青藏高原区8份老芒麦资源农艺性状与生产性能综合评价

王文虎 ,  梁国玲 ,  刘文辉 ,  王凤宇 ,  李文

草业学报 ›› 2025, Vol. 34 ›› Issue (02) : 123 -132.

PDF (3973KB)
草业学报 ›› 2025, Vol. 34 ›› Issue (02) : 123 -132. DOI: 10.11686/cyxb2024118
研究论文

青藏高原区8份老芒麦资源农艺性状与生产性能综合评价

作者信息 +

Comprehensive evaluation of agronomic traits and yield of eight Elymus sibiricus varieties in the Qinghai-Tibet Plateau

Author information +
文章历史 +
PDF (4067K)

摘要

为了综合评价青藏高原区老芒麦资源的特点,本研究在海晏县开展了8份老芒麦资源的农艺性状与生产性能综合评价试验,分析了不同老芒麦资源的农艺性状和产量性状特征,揭示老芒麦饲草产量的影响因素,采用TOPSIS-多准则决策模型对供试老芒麦资源的各项指标进行综合评价,以期筛选出优质的老芒麦资源。结果表明:2龄时,16-364、17-195植株较高,为108.1和109.0 cm;16-093草层高度最高、单株饲草产量最高,分别为36.8 cm,170.3 g;15-025、17-195分蘖数较多,为123和124枝·株-1。3龄时,17-195植株最高、冠幅最大,分别为122.7 cm、140.8 cm;16-093草层高度最高、单株饲草产量最高,分别为51.8 cm,234.7 g;15-025分蘖数最多,为456枝·株-1。结构方程表明,株高和分蘖数是影响老芒麦饲草产量的关键因子,TOPSIS-多准则决策模型综合评价结果表明,16-093饲草生产性能更高、更稳定,是适宜海北州种植的最佳老芒麦资源,可作为下一步品种选育的亲本材料。

Abstract

The aim of this research was to comprehensively evaluate the performance of Elymus sibiricus varieties in the Qinghai-Tibet Plateau. The work was conducted in Haiyan County of Qinghai Province, and analyzed the agronomic traits and forage yield characteristics of eight E. sibiricus varieties, using a TOPSIS model to identify superior varieties. In year two, varieties designated 16-364 and 17-195 had greater plant height than other varieties (108.1 and 109.0 cm, respectively), while variety 16-093 had the highest grass height among the tested varieties (36.8 cm) and the greatest forage yield per plant (dry weight) (170.3 g). Varieties 15-025 and 17-195 had the highest tiller numbers (123 and 124 tillers of per plant, respectively). In year 3, variety 17-195 had the greatest plant height and crown breadth (122.7 cm and 140.8 cm, respectively), while variety 16-093 had the greatest grass height and forage yield per plant (51.8 cm and 234.7 g, respectively). Variety 15-025 had the highest tiller numbers (456 tillers per plant). A structural equation model showed that plant height and tiller numbers were key factors affecting E. sibiricus forage yield. The TOPSIS model multivariate evaluation showed that the variety 16-093 ranked highest for forage productivity and stability, making it a suitable variety for cultivation in the study region. Therefore, variety 16-093 could be used as parent material for new variety breeding as a next step.

Graphical abstract

关键词

老芒麦 / 生产性能 / 资源 / 饲草 / 综合评价

Key words

Elymus sibiricus / production performance / varieties / forage / comprehensive evaluation

引用本文

引用格式 ▾
王文虎,梁国玲,刘文辉,王凤宇,李文. 青藏高原区8份老芒麦资源农艺性状与生产性能综合评价[J]. 草业学报, 2025, 34(02): 123-132 DOI:10.11686/cyxb2024118

