川西北高寒草甸转为耕地对土壤微生物群落的影响

涂晓东 ,  崔俊芳 ,  况福虹 ,  李春培 ,  杜玖珍 ,  王红兰 ,  唐翔宇

草业学报 ›› 2025, Vol. 34 ›› Issue (02) : 54 -66.

PDF (4211KB)
草业学报 ›› 2025, Vol. 34 ›› Issue (02) : 54 -66. DOI: 10.11686/cyxb2024116
研究论文

川西北高寒草甸转为耕地对土壤微生物群落的影响

作者信息 +

Effects of conversion of alpine meadow to cultivated land on the soil microbial community in northwest Sichuan

Author information +
文章历史 +
PDF (4311K)

摘要

20世纪60年代在川西北若尔盖地区,大面积高寒草甸挖渠排水后开垦为耕地,后又用于唐古特大黄等道地药材种植,土地利用转化对土壤理化性质和微生物群落会产生重要影响。利用Illumina MiSeq测序技术,对比分析了若尔盖高寒草甸和唐古特大黄土壤0~60 cm土层微生物群落特征,探究土地利用变化对土壤理化性质和微生物群落的影响。结果表明,高寒草甸开垦为耕地后土壤饱和含水量、田间持水量和滞留含水量降低。不同深度唐古特大黄土壤pH值和全钾含量均显著高于草甸土壤,有机质含量在0~20 cm土层显著低于草甸土壤,碱解氮和总氮含量仅在土壤深度分别为0~20 cm和20~40 cm时显著降低。与草甸土壤相比,唐古特大黄土壤细菌多样性增加而真菌多样性降低,芽孢杆菌属相对丰度显著增加,有益真菌相对丰度降低,潜在有害真菌相对丰度增加。冗余分析结果表明,速效钾、有机质、有效磷、总氮是影响土壤微生物群落的主要养分因子。共现网络分析表明,草甸开垦转为耕地后土壤微生物群落复杂性降低,细菌形成了比真菌更复杂的共现网络。研究结果有助于深入了解川西北高寒草甸开垦后土壤理化性质和微生物群落变化,可为人工种植唐古特大黄的可持续性提供理论依据。

Abstract

In the 1960s, extensive tracts of alpine meadows in the Zoige region of northwestern Sichuan were drained and converted into cultivated land, later utilized for cultivating genuine medicinal materials (for example Rheum tanguticum). This change is significantly impacting soil physicochemical properties and microbial communities. Utilizing Illumina MiSeq sequencing technology, this study compares and analyzes the microbial community characteristics of the Zoige alpine meadows and soils used for R. tanguticum cultivation across soil depths of 0-60 cm. The effects of the land use change on soil physicochemical properties and microbial communities are investigated. Results indicate that the conversion of alpine meadow into cultivated land led to decrease in saturated moisture content, field capacity, and retention water content. The pH and total potassium content of soils used to grow R. tanguticum were significantly higher than meadow soil at several depths, while organic matter content was significantly lower in the 0-20 cm soil layer compared to meadow soil. Alkaline hydrolyzable nitrogen and total nitrogen content only significantly decreased at soil depths of 0-20 cm and 20-40 cm, respectively. Compared with meadow soil, R. tanguticum soil exhibited increased bacterial diversity and decreased fungal diversity. Cultivation of R. tanguticum significantly increased the abundance of Bacillus, reduced beneficial fungi, and increased potentially harmful fungi. Redundancy analysis highlighted available potassium, organic matter, available phosphorus, and total nitrogen as the main nutrient factors influencing soil microbial communities. Co-occurrence network analysis suggested that the conversion of meadow to cultivated land reduced the complexity of soil microbial communities, with bacteria forming more complex co-occurrence networks than fungi. The findings contribute significantly to the advanced understanding of the alterations in soil physicochemical properties and microbial communities following the reclamation of alpine meadows in Northwestern Sichuan, providing scientific data to assist in the formulation of sustainable management practices for R. tanguticum.

Graphical abstract

关键词

高寒草甸 / 微生物群落 / 土地利用变化 / 唐古特大黄

Key words

alpine meadows / microbial community / land use change / Rheum tanguticum

引用本文

引用格式 ▾
涂晓东,崔俊芳,况福虹,李春培,杜玖珍,王红兰,唐翔宇. 川西北高寒草甸转为耕地对土壤微生物群落的影响[J]. 草业学报, 2025, 34(02): 54-66 DOI:10.11686/cyxb2024116

登录浏览全文

4963

注册一个新账户 忘记密码

土地利用方式的改变常常伴随着土壤生态的变化,甚至引起土地退化。研究表明,草地表层土壤(0~10 cm)有机碳、全氮和微生物生物量随草地退耕呈下降趋势,真菌与细菌比显著降低1。草甸开垦为农田会减弱微生物对植物残体的转化作用,降低土壤有机质的积累2。若尔盖湿地地处青藏高原东北边缘,拥有中国面积最大的高寒泥炭沼泽。从20世纪60年代开始,由于排水开垦等原因,该区域湿地景观发生了明显的转变3。若尔盖县自2000-2019年,土地利用类型整体呈由湿地向草地,草地向林地、耕地等转变的趋势,其中草地面积减少了334.28 km2(5.25%),耕地面积增加了30.53 km2 (47.72%)4
唐古特大黄(Rheum tanguticum)作为川西北道地药材,其人工种植面积占若尔盖县中药材种植面积的80%以上5。种植大黄的土地多由草甸开垦而来,包括唐古特大黄在内的多种中药材通常需要种植多年以上方可成药,连续种植会对土壤理化性质和微生物群落产生一定影响。如党参(Codonopsis pilosula)连作后根际土壤有机碳、全磷、全氮和盐分等含量增加,而土壤pH值降低6。张敏等7研究发现连作光果甘草(Glycyrrhiza glabra)显著降低了土壤中有益真菌丰度而增加了病原真菌丰度,土壤微生物群落结构发生改变。随着连作年限增加,西洋参(Panax quinquefolium)土壤真菌多样性降低,属水平真菌优势菌群发生较大改变8。目前关于大黄研究多集中于其临床应用和主要药效成分9-11,大黄种植区特别是土地利用变化后土壤养分状况和微生物群落变化研究较少,高寒草甸转变成耕地连续种植大黄对土壤环境的影响及其机制尚不明确。
本研究通过采集高寒草甸和大黄种植区0~60 cm深度土壤样品,采用Illumina MiSeq测序技术,研究高寒草甸和唐古特大黄种植区土壤微生物群落结构的变化规律,结合土壤理化性质,阐明土地利用变化对土壤理化性质和微生物群落结构的影响,揭示高寒草甸开垦长期耕种土壤环境的演变规律,同时为唐古特大黄可持续生产提供科学帮助和指导作用。

