作用机制仍存在许多未解之谜。乙烯(ethylene,ET)是植物中另一种重要的激素,与许多生长、发育过程和逆境应答密切相关。在盐胁迫条件下,乙烯参与植物的适应性反应,包括调控根系生长、提高抗氧化能力等7。研究发现,盐胁迫条件下,施加外源乙烯利(ethephon,ETH)可提高荞麦(Fagopyrum esculentum)的超氧化物歧化酶(superoxide dismutase,SOD)活性,增加净光合速率,抑制膜通透性,增加丙二醛(malondialdehyde,MDA)含量,从而提高植物的耐盐性8
虽然外源褪黑素和乙烯单独处理在提高植物抗逆性上的研究已有不少报道9,但有关褪黑素和乙烯交互处理对紫花苜蓿幼苗在盐胁迫下生长和生理特性的影响及调控机制方面的研究尚未见报道。因此,本研究通过叶面喷施褪黑素和乙烯,探究了外源褪黑素和乙烯对盐胁迫下紫花苜蓿幼苗生长和生理方面的影响,旨在揭示褪黑素和乙烯交互调控紫花苜蓿幼苗耐盐性的机制。

1 材料与方法

1.1 试验材料

试验所用“中苜一号”紫花苜蓿种子由宁夏大学林业与草业学院实验室保存,褪黑素和乙烯利试剂购自Sigma试剂公司。

1.2 试验设计

试验于2022年5月-2023年7月在宁夏大学林业与草业学院科技楼牧草抗逆栽培实验室进行。紫花苜蓿种子依次用75%酒精和5%次氯酸钠溶液消毒,用蒸馏水冲洗数次后置于铺有两层滤纸的培养皿中,加入4 mL蒸馏水后放于4 ℃冰箱春化2 d。更换滤纸后将培养皿移放至培养条件为温度25 ℃,湿度60%~70%,光照/黑暗周期16 h/8 h,光照强度160 μmol·m-2·s-1的培养间进行发芽,生长至2 cm左右时移栽到蛭石中继续培养,培养两周后开始处理。

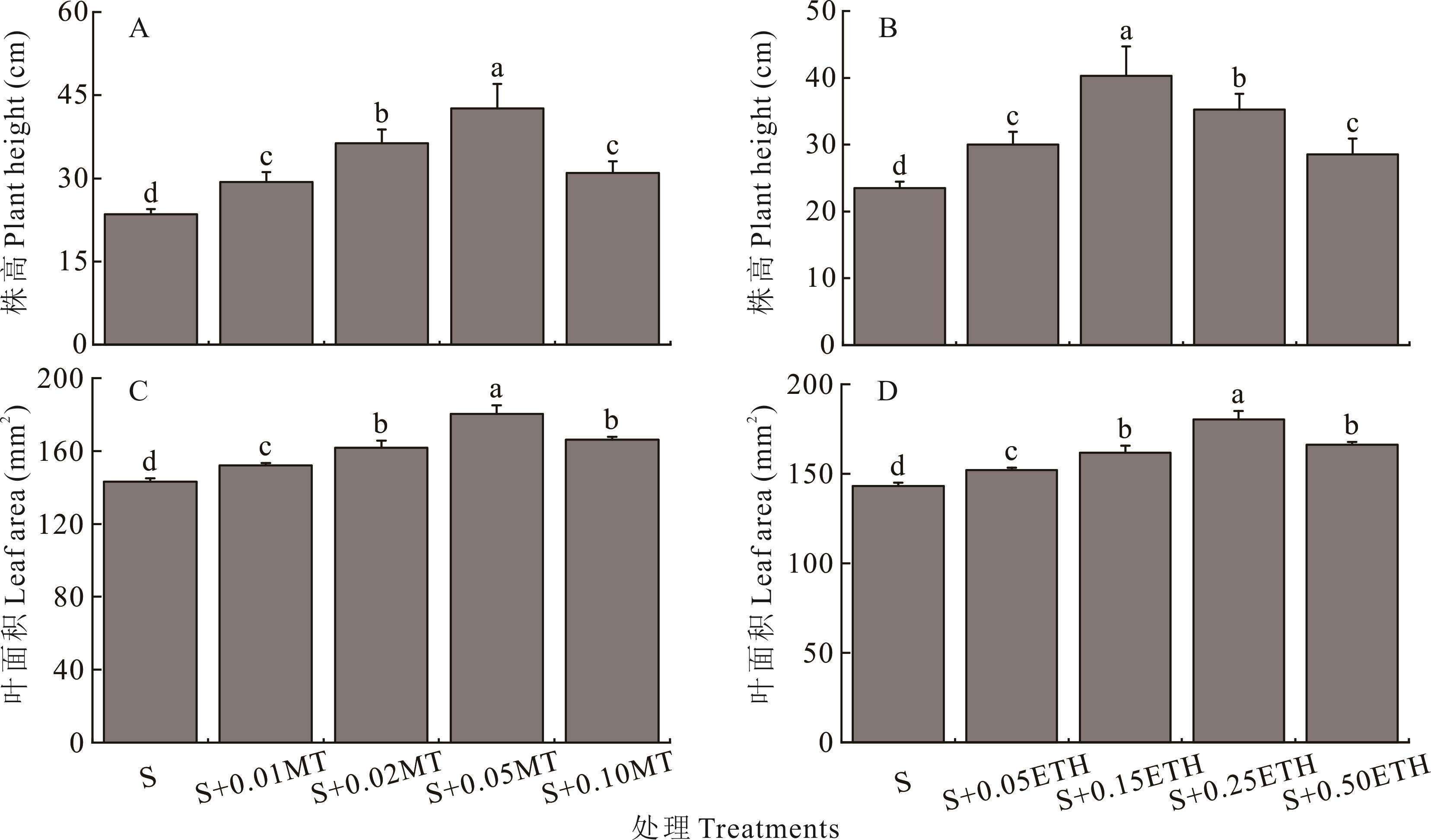
试验一:本试验首先设置9个处理组,分别为:盐处理组S(250 mmol·L-1 NaCl);S+0.01MT(250 mmol·L-1 NaCl+0.01 mmol·L-1 MT);S+0.02MT(250 mmol·L-1 NaCl+0.02 mmol·L-1 MT);S+0.05MT(250 mmol·L-1 NaCl+0.05 mmol·L-1 MT);S+0.10MT(250 mmol·L-1 NaCl+0.10 mmol·L-1 MT);S+0.05ETH(250 mmol·L-1 NaCl+0.05 mmol·L-1 ETH);S+0.15ETH(250 mmol·L-1 NaCl+0.15 mmol·L-1 ETH);S+0.25ETH(250 mmol·L-1 NaCl+0.25 mmol·L-1 ETH);S+0.50ETH(250 mmol·L-1 NaCl+0.50 mmol·L-1 ETH),每个处理重复3次,通过测定其株高、叶面积、鲜重、相对电导率和光合色素含量等,重复3次试验结果稳定,确定0.05 mmol·L-1褪黑素和0.15 mmol·L-1乙烯利为处理紫花苜蓿幼苗的最适浓度。