登录浏览全文

4963

注册一个新账户 忘记密码

青藏高原是我国重要的生态安全屏障和水源地1。近年来,在气候变化与过牧等因素的作用下青藏高原地区天然草地严重退化,威胁着该地区的生态安全和社会经济发展2-3。随着三江源“黑土滩”生态恢复治理工程的开展,对适应当地生态条件的生态草和牧草草种的需求不断增加,目前,在生态恢复治理过程中主要的当家草种以垂穗披碱草(Elymus nutans)、青海草地早熟禾(Poa pratensis ‘Qinghai’)和青海冷地早熟禾(Poa crymophila ‘Qinghai’)为主,种类较少4,远远不能够满足市场需求5。因此,收集青藏高原乡土植物种质资源,开展种质资源生产性能评价,筛选适宜高寒地区自然环境的乡土草种,对于推进青藏高原区生态治理工程进度,提升工程质量具有重要意义。
老芒麦(Elymus sibiricus)作为饲用和生态兼用型乡土草种广泛分布于青藏高原,是高寒草地群落中的优势植物6。老芒麦又名西伯利亚披碱草,是多年生禾本科披碱草属(Elymus spp.)疏丛型自花授粉草本植物,具有草质柔软、叶量丰富、粗蛋白含量较高、适口性好、耐牧性强、根系发达、耐寒抗旱能力强等特点7,因其优良的生物学特性、生态学特征和丰富的资源,在青藏高原地区人工草地建植和天然草地生态恢复改良过程中发挥着重要作用8-9。虽然目前我国已经审定登记了多个老芒麦品种,但依旧无法满足生态恢复治理和畜牧业生产发展的需求10。因此,对野生老芒麦资源开展适应性评价,筛选出适宜在青藏高原高海拔区进行推广应用的高产、稳产老芒麦种质资源,符合当前该地区对退化草地生态恢复治理和饲草生产的需求。前人已从老芒麦抗寒性8、基因遗传多样性11、种子生产性能12、种子落粒性13-14等角度开展了研究,极大地推动了高海拔地区生态和草牧业发展,但这些成果远不能满足高海拔区生态和草牧业发展的需求,尤其是高产稳产、综合性好的优质老芒麦资源依旧短缺,供需矛盾依旧存在。虽然我国具有丰富的老芒麦资源,但以往对老芒麦饲草生产性能方面缺少综合性评价,此外,关于老芒麦饲草产量构成因子的研究尚不详细,不利于对优质老芒麦资源的挖掘。
本研究以8份生产性能较好的老芒麦资源为研究对象,通过TOPSIS-多准则决策模型综合评价及构建分段式结构方程模型,对老芒麦资源农艺性状与饲草生产性能进行综合评价,并揭示老芒麦饲草产量的影响因子及过程,以期筛选出高产稳产、综合性更好、适应性更好的优质老芒麦资源,为推动青藏高原地区退化草地生态恢复重建与畜牧业生产发展提供优质的草种资源。

1 材料与方法

1.1 试验地概况

试验地位于青海省海北藏族自治州海晏县国家饲草种质资源圃(青藏高原)(100°52.848′ E, 36°59.36′ N),海拔3156 m,属于典型的高原大陆性气候,空气较稀薄,光照充足,太阳辐射较强,气候变化无常,仅有冷、热两个季节,昼夜温差较大,年均温8.9 ℃,雨热同期,年均降水量为375 mm,且主要集中在7-9月,无绝对无霜期,全年无霜期约30 d,植物生长期约120 d。年均日照时数约2980 h,年均蒸发量约1400 mm。土壤类型为栗钙土,pH值为8.4,土壤有机质、全氮、全磷、速效磷含量分别为32.5 g·kg-1、1.6 g·kg-1、1.4 g·kg-1、2.2 mg·kg-1 [7

1.2 试验材料与试验设计

供试材料来自青藏高原不同生态区(表1),经课题组前期评比筛选的老芒麦资源。于2021年6月初播种,播种前对试验地进行深翻平整,清除石块、草根等杂物。试验采用随机区组设计,重复6次,进行穴播,每穴播种4~5粒种子,播深为3~4 cm,株距、行距均为50 cm,试验小区面积为3 m×5 m,试验小区外围建植1.5 m宽的保护行,小区间设置1 m的过道,以磷酸二铵作基肥,施肥量为75 kg·hm-2,成苗后进行间苗使每穴仅保留1株健康苗(无明显病虫害),试验期间不进行灌溉、施肥、放牧等。对试验地进行常规的田间管理,第1年(2021年)除杂3次,第2年(2022年)、第3年(2023年)均进行中耕除杂2次,同时进行鼠害防除。