1 材料与方法

1.1 研究区概况

研究区位于四川省阿坝藏族羌族自治州若尔盖县阿西镇团结村(33°43′58″N,103°09′25″E),海拔3200~3300 m,年平均降水量650 mm,年平均日照时数2400 h,属于高原寒带湿润季风气候,常年无夏。年平均气温1.1 ℃,无绝对无霜期。自然土壤类型主要为草甸土和草毡土等,以蒿草属、蓼属植物为主。本研究分别选取多年生高寒草甸(M)和唐古特大黄(T)各3块样地。草甸与唐古特大黄样地均属于阿坝州若尔盖贝格中药材合作专营社,唐古特大黄样地在1967年由草甸开垦而成,先后种植青稞(Hordeum vulgare var. coeleste)和唐古特大黄。唐古特大黄于2002年开始种植,种植5年后一次性采收。主要的田间管理包括种植前翻耕(深度约40 cm),穴栽唐古特大黄一年生幼苗,种植密度约45000 株·hm-2,种植后穴施堆腐羊粪(每穴约50 g),施用羊粪2250 kg·hm-2

1.2 样品采集

本研究土壤样品于2022年4月采集,分别在每个样地,各选取3个采样点采集土壤样品。每个采样点用对角线布点法设置3个重复,去除地表植被,在0~20 cm和20~40 cm处用环刀(高度5 cm,直径5 cm,体积100 cm3)取原状土样测定土壤容重。同时在0~20 cm、20~40 cm、40~60 cm深度分层采集土壤,剔除石头和可见根系后装于无菌袋中带回实验室,所有采样点共获得18个土壤样品。每个样品采集后立马分成2份:1份装于无菌离心管后置于液氮罐,用于土壤微生物群落结构多样性分析;另1份置于无菌袋中带回实验室,阴干,过2 mm筛用于土壤养分指标和颗粒组成测定。

1.3 土壤基本理化性质测定

采用环刀烘干法测定土壤容重,采用吸管法测定土壤颗粒组成,土壤颗粒粒级按照美国制土壤颗粒组成分组,分为3级:0.05~2.00 mm砂粒,0.002~0.050 mm粉粒和<0.002 mm黏粒12。土壤水力学特性采用压力膜仪(MANIFOLD#0700 SERIES, 美国)测定,压力膜仪设置吸力为-330 cm,-15000 cm H2O,分别对应田间持水量和滞留含水量13。土壤养分测定均采用常规分析方法,具体测定步骤参照鲍士旦14《土壤农化分析(第三版)》。采用电位计法测定土壤pH值(土水比1.0∶2.5),用外加热重铬酸钾氧化-容量法测定土壤有机质,碱解氮含量采用碱解扩散法测定,使用氢氧化钠熔融-钼锑抗比色法测定土壤全磷含量,使用碳酸氢钠浸提-钼锑抗比色法测定土壤速效磷含量,使用碱熔-火焰光度法测定土壤全钾含量,使用乙酸铵浸提-火焰光度法测定土壤速效钾含量,土壤全氮含量使用碳氮元素分析仪(vario TOC cube, Elementar, 德国)测定15

饱和含水量测定:将采集的环刀原状土壤样品置于平底盆内,注水至环刀上沿,静置12h使之饱和,此时环刀土壤中的非毛管孔隙和毛管孔隙都充满水分,称重。环刀内土壤样品105 ℃烘干至恒重。计算即可得到饱和含水量:

θs =M2-M1M1-M0×100%

式中:M0为环刀质量(g);M1为环刀加干土质量(g);M2为饱和环刀样的重量(g)。

大孔隙度由容重(BD)计算得到:大孔隙度=(1-BD2.65)×100%

1.4 土壤微生物群落测定与分析

根据E.Z.N.A.® soil 试剂盒(Omega Bio-tek, Norcross, GA, 美国)说明书进行土壤微生物DNA抽提。使用引物338F/806R(5′-ACTCCTACGGGAGGCAGCAG-3′/5′-GGACTACHVGGGTWTCTAAT-3′)对细菌基因V3~V4可变区进行PCR扩增,使用引物ITS1F/ITS2R(5′-CTTGGTCATTTAGAGGAAGTAA-3′/5′- GCTGCGTTCTTCATCGATGC-3′)对真菌基因ITS可变区进行PCR扩增16。PCR反应体系为:5×TransStart FastPfu 缓冲液4 μL,2.5 mmol·L-1 dNTPs 2 μL,上下游引物(5 µmol·L-1)各加0.8 μL,TransStart FastPfu DNA聚合酶0.4 μL,模板DNA 10 ng,补足至20 μL。扩增程序如下:95 ℃预变性3 min,27个循环(95 ℃变性 30 s,55 ℃退火30 s,72 ℃延伸30 s),然后72 ℃稳定延伸10 min。使用2%琼脂糖凝胶回收PCR产物,利用DNA凝胶回收纯化试剂盒(PCR Clean-Up Kit,中国逾华)进行回收产物纯化,并用Qubit 4.0(Thermo Fisher Scientific, 美国) 对回收产物进行检测定量。使用NEXTFLEX Rapid DNA-Seq Kit对纯化后的PCR产物进行建库。测序在Illumina PE300平台进行(上海美吉生物医药科技有限公司)。使用fastp(version 0.19.6)软件对双端原始测序序列进行质控,使用FLASH(version 1.2.11)软件进行拼接。使用UPARSE 7.1根据97%的相似度对质控拼接后的序列进行操作分类单元(operational taxonomic units,OTU)聚类。利用RDP classifier比对Silva 16S rRNA基因数据库(v138)进行OTU物种分类学注释。