试验二:按照试验一的方式培养幼苗后,对幼苗叶面喷施最适浓度的褪黑素和乙烯利进行处理。本试验设置5个处理组,分别为:对照组(CK)、盐处理组(S)、盐和褪黑素处理组(S+MT)、盐和乙烯利处理组(S+ETH)、盐、褪黑素和乙烯利交互处理组(S+MT+ETH),每个处理组重复3次,于每天晚上8:00进行叶面喷施,CK和S组喷施蒸馏水作对照,S+MT、S+ETH、S+MT+ETH处理组则喷施对应激素。为避免过度盐胁迫使紫花苜蓿幼苗产生应激反应,随每次浇灌培养液,盐浓度按每次增加50 mmol·L-1直至递增到250 mmol·L-1,每3 d浇一次培养液。处理14 d后进行各项生长和生理指标的测定。

1.3 生长指标测定

每个处理随机选取3株幼苗,用直尺测量高度;剪取幼苗的地上部分称其鲜重后,在80 ℃下烘干至恒重,称其干重。随机选取幼苗植株相同部位的叶片,使用扫描式叶面积测定仪AM350(德国)测量叶面积。

1.4 生理指标测定

组织含水量采用烘干法测定,参考林玉红10的方法;幼苗叶片叶绿素含量采用SPAD-502叶绿素仪(日本)测定;采用乙醇提取法6测定类胡萝卜素含量。相对电导率参考赵芳梦11的方法测定;丙二醛含量通过含量检测试剂盒(BC0020)测定;脯氨酸(proline,Pro)含量通过其检测试剂盒(BC0290)测定;为了测定Na+、K+含量,用超纯水冲洗干净植物组织,105 ℃杀青10 min,80 ℃烘样48 h,然后磨碎样品并称取20~50 mg (干重) 加入5 mL醋酸消解,沸水浴1 h,样品冷却至室温后,15000 r·min-1离心,15 min,然后将上清液用超纯水稀释至20 mL,采用FP640火焰光度计(上海)测定样品中的Na+、K+含量。可溶性糖含量通过其植物检测试剂盒(BC0030)测定;过氧化氢(hydrogen peroxide,H2O2)和超氧阴离子(superoxide anion, O2-)含量采用检测试剂盒(BC3590,BC1290)测定,并进行H2O2、O2-组织化学检测,针对H2O2的组织化学检测,新鲜苜蓿叶片用蒸馏水冲洗后,浸泡在1 mg·mL-1 3,3-二氨基联苯胺四盐酸盐(3,3-N-diaminobenzidine tetrahydrochloride, DAB,pH 3.8)避光8 h。去除染料溶液后,用95%(v/v)乙醇煮沸20 min,拍照。针对O2-的组织化学测定,用蒸馏水冲洗每个处理的新鲜苜蓿叶片后将其置于含0.1%(w/v)氮蓝四唑(nitro-blue tetrazolium, NBT, pH 7.8)的50 mL塑料离心管中6 h。去除染料溶液后,用蒸馏水冲洗叶片,加入95%乙醇后在沸水浴中煮沸20 min并拍照。为保证染色充分,可在苜蓿叶片浸泡于染液后,抽取真空。超氧化物歧化酶、过氧化物酶(peroxidase,POD)、过氧化氢酶(catalase,CAT)和抗坏血酸过氧化物酶(ascorbate peroxidase,APX)活性通过活性检测试剂盒(BC0170、BC0090、BC0200和BC0220)进行测定;还原性谷胱甘肽(reduced glutathione,GSH)、MT和ETH含量均用含量检测试剂盒(BC1170、MM-0848O1和MM-0888O2)测定。以上所用试剂盒均购买于北京索莱宝科技有限公司和江苏酶免实业有限公司。

1.5 数据分析

采用Excel 2020软件对数据进行统计分析,利用Origin 2021b软件进行方差分析和Turkey差异显著性检验(α=0.05),利用Origin 2021b软件作图和主成分分析。