1.3 取样方法与测定指标

取样标准参考吴瑞等13的方法,分别于2022年(2龄)、2023年(3龄)8月中旬在老芒麦开花期进行取样及指标测量。在各小区随机选取5株长势相近,无明显病虫害的单株,按照不同资源用卷尺测株高(绝对高度)、叶长(旗叶长)、叶宽(旗叶宽)、冠幅、草层高度,数单株分蘖数,然后齐地面刈割,去除杂草,立即称重,计为鲜重,将以上老芒麦样品用大信封袋装好带回实验室后先在105 ℃杀青30 min,然后转至75 ℃烘干至恒重,称干重。

1.4 数据分析

用Excel 2019进行数据初步整理。采用SPSS 19.0(SPSS 19.0,Chicago, IL, 美国)先对不同老芒麦资源的株高、叶长、叶宽、冠幅、草层高度、分蘖数和干重的正态性(Kolmogorov-Smirnov)和方差齐性(homogeneity of variance)进行检验,然后用单因素方差分析中的多重比较(multiple comparisons)对上述指标进行显著性分析(0.05水平)。并对不同老芒麦资源的各项指标进行双因素方差分析(Two-way ANOVA)。采用factoextra和ggplot 2数据包对老芒麦资源关键性状做K均值聚类分析。采用plyr数据包多准则决策模型-TOPSIS(technique for order preference by similarity to an ideal solution)对老芒麦资源农艺性状与单株饲草产量进行综合评价。采用Mantel test相关性分析对老芒麦资源农艺性状与单株饲草产量进行相关性分析。为进一步明确影响老芒麦资源单株饲草生产性能的因子,采用R 4.0.2 piecewise SEM包构建分段式结构方程模型,探讨不同老芒麦资源对单株饲草产量的影响过程及其路径系数。采用Origin 2021软件绘图。

2 结果与分析

2.1 农艺性状与饲草产量

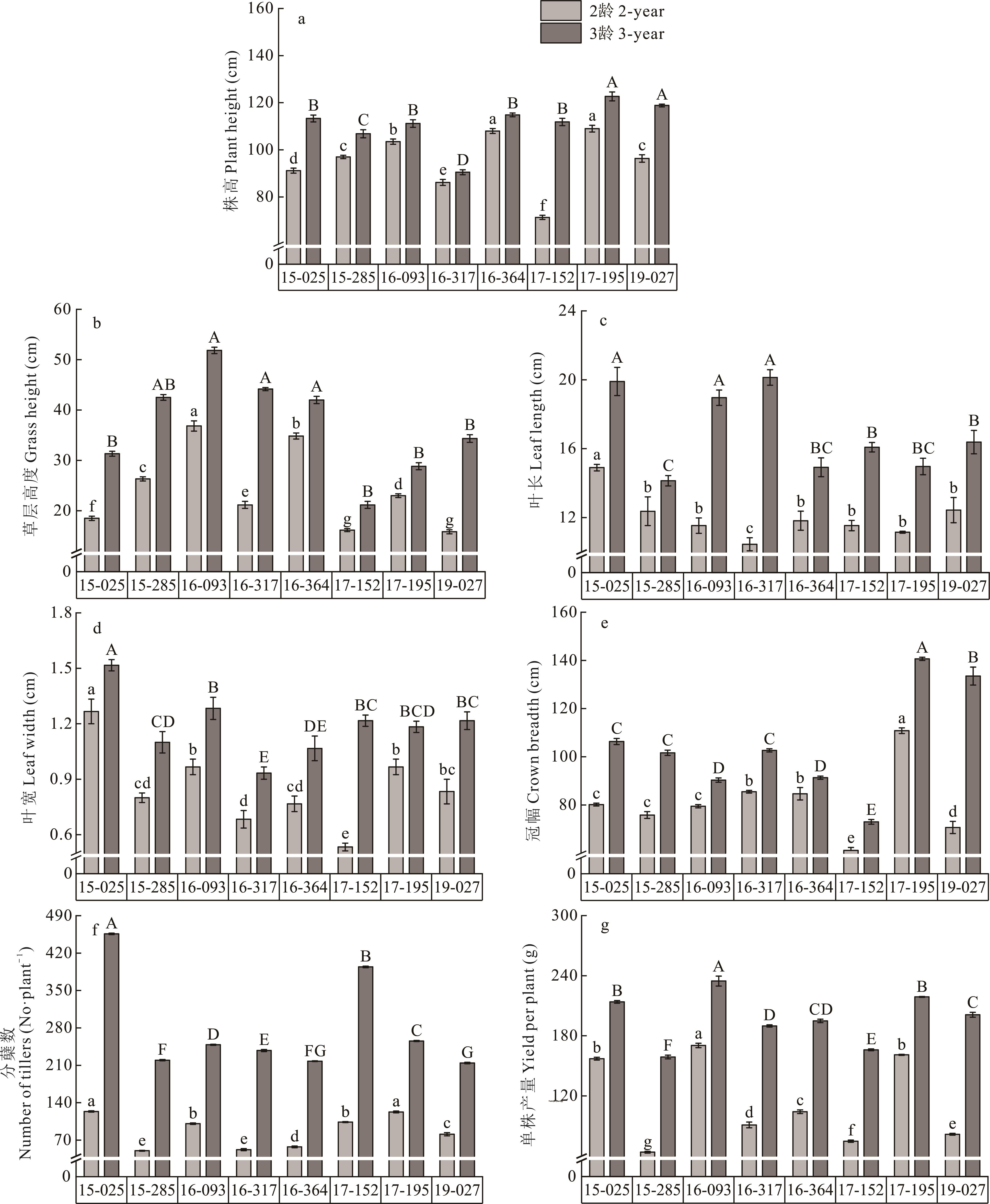
2龄时,16-364、17-195株高较高,为108.1和109.0 cm,显著高于17-152(P<0.05,图1a);16-093草层高度显著最高,单株饲草产量显著最高,分别为36.8 cm,170.3 g(图1b,g);15-025叶宽为1.3 cm,显著大于17-152(图1 d);17-195冠幅最大,为110.8 cm,显著大于17-152(P<0.05)(图1e);15-025、17-195分蘖数较多,为123和124枝·株-1,显著高于15-285、16-317(图1f)。3龄时,17-195株高最高,冠幅显著最大,分别为122.7 cm、140.8 cm(图1a,e);16-093草层高度最高,单株草产量显著最高,分别为51.8 cm,234.7 g(图1b,g);16-093、15-025、16-317叶长较长,达18.9~20.1 cm,显著大于15-285(P<0.05,图1c);15-025叶宽最大,为1.5 cm,显著大于16-317(图1d);15-025分蘖数最大,为456枝·株-1,显著高于19-027(图1f)。