1.5 数据分析

采用Excel 2021、SPSS 22.0软件对数据进行整理和统计分析,通过独立样本T检验、单因素方差分析(one-way ANOVA)和Duncan法进行显著性分析(α=0.05),采用R语言“Vegan”包计算微生物Alpha(α)多样性指数并进行主坐标分析(principal coordinate analysis,PCoA)和置换多元方差检验(permutational multivariate analysis of variance, PMANOVA),使用Canoco 5软件进行冗余分析(redundancy analysis,RDA),并进行蒙特卡洛置换检验,检验重复数为499。基于相对丰度前100的OTU,利用R 4.1.3软件(Hmisc、WGCNA包)计算相关数据,相互作用筛选阈值设置为P<0.01,|R|>0.417。用Gephi 0.10.1软件对共现网络进行可视化并计算共现网络拓扑属性,包括图密度、模块化、平均聚类系数和平均路径长度等,评估微生物网络的复杂性和稳定性18。使用R语言“ggplot2”包和Origin 2023b作图。

2 结果与分析

2.1 草甸开垦种植大黄对土壤理化特征的影响

草甸开垦种植大黄后,土壤物理性质发生明显变化(表1)。较草甸土壤,唐古特大黄土壤颗粒组成发生了显著变化,0~20 cm唐古特大黄土壤黏粒和粉粒含量分别增加了135.0%和17.6%,20~40 cm黏粒和粉粒含量分别增加了98.5%和26.0%;0~20 cm土壤饱和含水量、田间持水量和滞留含水量分别降低了32.6%、43.3%和19.4%,20~40 cm分别降低了32.6%、45.0%和30.9%。相比于草甸土壤,唐古特大黄土壤在不同土壤深度容重均较高,大孔隙度较低,土壤更加紧实。

表2可知,相比于草甸土壤,种植大黄显著增加了土壤pH值(P<0.05),3个深度分别增加了18.56%、16.54%和15.44%。草甸土壤有机质在0~20 cm土层中显著高于唐古特大黄土壤,在20~60 cm土层无显著差异。草甸土壤碱解氮和全氮含量分层更为明显而唐古特大黄土壤各深度无显著差异,仅在土壤深度分别为20~40 cm和0~20 cm时显著高于唐古特大黄土壤。有效磷和全磷含量在各个深度均表现为唐古特大黄土壤高于草甸土壤,且在20~60 cm处显著。草甸、唐古特大黄土壤速效钾和全钾含量表现出不同规律,各个深度唐古特大黄土壤全钾含量均显著高于草甸土壤,草甸土壤速效钾含量仅在0~20 cm处显著高于唐古特大黄土壤。

2.2 大黄连作对微生物群落组成与多样性的影响

对18个土壤样品进行测序获得的优化序列在97%序列相似度条件下聚类,细菌优化序列共获得6714个OTU,注释后得到43个门、136个纲、314个目、478个科、900个属、1986个种。真菌优化序列共获得3637个OTU,注释后得到17个门、61个纲、141个目、314个科、682个属、1096个种。

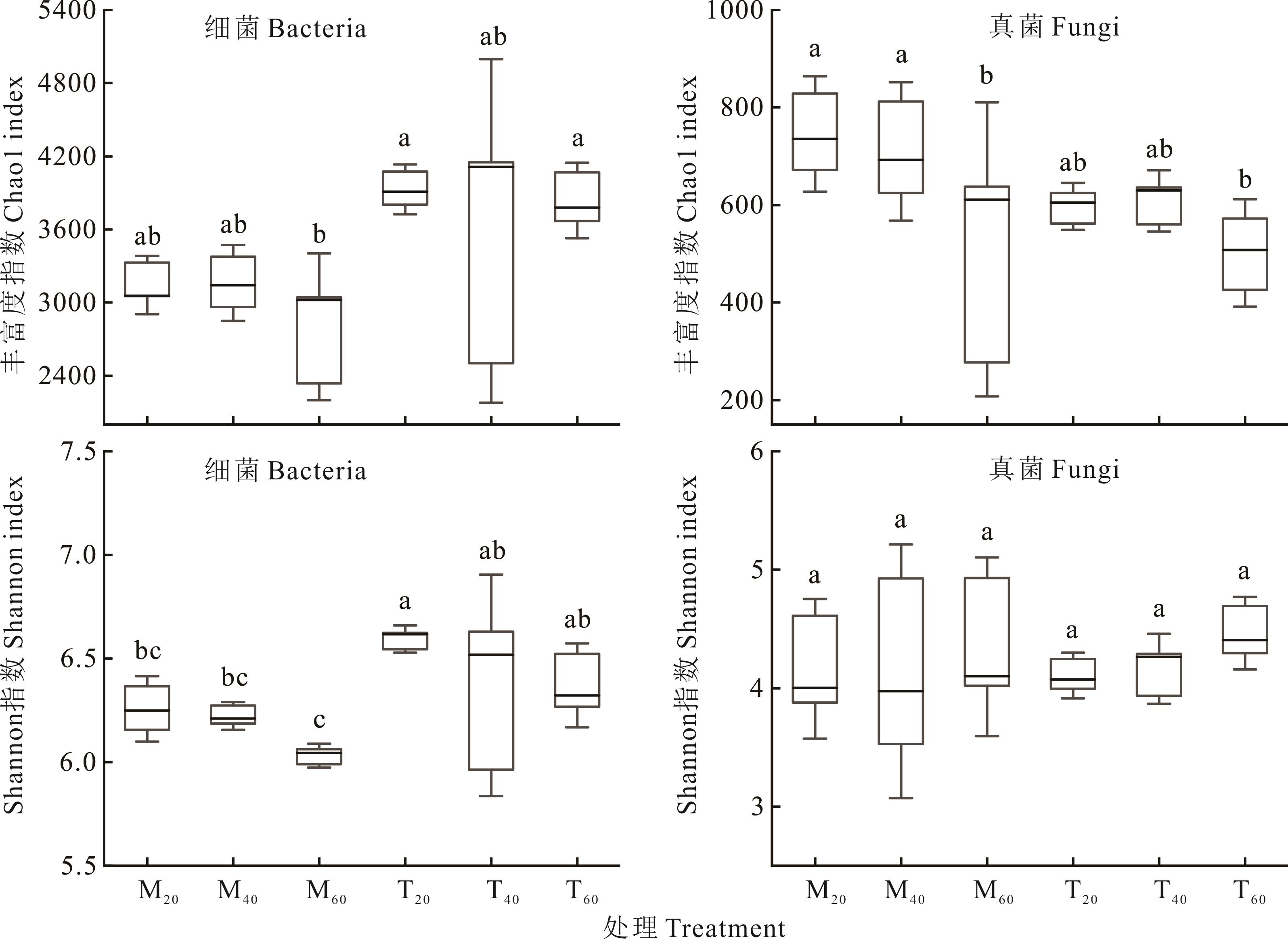
分别对微生物丰富度指数(Chao l指数)和多样性指数(Shannon指数)进行分析,唐古特大黄土壤细菌Chao 1指数仅在40~60 cm时显著高于草甸土壤(图1)。唐古特大黄土壤细菌Shannon指数在0~20 cm和40~60 cm显著高于草甸土壤,在20~40 cm处差异不显著。不同深度草甸土壤真菌Chao 1指数均高于唐古特大黄土壤但无显著差异,Shannon指数无显著差异。整体而言,草甸开垦种植大黄后土壤细菌α多样性增加而真菌α多样性降低。