2 结果与分析

2.1 最佳激素处理浓度的筛选

在盐胁迫条件(250 mmol·L-1 NaCl)下,紫花苜蓿幼苗经不同浓度的褪黑素 (0.01、0.02、0.05、0.10 mmol·L-1 MT)和乙烯利(0.05、0.15、0.25、0.50 mmol·L-1 ETH)处理后,其生长情况均比单独盐胁迫处理明显好转。激素处理后的植株高度较NaCl组显著增高,叶面积显著增加(P<0.05,图1);与NaCl组相比,植株鲜重在0.01~0.05 mmol·L-1 MT和0.05~0.25 mmol·L-1 ETH处理下显著增加,相对电导率显著降低(P<0.05,图2);光合色素含量发生明显变化,其中叶绿素含量在0.05~0.10 mmol·L-1 MT和0.15~0.25 mmol·L-1 ETH处理下较NaCl组显著增加,类胡萝卜素含量在0.02~0.10 mmol·L-1 MT和0.05~0.25 mmol·L-1 ETH处理下显著增加(图3)。不同激素浓度处理存在差异,施加0.05 mmol·L-1 MT和0.15 mmol·L-1 ETH的处理组显著优于其他处理,后续试验将选择这些浓度进行。

2.2 外源褪黑素和乙烯交互处理对盐胁迫下紫花苜蓿幼苗表型、株高、叶面积和鲜重的影响

施加褪黑素和乙烯显著影响了盐胁迫下紫花苜蓿幼苗的形态指标(图4)。与CK相比,S处理下幼苗的株高、叶面积和鲜重显著降低了41.1%、49.1%和32.7%(P<0.05)。与S相比,S+MT处理下紫花苜蓿幼苗的株高和叶面积显著升高了38.0%和41.8%;S+ETH处理下,则对应增加26.8%和40.0%。激素处理组均对盐胁迫有较好的缓解效果,其中以S+MT+ETH的缓解效果最佳,相较于S处理,该处理下幼苗的株高和叶面积分别显著升高了54.1%和76.8%,鲜重增加了32.1%。表明MT和ETH在改善盐胁迫下紫花苜蓿幼苗的形态指标方面存在协同关系。

2.3 外源褪黑素和乙烯交互处理对盐胁迫下紫花苜蓿幼苗组织含水量和叶绿素含量的影响

与CK相比,S处理下幼苗的组织含水量和叶绿素含量显著降低了35.1%和39.7%(P<0.05,图5)。与S相比,S+MT处理下紫花苜蓿幼苗的组织含水量和叶绿素含量显著升高了24.1%和34.7%;S+ETH处理则对应增加了33.0%和30.9%(P<0.05)。单独施加MT和ETH对盐胁迫下幼苗叶绿素含量的缓解效果接近,而单独施加ETH对盐胁迫下组织含水量的缓解效果接近交互处理组。相较于S处理,S+MT+ETH处理下紫花苜蓿幼苗的组织含水量和叶绿素含量分别显著升高了46.2%和47.8%(P<0.05),表明MT和ETH互作能显著提高紫花苜蓿幼苗在盐胁迫条件下的组织含水量和叶绿素含量。

2.4 外源褪黑素和乙烯交互处理对盐胁迫下紫花苜蓿幼苗细胞膜损伤和活性氧积累的影响

与CK相比,S处理下幼苗的相对电导率和丙二醛含量显著提升,分别增加了74.4%和103.5%(P<0.05,图6)。与S相比,S+MT处理下苜蓿幼苗的相对电导率和MDA含量显著降低了12.2%和28.7%;S+ETH处理下,则对应降低了10.7%和27.2%(P<0.05)。相对电导率在S+MT和S+ETH处理下无显著差异(P>0.05),但与CK、S和S+MT+ETH处理组差异显著(P<0.05),MDA含量在S+MT、S+ETH和S+MT+ETH处理间无显著差异(P>0.05),但较S处理组有显著差异(P<0.05)。相较于S处理,S+MT+ETH处理下紫花苜蓿幼苗的相对电导率和丙二醛含量分别显著减少了23.5%和39.7%(P<0.05)。以上结果表明,盐胁迫显著增加了紫花苜蓿细胞膜系统的通透性和膜脂过氧化程度,而外源褪黑素和乙烯的施加能有效缓解盐胁迫下细胞膜的损伤程度,褪黑素与乙烯交互处理的缓解效果最佳。

施加褪黑素和乙烯利显著减少了盐胁迫下紫花苜蓿幼苗的活性氧积累(图7)。S处理下幼苗的H2O2和O2-含量较CK组显著增加了152.9%和259.5%(P<0.05)。与S相比,S+MT处理下幼苗的H2O2和O2-含量显著降低了26.8%和31.4%;S+ETH处理下对应降低29.7%和49.9%;S+MT+ETH处理下幼苗的H2O2和O2-含量分别显著降低了42.7%和63.8%(P<0.05)。组织化学染色结果显示,CK叶片染色斑点极少,在盐胁迫下,叶片呈现出深色斑点,并连成薄片。外源施用MT、ETH和MT+ETH均明显降低了盐胁迫下叶片的着色程度。以上结果表明,MT和ETH能减少盐胁迫下紫花苜蓿幼苗ROS积累,且MT和ETH交互处理的幼苗ROS积累更少。

2.5 外源褪黑素和乙烯交互处理对盐胁迫下紫花苜蓿幼苗氧化清除能力和渗透调节物质含量的影响

与CK相比,S处理下幼苗的SOD、POD和APX活性分别显著增加了21.7%、45.5%和31.0%(P<0.05,图8)。施加外源激素后各种抗氧化酶活性进一步升高,SOD活性在S+MT、S+ETH和S+MT+ETH处理下较S处理分别显著提高了20.0%、22.7%和54.1%(P<0.05),施加单一激素处理组间无显著差异,同时施加两种激素较单一激素处理显著增加;POD活性则分别显著增加了31.4%、18.4%和54.1%,且前两组间无显著差异,交互组较其显著升高(P<0.05);CAT活性对应显著增加了19.6%、47.5%和59.1%,单独施加ETH与交互处理无显著差异(P>0.05),其对CAT活性的增加效果均显著优于单独施加MT处理。APX活性在S+MT、S+ETH和S+MT+ETH处理下较S处理显著提高了22.9%、31.2%和62.0%,前两组间无显著差异,交互处理组较单一激素处理显著升高。以上结果表明MT和ETH可协同促进盐胁迫下紫花苜蓿幼苗的抗氧化酶活性增加,优势效应明显。