双因素方差分析表明,年份和资源对植株绝对高度、叶宽、冠幅、草层高度、分蘖数和单株草产量均有极显著影响(P<0.01),对叶长无显著影响(P>0.05);年份和资源交互效应对植株绝对高度、冠幅、草层高度、分蘖数和单株草产量有极显著影响,对叶宽有显著影响,对叶长无显著影响(表2)。

2.2 不同老芒麦资源农艺性状与单株饲草产量相关性分析

对不同老芒麦资源农艺性状与单株饲草产量进行Mantel test相关性分析(图2),结果表明,2龄时,单株草产量与株高、叶宽、冠幅、草层高度、分蘖数显著正相关,冠幅与株高显著正相关,分蘖数与叶宽、株高、草层高度正相关;3龄时,单株草产量与株高、叶宽、冠幅、草层高度、分蘖数显著正相关,冠幅与株高显著正相关,分蘖数与叶宽、株高显著正相关。

2.3 不同老芒麦资源综合评价

为有效评价8种老芒麦资源的综合特性,基于关键性状进行K均值聚类分析(图3),2龄时,老芒麦资源聚为2类,其中,第1类占比较高,为0.73,表现较好,主要有15-025、16-093、17-195、16-364;3龄时,老芒麦资源聚为2类,其中,第2类占比较高,为0.55,表现较好,主要有15-025、16-093、17-195。为进一步筛选出综合性更好的老芒麦资源,采用TOPSIS-多准则决策模型对不同老芒麦资源的单株饲草产量、株高、叶长、叶宽、冠幅、草层高度和分蘖数进行综合评价(图4),结果表明,2龄时,贴合度由高到低分别为16-093、17-195、15-025、16-364、15-285、19-027、16-317、17-152。其中,16-093的贴合度最大,为0.68;17-152的贴合度最小,为0.22。3龄时,贴合度由高到低分别为16-093、15-025、17-195、19-027、15-285、16-364、17-152、16-317。其中,16-093的贴合度最大,为0.71;16-317的贴合度最小,为0.16。综合两年试验结果,表明16-093综合性最好,是适宜栽培地种植的最佳老芒麦资源。