基于 Bray-Curtis距离算法的主坐标分析(PCoA)表明,PCoA1和PCoA2轴分别解释了46.23%和16.46%的细菌群落组成差异(图2a),真菌群落PCoA1和PCoA2轴的解释率分别为41.46%和14.31%(图2b)。ANOSIM检验结果表明,草甸细菌(R2=0.689, P=0.001)、真菌(R2=0.546, P=0.001)群落与唐古特大黄土壤完全分开,说明草甸与唐古特大黄土壤微生物群落结构差异显著。

不同深度草甸和唐古特大黄土壤细菌相对丰度最高的10个门相同,分别为放线菌门(Actinobacteriota)、变形菌门(Proteobacteria)、酸杆菌门(Acidobacteriota)、绿弯菌门(Chloroflexi)、厚壁菌门(Firmicutes)、芽单胞菌门(Gemmatimonadota)、Methylomirabilota、疣微菌门(Verrucomicrobiota)、粘球菌门(Myxococcota)、拟杆菌门(Bacteroidota)。由图3a可知,3种深度草甸土壤中放线菌门、变形菌门和酸杆菌门为优势菌门,随着深度增加,放线菌门和变形菌门相对丰度逐渐降低,酸杆菌门相对丰度先升高后降低。唐古特大黄土壤优势菌门和草甸相同,随着深度增加,放线菌门相对丰度先减少后增加,变形菌门相对丰度先增加后减少。与草甸相比,唐古特大黄土壤各深度放线菌门和绿弯菌门相对丰度均更低而变形菌门相对丰度更高。

在属水平上,不同深度草甸和唐古特大黄土壤细菌相对丰度最高的10个属相同(图3b)。随着土壤深度增加,草甸和唐古特大黄土壤中前10位优势细菌总丰度逐渐升高,但群落结构仍以低丰度少数种为主。各深度唐古特大黄土壤中优势菌属总丰度均低于草甸土壤。唐古特大黄显著增加了土壤中芽孢杆菌属相对丰度(图3c),分别增加了13.21%(0~20 cm)、158.91%(20~40 cm)和76.13%(40~60 cm)。

不同深度草甸和唐古特大黄土壤真菌相对丰度最高的10个门相同,分别为子囊菌门(Ascomycota)、被孢霉门(Mortierellomycota)、担子菌门(Basidiomycota)、unclassified_k_Fungi、壶菌门(Chytridiomycota)、罗兹菌门(Rozellomycota)、油壶菌门(Olpidiomycota)、球囊菌门(Glomeromycota)、捕虫霉门(Zoopagomycota)、Calcarisporiellomycota。由图4a可知,3种深度草甸土壤中子囊菌门、被孢霉门和担子菌门为优势菌门。随着深度增加,被孢霉门和担子菌门相对丰度先升高后降低,而子囊菌门相对丰度先降低后升高。唐古特大黄土壤优势菌门和草甸相同。随着深度增加,子囊菌门和被孢霉门相对丰度逐渐降低,担子菌门相对丰度逐渐增加。与草甸相比,唐古特大黄土壤各深度子囊菌门相对丰度均更高而担子菌门相对丰度更低。

属水平分类结果显示,不同深度草甸和唐古特大黄土壤真菌相对丰度表现出较大差异(图4b)。草甸土壤丰度较高的真菌属为被孢霉属(Mortierella)、unclassified_p_Ascomycota属、湿伞菌属(Hygrocybe)。随着深度增加,湿伞菌属相对丰度从13.25%(0~20 cm)降低到2.43%(40~60 cm)。当自然草甸转变为唐古特大黄样地后,土壤真菌优势属变为被孢霉属(Mortierella)、赤霉菌属(Gibberella)、茎点霉属(Phoma),且随着深度增加,赤霉菌属相对丰度从12.99%(0~20 cm)降低到3.87%(40~60 cm)。总体而言,种植唐古特大黄后土壤真菌群落结构发生变化,在草甸土壤中属于优势属的湿伞菌属几乎未在唐古特大黄土壤中出现,赤霉菌属和茎点霉属在种植大黄土壤中逐渐变为优势菌属(图4c)。

2.3 微生物群落的共现性网络

微生物共现性网络分析结果显示,土壤微生物群落复杂性存在差异(表3)。草甸土壤细菌共现网络的边数、平均度、平均聚类系数分别为860、18.901、0.642,均高于唐古特大黄土壤。唐古特大黄土壤细菌共现网络的模块化系数和平均路径长度分别为0.504、3.804,均高于草甸土壤。草甸土壤和唐古特大黄土壤真菌共现网络拓扑性质与细菌类似。总体而言,相比于真菌共现网络,细菌形成了更复杂的共现网络(图5),草甸开垦种植大黄后微生物共现网络边数、平均度、平均聚类系数降低,但平均路径长度更高,模块化程度增加。网络节点占比与门水平群落组成一致。