施加褪黑素和乙烯利显著增加了盐胁迫下紫花苜蓿幼苗的抗氧化物质-GSH含量(图8)。与CK相比,S处理下幼苗的GSH含量显著增加了25.7%。GSH含量在S+MT、S+ETH和S+MT+ETH处理下与S处理间有显著差异(P<0.05),分别升高了15.0%、12.0%和32.8%,且激素交互处理较单独处理显著增加。上述结果表明,MT和ETH交互处理可以提高盐胁迫下苜蓿幼苗的GSH含量,增强植物的抗氧化能力。

与CK相比,S处理下幼苗的渗透调节物质-Pro和可溶性糖含量显著增加了96.5%和43.8%(P<0.05,图9)。盐胁迫条件下施加外源激素MT和ETH后,渗透调节物质含量继续增加,Pro含量在S+MT和S+MT+ETH处理下较S处理有显著差异,分别显著升高了21.5%和42.2%,S+ETH处理与S处理无显著差异,交互处理组较单独处理显著增加。可溶性糖含量在S+MT、S+ETH和S+MT+ETH处理间无显著差异,但较S处理分别显著增加了23.7%、30.6%和27.2%。表明外源施加两种激素可显著增加紫花苜蓿幼苗的渗透调节物质含量,增强其在盐胁迫下的渗透调节能力。

2.6 外源褪黑素和乙烯交互处理对盐胁迫下紫花苜蓿幼苗离子平衡与内源激素含量变化的影响

施加褪黑素和乙烯利显著影响了盐胁迫下紫花苜蓿幼苗的离子含量(表1)。与CK相比,S处理下幼苗的Na+含量显著增加了约3.0倍,Na+含量在S+MT、S+ETH和S+MT+ETH处理下分别较S处理显著减少了31.9%、35.0%和54.8%,其中S+MT和S+ETH处理间无显著差异(P>0.05),S+MT+ETH较前两者显著降低(P<0.05)。与CK相比,S处理下幼苗的K+含量显著减少了30.5%,K+含量在S+MT、S+ETH和S+MT+ETH处理下分别较S处理增加了11.7%、25.6%和36.9%。S+ETH处理的K+含量与S+MT和S+MT+ETH处理均无显著差异,而S+MT+ETH的K+含量较S+MT处理显著增多。与CK相比,S处理下幼苗的K+/Na+显著降低了82.0%,K+/Na+在S+MT、S+ETH和S+MT+ETH处理下,分别较S处理增大了47.5%、72.5%和217.5%,以S+MT+ETH处理与S处理差异尤为明显。以上结果表明,MT和ETH交互处理能够降低盐胁迫下紫花苜蓿植株中的Na+含量,提高K+含量,最终增大K+/Na+值。

在盐胁迫下紫花苜蓿幼苗的MT和ETH含量较CK组显著增加了44.0%和17.7%(P<0.05,图10)。S+ETH处理下幼苗的MT含量分别与S+MT和S+MT+ETH处理无显著差异,但S+MT+ETH较S+MT显著增加。S+MT、S+ETH和S+MT+ETH处理组的MT含量较S处理分别显著升高了25.9%、41.1%和60.0%。ETH含量在S+MT、S+ETH和S+MT+ETH处理间无显著差异,而 S+MT+ETH处理较S处理显著增加了10.6%。因此,外源施加MT和ETH能显著增加内源MT和ETH的含量。

2.7 外源褪黑素和乙烯交互处理对盐胁迫下紫花苜蓿幼苗的主成分分析

为了评估褪黑素和乙烯交互处理对盐胁迫的缓解作用,对各处理下幼苗的形态、生理和生化指标进行主成分分析(principal component analysis, PCA)。PCA提取的2个主要成分PC1和PC2分别为55.3%和38.0%,且CK与S处理在PC1中有明显区别,S与S+MT+ETH在PC1中差异明显,说明褪黑素和乙烯对盐胁迫下紫花苜蓿幼苗具有显著影响(图11)。此外,SOD、POD、CAT、APX活性、GSH、可溶性糖、MT和ETH含量在PC1和PC2中呈高度正相关;株高、叶面积、组织含水量、叶绿素含量和K+/Na+呈高度正相关,但它们与相对电导率、MDA、H2O2和O2-含量等呈高度负相关。

3 讨论

盐胁迫是植物应对的重要非生物胁迫因子之一,盐分通过根系吸收,通常导致细胞膜结构和功能改变、细胞内离子平衡和氧化损伤以及正常生理代谢活动受损,从而抑制植物的正常生长发育12。外源施加激素可以有效降低盐胁迫对植物的伤害,增强植物的耐盐性。褪黑素是一种有效的抗氧化分子,能够减轻植物膜脂损伤和渗透失衡,同时增强抗氧化系统活性,提高植物耐盐性13。乙烯是一种气态植物激素,通过提高抗氧化系统酶活性,减少有害物质积累提高植物的耐盐性14。植物的形态能够直接反映它在逆境胁迫下的生长状况,本研究表明,施加外源MT和ETH能够显著增加盐胁迫下紫花苜蓿幼苗的株高、叶面积和鲜重等形态指标以及组织含水量和叶绿素含量等生理和光合指标,这与赵东豪15在紫花苜蓿耐盐性方面的研究和王月16关于乙烯和紫花苜蓿的研究结果一致,两组激素交互处理的增加效果更为显著,可见,MT与ETH均可增强植物的耐盐性,且两者存在互作效应。