2.4 单株饲草产量的影响过程及路径

为明确老芒麦资源单株饲草生产性能的影响因子及过程,进一步构建分段式结构方程模型,探讨老芒麦资源单株饲草产量的影响过程及其路径系数(图5a)。结果表明,模型拟合效果良好(P=0.559、Fisher’s C=1.162),年份通过影响草层高度和分蘖数间接影响单株饲草产量,资源通过影响株高、叶宽、冠幅、草层高度和分蘖数间接影响单株饲草产量。株高、叶宽、冠幅、草层高度和分蘖数对单株饲草产量均有显著正向作用,路径系数分别为0.435、0.153、0.211、0.207和0.421。

基于分段式结构方程中的标准路径系数,计算了各因子的直接效应、间接效应和总效应(图5b),结果表明,对于老芒麦单株饲草产量,年份、株高和分蘖数的总效应较高,分别为0.645、0.435和0.559。因此,年份和资源主要通过影响分蘖数和株高进而影响饲草产量。

3 讨论

农艺性状作为评价牧草生产性能的重要指标,其本身受植物遗传特性和环境因子的共同作用15-16。本研究中资源17-195植株最高、冠幅最大,16-093草层高度最高,15-025叶长较长、叶宽数值最大,17-152草层高度、冠幅均最小。这可能是因为资源17-152采自路边树下,原生境较阴凉,光照不足,不能适应栽培地较干旱、光照充足的环境,故长势较弱,说明生长环境对17-152影响较大。资源15-025采自河边,叶片较大。此外原生境水分充足、较潮湿,而栽培地环境较干旱,但能够保持较好的长势,说明15-025生态幅较宽,对环境适应能力强,也可能具有较好的抗旱特性,因此,可作为优良材料进行新品种选育。资源16-093与17-195采自围栏封育草场,原生境条件与栽培地极度相似,可能保持了原生境下优良的生长特性,因此,表现出较好的长势,说明在适宜的环境条件下,资源16-093与17-195具有稳定保持其优良遗传特性的能力。对来自不同小生境老芒麦资源的研究表明,同一区域不同小生境的老芒麦种质资源对栽培地环境适应性存在较大差异,不同老芒麦资源的表型性状对环境因子的敏感程度不同617。此外,本研究中不同老芒麦资源株高、草层高度、叶长、叶宽、冠幅、分蘖数等农艺性状均存在较大差异,这是因为牧草生长发育不仅取决于自身的遗传特性,还受栽培地气温、降水、光照和土壤因子等外界条件的影响18-20

饲草产量是评价植物饲草生产力的重要指标21,是植物种质资源在某一地区生态适应性的直观表现,也是某一个植物种质资源能否在某地区推广种植时考虑的关键因素22。本研究中老芒麦饲草产量和农艺性状在不同生长年限存在较大差异。这与张永超等23、周禾等24对老芒麦的研究结果一致。这可能与老芒麦自身的生长习性有关,也可能是老芒麦群体遗传变异对环境适应能力的反映25。株高和分蘖数是影响植株饲草产量的重要组成部分26。本研究相关性分析与分段式结构方程结果均表明,分蘖数和株高是影响饲草产量的关键因子,与袁艺等27、尹婷婷等28的研究结果一致。这是因为植株越高大、分蘖能力越强,对水分、土壤养分、光照等生态因子的利用效率越高,从而促进植株体内有机物的有效积累,进而提高植株饲草产量29-30。K均值聚类分析将不同老芒麦资源分属于2组,说明来自同一区域的老芒麦资源,由于采集地小生境条件异质性或遗传特性异质性,导致其形态学存在较大差异。本研究中参试老芒麦资源间单株饲草产量差异较大,其中16-093单株饲草产量最高,17-195次之,15-285最低。可能是因为16-093来源地小生境条件与栽培地生态环境差异较小,因此,在栽培地能够保持优良的遗传特性和生态记忆31-32。本研究采用TOPSIS多准则决策模型对各老芒麦资源农艺性状和单株饲草产量进行综合评价,结果表明16-093既能保持较高的饲草生产性能,又具有良好的稳定性,是适宜海北州种植的理想材料,表现出更高、更稳定的饲草生产性能优势。建议后期进行野生种质资源选育时,优先进行综合性评比筛选,有助于提高对种质资源评价的准确性,使试验结果更可靠。