2.4 土壤微生物群落与理化性质的相关性分析

为了进一步阐明土壤微生物与土壤养分的相互作用,对土壤细菌、真菌门丰度水平和养分含量及pH值进行了基于距离的冗余分析。由图6a可以看出,RDA1和RDA2分别可以解释58.39%和22.20%,共解释了草甸土壤细菌门水平变化的80.59%。速效钾(解释率=48.6%,P=0.002)和全氮(解释率=13.8%,P=0.016)对草甸细菌门水平丰度影响较大。速效钾和全氮与变形菌门、厚壁菌门相对丰度呈正相关,与绿弯菌门、芽单胞菌门相对丰度呈正相关。由图6b可知,RDA1和RDA2分别可以解释42.00%和29.92%,对草甸真菌门水平变化的总解释率为71.92%。草甸真菌群落主要受有效磷(解释率=26.4%,P=0.028)和有机质(解释率=22.4%,P=0.054)影响。有机质与油壶菌门、捕虫霉门相对丰度呈正相关,有效磷与球囊菌门相对丰度呈负相关。

图7a可以看出,RDA1和RDA2分别可以解释63.24%和29.78%,解释了唐古特大黄土壤细菌门水平变化的93.02%。速效钾(解释率=29.6%,P=0.034)对唐古特大黄土壤细菌门水平丰度影响较大,与拟杆菌门相对丰度呈正相关,与粘球菌门、绿弯菌门相对丰度呈负相关。由图7b可知,RDA1和RDA2分别可以解释47.59%和22.84%,对真菌门水平变化的总解释率为70.43%。全钾和速效钾与子囊菌门、壶菌门相对丰度呈正相关,与拟杆菌门、油壶菌门相对丰度呈负相关。

3 讨论

土壤pH能够直接影响养分转化和微生物群落,草甸开垦后土壤pH值均显著增加,这与王德平等19的研究结果一致。有机肥中的碱性物质能够中和土壤表层部分质子,以及通过配位体交换等方式显著提高酸性土壤(pH<7)pH值20,施用羊粪可能是本研究中土壤pH值在长期耕作后显著升高的原因。与草甸土壤相比,唐古特大黄表层土壤有机质含量显著降低,可能的原因包括:1)大黄土壤翻耕直接引起有机质在土体内部的重新分布,表层有机质随翻耕迁移至深层土壤;2)耕作物理扰动引起土壤大团聚体的破碎21,进而加速了团聚体内有机质的分解;3)大黄的耕作管理通过增加有机质暴露而提高其分解速率;4)耕作管理引起微生物群落结构变化,进而影响有机质转化路径与过程。此外,草甸开垦种植大黄后,土壤碱解氮和全氮含量显著降低,其可能的原因是土地利用由高寒草甸转变为耕地后,土壤微生物群落的功能性α多样性指数和Shannon指数显著增加,土壤中拥有更高相对丰度的与不稳定性碳降解和反硝化相关的功能基因22。唐古特大黄浅层土壤速效钾含量显著低于草甸土壤,但全钾含量在各土层深度均高于草甸土壤。有研究发现施用钾肥后各采收期的大黄根鲜重和干重均显著增加23,相对于草甸,大黄可能对土壤钾含量需求更大。

土壤微生物结构和多样性对植物生长和土壤生态系统稳定起着重要作用。当土壤覆被和利用方式发生改变后,土壤中微生物群落结构往往表现出明显的变化24。与以往自然生态系统转变为人工生态系统后生物多样性会减小的认识不同,本研究中,高寒草甸转变为大黄样地后土壤细菌多样性增加,真菌多样性降低但并不显著。有研究发现,草甸开垦为耕地后土壤微生物多样性并无显著变化25。同时有研究发现退耕早期迅速下降的微生物丰度会在持续种植一段时间后恢复甚至超过原草甸水平26。土壤微生物多样性变化呈不同趋势,可能与土地利用变化后种植模式和植物种类有关27。土壤微生物多样性、组成和网络复杂性的变化与土地利用变化后土壤资源有效性的降低有关。自然生态系统向人工生态系统的土地利用变化并不一定会对土壤微生物群落多样性和组成产生负面影响,这种变化可能与土地利用变化后环境异质性有关28

在微生物群落组成方面,草甸和唐古特大黄土壤中细菌和真菌在门水平上的分布均较为集中,排名前十的门丰度总和达到了90%以上,大部分微生物集中在4~5个门中。在属水平上表现出较高的多样性,丰度小于1%的细菌占比最大,高寒草甸生态系统中农业和自然生境中细菌均以少数种占优势,这个现象在唐古特大黄土壤中更加明显。有研究分析了青藏高原不同草甸类型土壤微生物群落结构发现,高寒草甸土壤中属水平相对丰度排名20以后的细菌总丰度超过了40%29。在细菌属水平上,唐古特大黄土壤芽孢杆菌属相对丰度高于草甸土壤。磷是植物生长重要的限制营养元素之一,土壤中大部分磷无法被植物直接利用30。芽孢杆菌属是报道常见的具有溶磷能力的有益细菌属,从10个不同生境滇重楼(Paris polyphylla var. yunnanensis)土壤中筛选到41株溶磷菌,全部鉴定为芽孢杆菌31。除此以外,芽孢杆菌作为运用广泛的生防菌,其代谢产物能够有效防治植物病害,对尖孢镰刀菌等病原真菌具有良好的防治作用32。本研究中,唐古特大黄土壤芽孢杆菌属相对丰度高于草甸土壤,可能是土壤细菌为应对连作条件下病害压力、维持土壤环境平衡的适应性调整。被孢霉属(Mortierella)是两个样地中共有的丰度最高的优势真菌属,被孢霉属是根际环境中常见的有益微生物,是重楼33、白及(Bletilla striata34、冬虫夏草(Cordyceps sinensis35等多种根茎类药材土壤中的优势真菌属。高寒草甸中湿伞菌属相对丰度较高,而唐古特大黄土壤中赤霉菌属和茎点霉属相对丰度更高。茎点霉属是多种药用植物和经济作物的致病菌,可以对寄主的多个部位进行侵染36。茎点霉导致的温郁金茎点霉叶枯病会使叶片产生斑点,严重时造成植物死亡37。本研究中,唐古特大黄土壤相对于草甸,有益真菌相对丰度减少而潜在病原菌相对丰度更高,可能是土壤环境恶化的标志。