光合色素是植物进行光合作用最基础的物质,其中叶绿素不仅是参与光合作用的重要物质,也是反映植物抗逆能力的重要指标17。本研究中,紫花苜蓿幼苗叶片中叶绿素含量在盐胁迫下显著降低,说明盐胁迫加速叶绿素降解,降低光合作用强度以阻碍物质的积累。马媛媛等18研究发现,褪黑素可增加盐胁迫下草莓(Fragaria ananassa)的叶绿素含量;王月等3研究发现,外源添加乙烯显著增加了盐胁迫下苜蓿叶片的叶绿素含量。本研究发现,外源喷施适宜浓度的褪黑素和乙烯利后,紫花苜蓿幼苗的叶绿素含量显著提高,尤其是交互处理组,说明褪黑素和乙烯利可以协同减缓植物叶片内叶绿素的降解,维持叶绿素含量,增强紫花苜蓿幼苗光合作用的强度。含水量是植物水分状况的重要指标,组织含水量会影响植物生长状况,反映植物对盐胁迫的生理抗旱水平。已有研究表明,盐胁迫显著降低植物幼苗中的组织含水量19。本研究中,盐胁迫使紫花苜蓿叶片组织含水量显著降低,而施加外源激素后组织含水量有所上升。李本峰等20研究发现褪黑素浸种可以提高多年生黑麦草(Lolium perenne)的组织含水量,李进超等21研究发现外源施加乙烯可增强植物的保水能力,提高组织含水量,本研究结果与其一致。盐胁迫下同时施加褪黑素和乙烯利能保持更高的组织含水量,说明两种激素之间可能存在协同作用,使得盐胁迫下植物组织含水量的降幅减小,抵御盐胁迫引发的生理干旱,增强植物的耐盐性。

ROS是高等植物有氧代谢过程中产生的一类含氧物质,化学性质活跃、氧化能力极强。在正常情况下,植物细胞中ROS的产生和清除处于动态平衡之中,但当植物遭受逆境胁迫时,ROS的代谢会发生紊乱,细胞内会积累大量的ROS,引起细胞膜透性增大,严重时导致细胞死亡22。本研究发现,经盐胁迫处理后,植物体内H2O2和O2-含量显著增加,这与以往研究结果一致。施加外源激素MT和ETH后,H2O2和O2-含量显著下降,交互处理组下降最多。王晶等23在沙芦草(Agropyron mongolicum)的研究中发现,褪黑素可以降低植物体内活性氧含量,增强抗氧化能力。当活性氧的产生超过阈值,会导致膜脂过氧化并产生MDA,MDA含量的多少是评估植物氧化应激水平的重要指标。已有研究表明,盐胁迫使细胞膜受损,增大膜透性24。本研究结果表明,盐胁迫条件下紫花苜蓿幼苗的相对电导率和MDA含量显著提高,施加外源激素后显著下降,两种激素交互处理较单独处理下降更多。这表明,随着活性氧基团含量的减少,细胞膜脂过氧化程度降低,MDA含量也相应减少。这与高立杨等25认为褪黑素可降低盐胁迫下垂丝海棠(Malus halliana)相对电导率的研究结果一致。本研究进一步证实,外源MT和ETH的交互作用能更有效地降低紫花苜蓿幼苗的膜脂过氧化程度,减少MDA的积累,显著减少H2O2和O2-进入细胞,增强植株的抗氧化能力。

活性氧的积累会对植物造成氧化损伤,植物由此进化出了一套抗氧化系统,一定范围内抵御逆境,维持正常的生命活动,包括抗氧化酶(SOD、POD、CAT、APX等)和抗氧化物质[抗坏血酸(ascorbic acid,AsA)、GSH等],其中抗氧化酶可维持活性氧和自由基产生与清除之间的平衡26,抗氧化物质通过参与抗坏血酸-谷胱甘肽循环可以抑制膜脂过氧化和清除自由基27。研究发现,盐胁迫条件下,植物体内的抗氧化酶活性明显提高28,GSH含量显著下降29。本研究结果与其一致,盐胁迫下叶片中的SOD、POD、CAT、APX的活性明显增加,表明盐胁迫刺激植物体内抗氧化酶活性升高以应对逆境。叶面喷施褪黑素和乙烯利后,抗氧化酶的活性持续上升,GSH含量显著增多,这可能是由于活性氧在植物体内大量堆积,促使抗氧化系统产生了大量抗氧化酶来清除活性氧,说明褪黑素和乙烯利能够刺激抗氧化系统应对盐胁迫,有效清除细胞内过氧化物,缓解植物体内谷胱甘肽压力,还原活性氧基团,减轻氧化损伤,本试验结果与李晨智宇30对盐胁迫下苹果(Malus pumila)幼苗进行褪黑素处理后的结果一致。ROS的过度增加也会导致植物细胞膜渗透性发生改变,电解质等物质外渗从而破坏细胞的渗透平衡。为了缓解该现象,植物通过产生渗透调节物质,如脯氨酸和可溶性糖等进行自我调节。脯氨酸作为一种重要的渗透调节物质,可以调节氧化还原电位,保护大分子不被羟基自由基变性和清除,提高细胞渗透调节能力31。可溶性糖是植物细胞碳水化合物代谢的关键物质,在组织和器官的构建中发挥重要作用,其含量与植物的抗逆能力成正比31。本研究发现,盐胁迫下紫花苜蓿幼苗叶片中的脯氨酸和可溶性糖含量显著增加,表明幼苗通过产生渗透调节物质来抵御盐胁迫的损伤。已有研究表明,褪黑素处理可增加植物的脯氨酸积累以减轻其受损程度32,乙烯提高西葫芦(Cucurbita pepo)对盐胁迫的耐受性与较高的可溶性渗透调节物质有关33,本研究结果与其一致,叶面喷施褪黑素和乙烯利后,苜蓿幼苗的脯氨酸和可溶性糖含量继续增加,说明褪黑素和乙烯利能协同促进植物产生渗透调节物质,提高渗透调节能力,最终增强幼苗对盐胁迫的耐受性。