4 结论

本研究中8份来源地不同的老芒麦资源在栽培地均能够正常生长发育,但不同资源间农艺性状与单株饲草产量均存在较大差异。2龄时,16-364和17-195株高较高,16-093草层高度与单株饲草产量最高,15-025和17-195分蘖数较多。3龄时,17-195株高最高、冠幅最大,16-093草层高度与单株饲草产量最高,15-025分蘖数最多。结构方程表明,株高和分蘖数是影响老芒麦饲草产量的关键因子,多准则决策模型-TOPSIS结果表明,16-093具有更高、更稳定的饲草生产性能,是适宜海北州种植的最佳老芒麦资源。

参考文献

[1]

Li M, Liu S, Sun Y, et al. Agriculture and animal husbandry increased carbon footprint on the Qinghai-Tibet Plateau during past three decades. Journal of Cleaner Production, 2021, 278: 123963.

[2]

Li J H, Yang G J, Wang S P. Vegetation and soil characteristics of degraded alpine meadows on the Qinghai-Tibet Plateau, China: A review. Chinese Journal of Applied Ecology, 2020, 31(6): 2109-2118.

[3]

李军豪, 杨国靖, 王少平. 青藏高原区退化高寒草甸植被和土壤特征. 应用生态学报, 2020, 31(6): 2109-2118.

[4]

Zhang Q, Yuan R, Singh V P, et al. Dynamic vulnerability of ecological systems to climate changes across the Qinghai-Tibet Plateau, China. Ecological Indicators, 2022, 134: 108483.

[5]

Shang Z H, Dong Q M, Shi J J, et al. Research progress in recent 10 years of ecological restoration for ‘Black soil land’ degraded grassland on Tibet Plateau-concurrently discuss of ecological restoration in Sanjiangyuan region. Acta Agrestia Sinica, 2018, 26(1): 1-21.

[6]

尚占环, 董全民, 施建军, 青藏高原“黑土滩”退化草地及其生态恢复近10年研究进展-兼论三江源生态恢复问题. 草地学报, 2018, 26(1): 1-21.

[7]

Zhang H M, Li X L, Li L P, et al. Effects of species combination on community diversity and productivity of alpine artificial grassland. Acta Agrestia Sinica, 2020, 28(5): 1436-1443.

[8]

张慧敏, 李希来, 李兰平, 草种配置对高寒人工草地群落多样性和生产力的影响. 草地学报, 2020, 28(5): 1436-1443.

[9]

Li M F, Li X R, Li Y Z, et al. Identification of wild Elymus sibiricus germplasm resources and analysis of variation of dorsal hairs in basal leaf sheath. Acta Agrestia Sinica, 2023, 31(4): 1026-1035.

[10]

李明峰, 李欣瑞, 李英主, 野生老芒麦种质资源鉴定与基部叶鞘绒毛变异分析. 草地学报, 2023, 31(4): 1026-1035.

[11]

Qi H F, Liu W H, Liu M J, et al. Interannual differences in ear traits and spike type division of E. sibiricus L. wheat ears on the Qinghai-Tibet Plateau. Journal of Nuclear Agricultural Sciences, 2023, 37(9): 1751-1763.

[12]

起惠芳, 刘文辉, 刘敏洁, 青藏高原老芒麦穗部性状年际差异分析和穗型划分. 核农学报, 2023, 37(9): 1751-1763.

[13]

Liu W W, Liu X, Lei Y X, et al. A comprehensive evaluation of cold resistance and the physiological response of Elymus sibiricus genotypes. Acta Prataculturae Sinica, 2023, 32(8): 152-163.

[14]

柳文蔚, 刘鑫, 雷映霞, 老芒麦种质资源抗寒性综合评价及冷胁迫下的生理反应. 草业学报, 2023, 32(8): 152-163.

[15]

Li C Y, Wang Y, Li X R, et al. Morphological diversity and germplasm utilization potential of wild Elymus sibiricus. Acta Prataculturae Sinica, 2023, 32(3): 67-79.

[16]

李春艳, 王艳, 李欣瑞, 中国野生老芒麦形态多样性研究与种质利用潜力分析. 草业学报, 2023, 32(3): 67-79.