土壤pH值、养分含量等环境因子变化会影响土壤微生物群落结构。本研究结果表明,速效钾、全氮、有效磷和有机质是影响草甸土壤微生物群落组成的主要养分因子,速效钾是影响唐古特大黄土壤微生物群落组成的主要环境因子。有研究发现高寒草甸土壤微生物群落与土壤pH、有机质、速效钾等相关性较高,且相对于真菌,细菌受土壤养分影响更大38。速效钾是草甸和唐古特大黄土壤微生物群落的共同影响因素,土壤中较高的速效钾含量可以抑制根腐病的发生39,同时速效钾含量还与三七(Panax notoginseng)存苗率呈正相关40。本研究中草甸土壤速效钾含量与变形菌门相对丰度呈正相关,可能与土壤中存在的解钾菌有关。筛选川西北高寒草甸根际土壤中促生菌株发现,具有解钾能力的菌株多属于变形菌门下的不动杆菌属、假单胞菌属41

微生物共现网络可以反映群落中各物种之间的相互作用关系42。本研究中,草甸土壤微生物形成的共现网络拥有更高的边数和平均度,复杂程度比唐古特大黄土壤更高,唐古特大黄土壤单一的植物组成可能是形成相对草甸更加简单的微生物群落结构的原因。共现网络较高的模块化程度和更多的负相关关系可能代表了更加稳定的微生物结构43。唐古特大黄土壤微生物网络模块化程度高于草甸土壤,相比于草甸土壤,唐古特大黄土壤细菌和真菌网络的平均聚类系数更低而平均路径长度更长,说明草甸土壤微生物之间的相互关系更加紧密,可能对外界干扰更加敏感44

4 结论

本研究通过研究若尔盖县高寒草甸土壤和唐古特大黄土壤0~60 cm土层理化性质和微生物群落特征,发现草甸开垦种植大黄后,土壤理化性质发生显著变化,土壤微生物群落的组成和结构在不同深度存在差异。草甸开垦后土壤细菌α多样性升高而真菌α多样性降低,微生物群落组成发生改变,草甸和唐古特大黄土壤微生物优势菌门相同,但开垦增加了土壤各深度变形菌门和子囊菌门相对丰度,降低了放线菌门、绿弯菌门和担子菌门相对丰度。土壤中有益真菌相对丰度降低,茎点霉属、亚隔胞壳属等潜在植物病原真菌相对丰度增加。草甸土壤中细菌群落结构易受土壤速效钾、全氮、有效磷、有机质的影响,速效钾是影响唐古特大黄土壤微生物群落组成的主要养分因子。相比于草甸土壤,唐古特大黄土壤形成的微生物共现网络结构复杂程度更低,结构更为稳定,草甸土壤微生物群落相互作用更为紧密,对外界干扰更加敏感。

参考文献

[1]

Tang S M, Li S C, Wang Z, et al. Effects of grassland converted to cropland on soil microbial biomass and community from agro-pastoral ecotone in Northern China. Grassland Science, 2021, 68(1): 36-43.

[2]

Guan Z H, Li X G, Wang L, et al. Conversion of Tibetan grasslands to croplands decreases accumulation of microbially synthesized compounds in soil. Soil Biology and Biochemistry, 2018, 123: 10-20.

[3]

Bai J H, Lu Q Q, Wang J J, et al. Landscape pattern evolution processes of alpine wetlands and their driving factors in the Zoige Plateau of China. Journal of Mountain Science, 2013, 10(1): 54-67.

[4]

Zhen Y, Wu Z P, Yin Z H, et al. Study on spatio-temporal change of land use in Zoige County, Sichuan Province. Ecological Science, 2022, 41(2): 41-49.

[5]

甄艳, 吴宗攀, 尹志恒, 四川省若尔盖县土地利用时空变化研究. 生态科学, 2022, 41(2): 41-49.

[6]

Yao S K, Chen Y L, Ma L, et al. Zoige County rhubarb industry research and development suggestions. Bulletin of Agricultural Science and Technology, 2020(3): 47-49, 248.

[7]

姚顺凯, 陈玉林, 马林, 若尔盖县大黄产业调研及发展建议. 农业科技通讯, 2020(3): 47-49, 248.

[8]

Yang Y, Li H L, Ma K L, et al. Effect of continuous cropping on the physicochemical properties, microbial activity, and community characteristics of the rhizosphere soil of Codonopsis pilosula. Environmental Science, 2023, 44(11): 6387-6398.

[9]

杨阳, 李海亮, 马凯丽, 连作对党参根际土壤理化性质、微生物活性及群落特征的影响. 环境科学, 2023, 44(11): 6387-6398.

[10]

Zhang M, Ma M. Response of rhizosphere soil microbial community to long-term continuous cropping of Glycyrrhiza glabra L. Acta Ecologica Sinica, 2022, 42(22): 9017-9025.

[11]

张敏, 马淼. 甘草根际土壤微生物群落对长期连作的响应. 生态学报, 2022, 42(22): 9017-9025.

[12]

Guo R Q, Guan R W, Lin H B. Diversity analysis and characteristic of fungal community in rhizosphere soil of Panax quinquefolium L. in different cropping years. China Journal of Traditional Chinese Medicine and Pharmacy, 2022, 37(8): 4731-4736.

[13]

郭瑞齐, 管仁伟, 林慧彬. 生长年限对西洋参根际土真菌群落结构的影响及多样性分析. 中华中医药杂志, 2022, 37(8): 4731-4736.

[14]

Wang Q, Wang Y F, Zhang Y Y, et al. Mechanism of Dahuang Mudantang in improving pancreatic injury in rats with acute pancreatitis of dampness-heat in large intestine syndrome based on network pharmacology and experimental verification. Chinese Journal of Experimental Traditional Medical Formulae, 2023, 29(20): 61-68.