离子动态平衡在植物耐盐胁迫中发挥重要的作用。维持离子动态平衡,尤其是相对较高的K+/Na+,在植物抵抗盐胁迫的过程中起着至关重要的作用。K+参与了酶的活化、蛋白质的合成、渗透调节、光合作用等生理过程,是植物体内的必需元素。盐胁迫下,Na+的增多会占据钠钾离子通道蛋白,从而抑制植物对K+的吸收,对植物生长发育和生理代谢造成不利影响34。本试验发现,盐胁迫下苜蓿幼苗细胞中K+/Na+显著降低,说明盐胁迫破坏了紫花苜蓿幼苗的离子平衡。施加MT、ETH和MT+ETH后,紫花苜蓿细胞中Na+含量显著降低,K+含量显著升高,K+/Na+增大,表明外源MT和ETH通过减少植株对Na+的吸收,增加K+含量,从而缓解盐胁迫对植物造成的离子毒害。这一发现与Sun等35在转基因苹果(Malus hupehensis)上的研究结果一致,说明外源激素可以显著缓解盐胁迫造成的离子失衡。

植物激素是指植物通过自身代谢、在低浓度下产生明显生理效应的有机信号分子。非生物胁迫能够诱导植物内源激素MT和ETH的积累14。本试验结果显示,当紫花苜蓿幼苗遭受盐胁迫时,植株的内源MT和ETH含量都有所增加,说明MT和ETH作为有效的自由基清除剂,可减少植物在胁迫下产生的活性氧积累,并减少由此引起的氧化应激反应,最终提高植株的抗逆性36。卫宏健等31研究表明外源褪黑素显著提高了多年生黑麦草根系的内源MT含量,胡潇37研究发现外源乙烯利能促进果实内源乙烯的合成和释放,本研究进一步证实了以上结论。与盐胁迫相比,叶面喷施MT和ETH引起植株内源MT和ETH含量的增加,说明施加外源MT和ETH加速了植株内源MT和ETH的代谢和运转,提高了紫花苜蓿幼苗对盐胁迫的抗性。

4 结论

外源施加褪黑素和乙烯利可以缓解盐胁迫对紫花苜蓿幼苗的生长抑制和损伤,主要通过提高植物组织含水量、叶绿素含量、抗氧化酶活性和渗透调节物质含量以降低活性氧的积累和细胞膜脂过氧化程度,并通过调控植物细胞离子动态平衡和内源激素含量来提高紫花苜蓿的耐盐性,其中两种激素在提高紫花苜蓿幼苗的耐盐性方面存在互作关系,优势效应明显。

参考文献

[1]

Zhao L J, Ma D M, Wang W J, et al. Effect of exogenous melatonin on antioxidant capacity and photosynthetic efficiency of alfalfa seedlings under salt stress. Acta Botanica Boreali-Occidentalia Sinica, 2021, 41(8): 1355-1363.

[2]

赵丽娟, 麻冬梅, 王文静, 外源褪黑素对盐胁迫下紫花苜蓿幼苗抗氧化能力以及光合作用效率的影响. 西北植物学报, 2021, 41(8): 1355-1363.

[3]

Yu H R, Jia Y S, Jia P F, et al. Comprehensive evaluation of growth, yield and quality of alfalfa in different saline-alkali soil. Chinese Journal of Grassland, 2019, 41(4): 143-149.

[4]

于浩然, 贾玉山, 贾鹏飞, 不同盐碱度对紫花苜蓿产量及品质的影响. 中国草地学报, 2019, 41(4): 143-149.

[5]

Wang Y, Yu R N, Ma X S, et al. Effects of ethylene on seed germination and seedling growth under salt stress in Medicago sativa. Journal of Inner Mongolia University (Natural Science Edition), 2021, 52(1): 59-69.

[6]

王月, 于若男, 马雪松, 乙烯对盐胁迫下紫花苜蓿种子萌发和幼苗生长的影响. 内蒙古大学学报(自然科学版), 2021, 52(1): 59-69.

[7]

Zhang L S, Sun Y G, Ji J Q, et al. Flavonol synthase gene MsFLS13 regulates saline-alkali stress tolerance in alfalfa. The Crop Journal, 2023, 11(4): 1218-1229.

[8]

Jin M Y, Li X H, Li F Z, et al. Effects of mixed saline-alkali stress on germination of rice. Chinese Journal of Eco-Agriculture, 2020, 28(4): 566-574.

[9]

金梦野, 李小华, 李昉泽, 盐碱复合胁迫对水稻种子发芽的影响. 中国生态农业学报, 2020, 28(4): 566-574.

[10]

Tan Y, Yin H. Effects of root application of an arbuscular mycorrhizal fungus and melatonin on the growth, photosynthetic characteristics, and antioxidant system of Medicago sativa under salt stress. Acta Prataculturae Sinica, 2024, 33(6): 64-75.

[11]

谭英, 尹豪. 盐胁迫下根施AMF和褪黑素对紫花苜蓿生长、光合特征以及抗氧化系统的影响. 草业学报, 2024, 33(6): 64-75.