[17]

Liu W H, Jia Z F, Wei X X, et al. Study on protection and utilization of forage germplasm resources in Qinghai-Tibet Plateau. Qinghai Science and Technology, 2017, 24(1): 32-35.

[18]

刘文辉, 贾志锋, 魏小星, 青藏高原牧草种质资源保护利用研究. 青海科技, 2017, 24(1): 32-35.

[19]

Yan J J, Bai S Q, Zhang X Q, et al. Genetic diversity of native Elymus sibiricus populations in the southeast margin of Qinghai-Tibet Plateau as detected by SRAP and SSR markers. Acta Prataculturae Sinica, 2010, 19(4): 122-134.

[20]

鄢家俊, 白史且, 张新全, 青藏高原东南缘老芒麦自然居群遗传多样性的SRAP和SSR分析. 草业学报, 2010, 19(4): 122-134.

[21]

Wu R, Liu W H, Zhang Y C, et al. Performance evaluation of different Elymus sibiricus L. germplasm resources in Qinghai-Tibet Plateau. Journal of Plant Genetic Resources, 2020, 21(4): 855-865.

[22]

吴瑞, 刘文辉, 张永超, 青藏高原地区不同老芒麦种质资源生产性能评价. 植物遗传资源学报, 2020, 21(4): 855-865.

[23]

Wu R, Liu W H, Zhang Y C, et al. A study of the correlation between seed shattering and agronomic traits of Elymus sibiricus on the Qinghai-Tibet Plateau. Acta Prataculturae Sinica, 2021, 30(4): 130-139.

[24]

吴瑞, 刘文辉, 张永超, 青藏高原老芒麦落粒性及农艺性状相关性研究. 草业学报, 2021, 30(4): 130-139.

[25]

Ren C Y, Liu W H, Liang G L, et al. Differences of seed shattering and agronomic traits in six Elymus species on the Qinghai-Tibet Plateau. Acta Agrestia Sinica, 2023, 31(4): 1008-1015.

[26]

任春燕, 刘文辉, 梁国玲, 青藏高原六种披碱草属牧草落粒性差异及农艺性状分析. 草地学报, 2023, 31(4): 1008-1015.

[27]

Wu Y H, Liu W H, Liu K Q, et al. Comprehensive evaluation and screening on the productive performance of 13 Bromus inermis Leyss. germplasm resources. Acta Agrestia Sinica, 2023, 31(11): 3472-3483.

[28]

吴雨涵, 刘文辉, 刘凯强, 13份无芒雀麦种质资源生产性能的综合评价及筛选. 草地学报, 2023, 31(11): 3472-3483.

[29]

Wang X P, Bai Y X, Yao X H, et al. Effect of mowing stubble height on forage and grain yield and forage quality characteristics of hulless barley. Journal of Triticeae Crops, 2023, 43(4): 513-523.

[30]

王小萍, 白羿雄, 姚晓华, 刈割留茬高度对青稞饲草与籽粒产量及饲用品质的影响. 麦类作物学报, 2023, 43(4): 513-523.

[31]

Zhang H H, Liang W W, Zhang X Z, et al. Analysis on morphology and growth characteristics of wild Elymus sibiricus L. germplasm resources in Xinjiang. Acta Agrestia Sinica, 2021, 29(4): 701-708.

[32]

张荟荟, 梁维维, 张学洲, 新疆野生老芒麦种质资源形态及生长特性分析. 草地学报, 2021, 29(4): 701-708.

[33]

Zhang W, Zhou Q P, Chen Y J, et al. Comparison of production performance and forage quality of 10 introduced oat varieties in Hulunbuir, China. Acta Prataculturae Sinica, 2021, 30(12): 129-142.

[34]

张伟, 周青平, 陈有军, 呼伦贝尔地区10个引进燕麦品种生产性能及饲草品质比较. 草业学报, 2021, 30(12): 129-142.

[35]

Vera M L. Effects of altitude and seed size on germination and seedling survival of heathland plants in north Spain. Plant Ecology, 1997, 133: 101-106.

[36]

Hou Y, Liu M X, Sun H R. Responses of plant leaf traits to microhabitat change in subalpine meadow on the eastern edge of Qinghai-Tibet Plateau, China. Chinese Journal of Applied Ecology, 2017, 28(1): 71-79.