[15]

王琼, 汪永锋, 张延英, 基于网络药理学和实验验证探讨大黄牡丹汤改善大肠湿热型急性胰腺炎大鼠胰腺损伤的机制. 中国实验方剂学杂志, 2023, 29(20): 61-68.

[16]

Cao C Q, Sun H Z, Zhao Z X, et al. Quantitative determination of 24 components in Daochi pills based on UHPLC-MS/MS technology combined with chemometrics quality evaluation. Chinese Traditional and Herbal Drugs, 2023, 54(21): 7034-7043.

[17]

曹春琪, 孙慧珠, 赵振霞, 基于UHPLC-MS/MS技术的导赤丸中24个成分定量测定联合化学计量学质量评价. 中草药, 2023, 54(21): 7034-7043.

[18]

Ju Y F, Chen Y L, Meng J L, et al. Effects of Dahuanglingxianfang on miRNA-30b expression and inflammatory fibrosis related factors in bile duct tissue of rats with biliary tract inflammation. Journal of Traditional Chinese Medicine, 2023, 64(18): 1908-1915.

[19]

居燕飞, 陈雅璐, 蒙健林, 大黄灵仙方对胆道炎症模型大鼠胆管组织miRNA-30b表达及炎症-纤维化相关因子的影响. 中医杂志, 2023, 64(18): 1908-1915.

[20]

Sun F H, Xiao B, Li S L, et al. Effects of biological soil crusts in different developmental stages on soil water permeability and water holding capacity in the Chinese Loess Plateau. Acta Prataculturae Sinica, 2021, 30(6): 54-63.

[21]

孙福海, 肖波, 李胜龙, 黄土高原不同发育阶段生物结皮的导水和持水特征. 草业学报, 2021, 30(6): 54-63.

[22]

Cui J F, Deng J B, Liu C D, et al. Pedo-transfer functions of soil water retention curve for alpine meadow grassland in Zoige area, China. Mountain Research, 2021, 39(4): 483-494.

[23]

崔俊芳, 邓建波, 刘传栋, 若尔盖高寒草甸表层土壤水分特征曲线传递函数研究. 山地学报, 2021, 39(4): 483-494.

[24]

Bao S D. Agrochemical analysis of soil (3rd Edition). Beijing: China Agriculture Press, 2000: 25-114.

[25]

鲍士旦. 土壤农化分析(第三版). 北京: 中国农业出版社, 2000: 25-114.

[26]

Gao H F, Meng T, Xiong Q, et al. Changes in physicochemical property and microbial community of Pseudostellaria heterophylla soil at different fallow ages. Chinese Journal of Applied Ecology, 2022, 33(8): 2196-2204.

[27]

高慧芳, 孟婷, 熊琦, 太子参不同休耕年限土壤理化特征和微生物群落变化. 应用生态学报, 2022, 33(8): 2196-2204.

[28]

Su Z X, Su B Q, Wu Y, et al. A less complex but more specialized microbial network resulted in faster fine-root decomposition in young stands of Robinia pseudoacacia. Applied Soil Ecology, 2023, 182: 104735.

[29]

Hu Y, Fair H, Liu Q, et al. Diversity and co-occurrence networks of bacterial and fungal communities on two typical debris-covered glaciers, southeastern Tibetan Plateau. Microbiological Research, 2023, 273: 127409.

[30]

Mao X Y, Liu J X, Jia T, et al. Distribution pattern of bacterial community in soil profile of Larix principisrupprechtii forest in Luya Mountain. Environmental Science, 2023, 44(6): 3376-3385.

[31]

毛晓雅, 刘晋仙, 贾彤, 芦芽山华北落叶松林土壤剖面细菌群落分布格局. 环境科学, 2023, 44(6): 3376-3385.

[32]

Wang D P, Song Q, Liu Z K, et al. Effects of grassland utilization on microbial community structure in Hulunbuir grassland. Pratacultural Science, 2022, 39(3): 421-430.

[33]

王德平, 宋倩, 刘忠宽, 草地利用方式对呼伦贝尔草地微生物群落结构的影响. 草业科学, 2022, 39(3): 421-430.

[34]

Guo H T, Gao J, Zhang Q, et al. Differences and reasons for the effects of organic fertilizer on the pH of acidic and alkaline soils in China. Chinese Journal of Applied and Environmental Biology, 2024, 30(3): 496-503.

[35]

郭慧婷, 高静, 张强, 有机肥对我国酸性和碱性土壤pH的影响差异及原因. 应用与环境生物学报, 2024, 30(3): 496-503.

[36]

Tan W F, Xu Y, Shi Z H, et al. The formation process and stabilization mechanism of soil aggregates driven by binding materials. Acta Pedologica Sinica, 2023, 60(5): 1297-1308.

[37]

谭文峰, 许运, 史志华, 胶结物质驱动的土壤团聚体形成过程与稳定机制. 土壤学报, 2023, 60(5): 1297-1308.

[38]

Liu J J, Guo Y P, Gu H D, et al. Conversion of steppe to cropland increases spatial heterogeneity of soil functional genes. The ISME Journal, 2023, 17(11): 1872-1883.

[39]

Shen N, Cui Y L, Xu W H, et al. Impact of phosphorus and potassium fertilizers on growth and anthraquinone content in Rheum tanguticum Maxim. ex Balf. Industrial Crops and Products, 2017, 107: 312-319.

[40]

Guo J X, Li J S, Liu K S, et al. Analysis of soil microbial dynamics at a cropland-grassland interface in an agro-pastoral zone in a temperate steppe in northern China. Catena, 2018, 170: 257-265.

[41]

Xu A A, Liu J, Guo Z Y, et al. Soil microbial community composition but not diversity is affected by land-use types in the agro-pastoral ecotone undergoing frequent conversions between cropland and grassland. Geoderma, 2021, 401: 115165.

[42]

Ren C, Liu K S, Dou P P, et al. The changes in soil microorganisms and soil chemical properties affect the heterogeneity and stability of soil aggregates before and after grassland conversion. Agriculture, 2022, 12(2): 307.