[12]

Feng L C, Li Q, Zhou D Q, et al. B. subtilis CNBG-PGPR-1 induces methionine to regulate ethylene pathway and ROS scavenging for improving salt tolerance of tomato. The Plant Journal, 2023, 117(1): 193-211.

[13]

Yang H B, Yang S P. Effects of ABA and ethephon on salt tolerance of buckwheat seedlings. Journal of Jilin Agricultural Sciences, 2014, 39(1): 13-15, 29.

[14]

杨洪兵, 杨世平. ABA和乙烯利对荞麦幼苗耐盐性的效应. 吉林农业科学, 2014, 39(1): 13-15, 29.

[15]

Yuan R M, Peng J, Wang J A, et al. Melatonin regulates salicylic acid and ethylene metabolism to maintain shaguo quality during storage. Journal of Nuclear Agricultural Sciences, 2023, 37(9): 1798-1805.

[16]

袁瑞敏, 彭静, 王佳傲, 褪黑素调控水杨酸和乙烯代谢维持沙果贮藏品质. 核农学报, 2023, 37(9): 1798-1805.

[17]

Lin Y H. Study on the growth, accumulation and distribution of nitrogen, phosphorus and potassium nutrients in Lanzhou edible lily. Gansu Agricultural Science and Technology, 2019(12): 8-18.

[18]

林玉红. 兰州食用百合生长发育及氮磷钾素养分吸收累积与分配规律研究. 甘肃农业科技, 2019(12): 8-18.

[19]

Zhao F M. The mechanism of RhELIP3 and RhHY5 improving leaf freezing tolerance in the evergreen azalea. Hangzhou: Zhejiang University, 2023.

[20]

赵芳梦. 常绿杜鹃花RhELIP3RhHY5提高叶片耐寒性的机制研究. 杭州: 浙江大学, 2023.

[21]

Zhou H P, Shi H F, Yang Y Q, et al. Insights into plant salt stress signaling and tolerance. Journal of Genetics and Genomics, 2023, 51(1): 16-34.

[22]

Michard E, Simon A A. Melatonin’s antioxidant properties protect plants under salt stress. Plant, Cell & Environment, 2020, 43(11): 2587-2590.

[23]

Waadt R, Seller C A, Hsu P, et al. Plant hormone regulation of abiotic stress responses. Nature Reviews Microbiology, 2022, 23(10): 680-694.

[24]

Zhao D H. Effects of exogenous abscisic acid and melatonin on physiological characteristics of alfalfa under salt stress. Yangling: Northwest A & F University, 2023.

[25]

赵东豪. 外源脱落酸和褪黑素对盐胁迫下紫花苜蓿生理特性的影响. 杨凌: 西北农林科技大学, 2023.

[26]

Wang Y. Effects of ethylene on Madicago sativa L. seed germination and seedling growth under salt stress and investigation on the mechanism. Hohhot: Inner Mongolia University, 2019.

[27]

王月. 乙烯对盐胁迫下紫花苜蓿种子萌发和幼苗生长的影响及其机制的研究. 呼和浩特: 内蒙古大学, 2019.

[28]

Xia J, Nan L L, Chen J, et al. Effects of low phosphorus stress on photosynthetic and chlorophyll fluorescence characteristics of alfalfa with different root types. Agricultural Research in the Arid Areas, 2024, 42(1): 169-176.

[29]

夏静, 南丽丽, 陈洁, 低磷胁迫对不同根型苜蓿光合及叶绿素荧光特性的影响. 干旱地区农业研究, 2024, 42(1): 169-176.

[30]

Ma Y Y, Li G, He W, et al. Mitigating effects of exogenous melatonin on the physiological characteristics of strawberry seedlings under NaCl stress. Xinjiang Agricultural Sciences, 2023, 60(10): 2486-2495.

[31]

马媛媛, 李刚, 何旺, 外源褪黑素对NaCl胁迫下草莓幼苗生理特性的缓解效应. 新疆农业科学, 2023, 60(10): 2486-2495.

[32]

Sun H R, Sun M. Study on physiological response and salt tolerance of different parthenocissus plants. Journal of Zhongzhou University, 2019, 36(5): 114-118.

[33]

孙浩冉, 孙淼. 盐胁迫下不同地锦属植物的生理响应及耐盐性研究. 中州大学学报, 2019, 36(5): 114-118.

[34]

Li B F, Du H M. The effects of melation seed soak on growth of perennial ryegrass (Lolium perenne). Journal of Shanghai Jiao Tong University, 2018, 36(4): 30-34, 40.

[35]

李本峰, 杜红梅. 褪黑素浸种对多年生黑麦草种子发芽和幼苗生长的初步研究. 上海交通大学学报, 2018, 36(4): 30-34, 40.

[36]

Li J C, Zhang Z W, Zhang J H, et al. The effect of spraying ethephon on low temperature stress in Zoysia japonica. Pratacultural Science, 2023, 40(12): 3000-3008.

[37]

李进超, 张智韦, 张嘉航, 乙烯利对结缕草响应低温胁迫的作用. 草业科学, 2023, 40(12): 3000-3008.

[38]

Wang P T, Liu W C, Han C, et al. Reactive oxygen species: multidimensional regulators of plant adaptation to abiotic stress and development. Journal of Integrative Plant Biology, 2023, 66(3): 330-367.

[39]

Wang J, Fu B Z, Li S X, et al. Effects of exogenous melatonin on growth and physiological characteristics of Agropyron mongolicum seedlings under drought stress. Chinese Journal of Applied Ecology, 2023, 34(11): 2947-2957.

[40]

王晶, 伏兵哲, 李淑霞, 外源褪黑素对干旱胁迫下沙芦草幼苗生长和生理特性的影响. 应用生态学报, 2023, 34(11): 2947-2957.

[41]

Hou W J, Ma D M, Zhang L, et al. Modulation of salt tolerance in Echinochloa frumentacea by foliar spraying of epibrassinolide. Acta Botanica Boreali-Occidentalia Sinica, 2024, 44(4): 517-528.

[42]

侯汶君, 麻冬梅, 张玲, 叶面喷施表油菜素内酯对湖南稷子耐盐性的调控作用. 西北植物学报, 2024, 44(4): 517-528.

[43]

Gao L Y, Liu B, Zhang R, et al. Effects of different concentrations of melatonin on photosynthetic and physiological characteristics of Malus halliana Koehne under saline-alkali stress. Journal of Gansu Agricultural University, 2020, 55(2): 90-97.

[44]

高立杨, 刘兵, 张瑞, 褪黑素对盐碱复合胁迫下垂丝海棠光合及生理特性的影响. 甘肃农业大学学报, 2020, 55(2): 90-97.

[45]

Ma P T, Su S P, Li Y, et al. Effects of exogenous proline on osmotic adjustment and antioxidant enzymes in the leaves of Nitraria tangutorum under natural drought. Journal of Gansu Agricultural University, 2020, 55(4): 121-127, 136.

[46]

马鹏图, 苏世平, 李毅, 外源脯氨酸对自然干旱下白刺叶片渗透调节与抗氧化酶活性的影响. 甘肃农业大学学报, 2020, 55(4): 121-127, 136.

[47]

Wang Y, Hou Y Y, Ma Y Q, et al. Effect of glycine betaine treatment on chilling injury and ascorbic acid-glutathione cycle metabolism in peach fruit. Food Science, 2021, 42(13): 158-165.

[48]

王懿, 侯媛媛, 马钰晴, 甘氨酸甜菜碱处理对桃果实冷害及抗坏血酸-谷胱甘肽循环代谢的影响. 食品科学, 2021, 42(13): 158-165.

[49]

Wang X. The physiological response of the antioxidant system in Leymus chinensis to different alkali-saline stress. Changchun: Jilin University, 2015.

[50]

王鑫. 羊草抗氧化系统对盐碱胁迫的响应特征. 长春: 吉林大学, 2015.

[51]

Yan Z M, Sun J, Guo S R, et al. Effects of exogenous proline on the ascorbate-glutathione cycle in roots of Cucumis melo seedlings under salt stress. Plant Science Journal, 2014, 32(5): 502-508.

[52]

颜志明, 孙锦, 郭世荣, 外源脯氨酸对盐胁迫下甜瓜幼苗根系抗坏血酸-谷胱甘肽循环的影响. 植物科学学报, 2014, 32(5): 502-508.

[53]

Li C Z Y. Effects of exogenous melatonin and ascorbic acid on physiological characteristics of apple rootstock M9T337 under NaCl stress. Taian: Shandong Agricultural University, 2020.

[54]

李晨智宇. 外源褪黑素和抗坏血酸对NaCl胁迫下苹果砧木M9T337生理特性的影响. 泰安: 山东农业大学, 2020.

[55]

Wei H J, He W Y, Wang Y, et al. The effects of arbuscular mycorrhizal fungi and melatonin on the heat tolerance of perennial ryegrass. Acta Prataculturae Sinica, 2023, 32(12): 126-138.

[56]

卫宏健, 贺文员, 王越, 丛枝菌根真菌与褪黑素对多年生黑麦草耐热性的影响. 草业学报, 2023, 32(12): 126-138.

[57]

Ma X Y, Song C, Meng Y J, et al. Effects of exogenous melatonin on germination, antioxidant enzyme activity, and osmotic adjustment substance content of cotton seed under cadmium stress. Cotton Science, 2023, 35(4): 313-324.

[58]

马鑫颖, 宋晨, 孟妍君, 外源褪黑素对镉胁迫下棉花种子萌发、抗氧化酶活性及渗透调节物质含量的影响. 棉花学报, 2023, 35(4): 313-324.

[59]

Gustavo C, Jessica M I, Alicia G, et al. Involvement of ethylene receptors in the salt tolerance response of Cucurbita pepo. Horticulture Research, 2021, 8(1): 73.

[60]

Wu C G, Zhang M, Liang Y F, et al. Salt stress responses in foxtail millet: Physiological and molecular regulation. The Crop Journal, 2023, 11(4): 1011-1021.

[61]

Sun Z J, Li J Y, Guo D M, et al. Melatonin enhances KCl salinity tolerance by maintaining K+ homeostasis in Malus hupehensis. Plant Biotechnology Journal, 2023, 21(11): 2273-2290.

[62]

Bian F E, Xiao Q H, Hao G M, et al. Effects of root-applied melatonin on endogenous melatonin and chlorophyll fluorescence characteristics in grapevine under NaCl stress. Scientia Agricultura Sinica, 2018, 51(5): 952-963.

[63]

卞凤娥, 肖秋红, 郝桂梅, 根施褪黑素对NaCl胁迫下葡萄内源褪黑素及叶绿素荧光特性的影响. 中国农业科学, 2018, 51(5): 952-963.

[64]

Hu X. Study on the effect of ethylene on fruit abscission in Camellia oleifera. Changsha: Central South University of Forestry and Technology, 2021.

[65]

胡潇. 乙烯对油茶果实脱落的影响研究. 长沙: 中南林业科技大学, 2021.

基金资助

宁夏大学大学生创新创业训练计划项目(S202210749074)

宁夏自然科学基金(2022AAC03124)

宁夏自然科学基金(2023AAC05019)

AI Summary AI Mindmap
PDF (3682KB)

1278

访问

0

被引

详细

导航
相关文章

AI思维导图

/