[43]

Pang Q L, Alami M M, Yu W L, et al. A meta-analysis in nine different continuous cropping fields to find the relationship between plant species and rhizosphere fungal community. Agronomy, 2023, 13(7): 1827.

[44]

Xiao H, Sheng H, Zhang L, et al. How does land-use change alter soil microbial diversity, composition, and network in subtropical China. Catena, 2023, 231: 107335.

[45]

Zhang L. Characteristics and influencing factors of soil microbial community structure in alpine grassland of Tibet Plateau. Beijing: University of Chinese Academy of Sciences, 2022.

[46]

张路. 青藏高原高寒草地土壤微生物群落结构特征及影响因素. 北京: 中国科学院大学, 2022.

[47]

Saxena A K, Kumar M, Chakdar H, et al. Bacillus species in soil as a natural resource for plant health and nutrition. Journal of Applied Microbiology, 2020, 128(6): 1583-1594.

[48]

Du H H, Zhu F R, Yang M, et al. lsolation and identification of phosphatolytic bacteria in Paris polyphylla var. yunnanensis. China Journal of Chinese Materia Medica, 2021, 46(4): 915-922.

[49]

杜慧慧, 朱芙蓉, 杨敏, 不同生境滇重楼根际解磷菌的筛选与鉴定. 中国中药杂志, 2021, 46(4): 915-922.

[50]

Wang W C, Zhao J, Huang W Y, et al. Research progress in metabolites produced by Bacillus against three common plant pathogenic fungi. Biotechnology Bulletin, 2023, 39(3): 59-68.

[51]

王伟宸, 赵进, 黄薇颐, 芽孢杆菌代谢产物防治三种常见植物病原真菌的研究进展. 生物技术通报, 2023, 39(3): 59-68.

[52]

Zhang X Y, Chen X F, Liu M, et al. Study on the relationship between diversity of endophytic fungi and rhizosphere fungi and environmental factors in different cultivation modes. Journal of Chinese Medicinal Materials, 2023(6): 1353-1360.

[53]

张翔宇, 陈晓芳, 柳敏, 不同栽培模式重楼内生真菌、根际真菌多样性与环境因子关联性研究. 中药材, 2023(6): 1353-1360.

[54]

Xu Q Q, Fu Y, Zhou T, et al. Study on the correlation between fungal community structure and soil factors in the rhizosphere soil of Bletilla striata. Northern Horticulture, 2024(2): 79-85.

[55]

许清清, 付艳, 周涛, 白及根际土壤真菌群落结构与土壤因子相关性. 北方园艺, 2024(2): 79-85.

[56]

Yang J Y, Tong X X, He C Y, et al. Comparison of endogenetic microbial community diversity between wild Cordyceps sinensis, artificial C. sinensis and habitat soil. Journal of Chinese Materia Medica, 2021, 46(12): 3106-3115.

[57]

杨晶艳, 童芯锌, 何成艳, 野生与人工冬虫夏草伴生菌及栖息地土壤微生物群落多样性比较研究. 中国中药杂志, 2021, 46(12): 3106-3115.

[58]

Wang M Q. Study of Phoma in Northeast China. Changchun: Jilin Agricultural University, 2019.

[59]

王梦奇. 东北地区茎点霉属真菌研究. 长春: 吉林农业大学, 2019.

[60]

Zheng F. Pathogen identification, biological characteristics and identification of partial mycovirus in the pathogen of Curcuma wenyujin Phoma leaf blight. Haikou: Hainan University, 2019.

[61]

郑樊. 温郁金茎点霉叶枯病菌的鉴定、生物学特性及其部分真菌病毒的鉴定. 海口: 海南大学, 2019.

[62]

Wang Z Q, Zhang J X, Yang X L, et al. Characteristics of soil microbial diversity in different patches of alpine meadow. Acta Agrestia Sinica, 2021, 29(9): 1916-1926.

[63]

王占青, 张杰雪, 杨雪莲, 高寒草甸不同斑块草地土壤微生物多样性特征研究. 草地学报, 2021, 29(9): 1916-1926.

[64]

Xing J J, Peng L Y, Chen J H, et al. A new insight into spacing patterns of soil bacterial microbiome induced by root rot of Carya cathayensis. Applied Soil Ecology, 2022, 174: 104416.

[65]

Wu H Q, Li Y Z, Yang M, et al. Characteristics of rhizosphere soil microbial community and its relationship with disease occurrence under direct-seeding mode of Panax notoginseng. Molecular Plant Breeding, 2023, 1-25[2024-09-04]. http://kns.cnki.net/kcms/detail/46.1068.S.20230705.1233.010.html.

[66]

吴洪钦, 李云峥, 杨敏, 直播模式下三七根际土壤微生物群落特征及其与病害发生的关系. 分子植物育种, 2023, 1-25[2024-09-04]. http://kns.cnki.net/kcms/detail/46.1068.S.20230705.1233.010.html.

[67]

Yang W Q, Jin J, Zhu L, et al. Screening and characteristics of plant growth-promoting rhizobacteria from alpine meadow plants in Northwestern Sichuan. Acta Agrestia Sinica, 2021, 29(6): 1174-1182.

[68]

杨婉秋, 敬洁, 朱灵, 川西北高寒草甸植物根际促生菌筛选及其特性研究. 草地学报, 2021, 29(6): 1174-1182.

[69]

Marta G, Alicia M N, Alfonso V B, et al. Incorporating phylogenetic metrics to microbial co-occurrence networks based on amplicon sequences to discern community assembly processes. Molecular Ecology Resources, 2019, 19(6): 1552-1564.

[70]

De Vries F T, Griffiths R I, Bailey M, et al. Soil bacterial networks are less stable under drought than fungal networks. Nature Communications, 2018, 9(1): 1-12.

[71]

Cameron W, Klaus S, Samiran B, et al. Fungal-bacterial diversity and microbiome complexity predict ecosystem functioning. Nature Communications, 2019, 10: 4841.

基金资助

四川省科技计划项目(2022NSFSC0102)

四川省转移支付项目(R22ZYZF0002)

AI Summary AI Mindmap
PDF (4211KB)

1559

访问

0

被引

详细

导航
相关文章

AI思维导图

/