[37]

侯媛, 刘旻霞, 孙辉荣. 青藏高原东缘亚高寒草甸植物叶性状对微生境变化的响应. 应用生态学报, 2017, 28(1): 71-79.

[38]

Fan Y K, Yun L, Li Z, et al. Correlation analysis of agronomic traits related to forage yield of Psathyrostachys juncea. Chinese Journal of Grassland, 2020, 42(3): 119-125.

[39]

范亚坤, 云岚, 李珍, 新麦草饲草产量相关农艺性状的关联性分析.中国草地学报, 2020, 42(3): 119-125.

[40]

Zhang D, Long H Y. Evaluation of production performance and nutritional value of eight alfalfa varieties in the hot-arid zone. Chinese Journal of Grassland, 2024, 46(1): 70-77.

[41]

张德, 龙会英. 8个紫花苜蓿品种在干热区生产性能和营养价值评价. 中国草地学报, 2024, 46(1): 70-77.

[42]

Zhang Y C, Wei X X, Liang G L, et al. Phenotype changes during ageing over six years of Elymus sibiricus stands and the effects of nutrient addition. Acta Prataculturae Sinica, 2022, 31(6): 101-111.

[43]

张永超, 魏小星, 梁国玲, 老芒麦衰老过程形态特征变化规律及对养分添加的响应. 草业学报, 2022, 31(6): 101-111.

[44]

Zhou H, Yang B, Han J G. Studies on some structural characteristics of a community of grassland of Elymus sibiricus planted in different years. Acta Agrestia Sinica, 2000, 8(4): 245-252.

[45]

周禾, 杨波, 韩建国. 利用年限对老芒麦生物学特性及群落结构特征的影响. 草地学报, 2000, 8(4): 245-252.

[46]

Yu J B, Chen S Y, Sangjie D J, et al. Morphological variation and genetic relationship analysis of short-awned Elymus sibiricus germplasm in northwest of Sichuan. Acta Agrestia Sinica, 2023, 31(9): 2787-2795.

[47]

余静菠, 陈仕勇, 桑杰多吉, 川西北高原短芒型老芒麦种质形态变异及遗传亲缘关系分析. 草地学报, 2023, 31(9): 2787-2795.

[48]

Fu X N, Pan Z W, Meng X J, et al. The relationship of agronomic traits and fresh forage yield of Secale cereale L. ‘ganyin No1’. Acta Agrestia Sinica, 2017, 25(2): 433-436.

[49]

富新年, 潘正武, 孟祥君, ‘甘引1号’黑麦农艺性状与鲜草产量的关系. 草地学报, 2017, 25(2): 433-436.

[50]

Yuan Y, Chen D M, Liu W, et al. Correlation analysis and comprehensive evaluation of production and reproductive of forage oat in northwest Sichuan plateau. Journal of Sichuan Agricultural University, 2023, 41(6): 1116-1123.

[51]

袁艺, 陈冬明, 刘伟, 川西北高原饲用燕麦产量和生殖性状相关性分析及综合评价. 四川农业大学学报, 2023, 41(6): 1116-1123.

[52]

Yin T T, Gu L L, Yan F, et al. Phenotypic diversity analysis of 59 Elymus sibiricus germplasm resources. Southwest China Journal of Agricultural Sciences, 2021, 34(11): 2307-2317.

[53]

尹婷婷, 谷丽丽, 闫锋, 59份老芒麦种质资源的表型多样性分析. 西南农业学报, 2021, 34(11): 2307-2317.

[54]

Lei L, Zheng H L, Wang J G, et al. Genetic dissection of rice (Oryza sativa L.) tiller, plant height, and grain yield based on QTL mapping and meta analysis. Euphytica, 2018, 214: 1-17.

[55]

Wang Y, Lu J, Ren T, et al. Effects of nitrogen and tiller type on grain yield and physiological responses in rice. AoB Plants, 2017, 9(2): plx012.

[56]

Wang H Z, Mao L P, Wang Y H, et al. DNA fingerprinting construction based on the optimal sampling strategy and genetic diversity analysis of Elymus sibiricus germplasm. Chinese Journal of Grassland, 2021, 43(1): 1-7

[57]

王惠知, 毛丽萍, 王雨涵, 基于最适取样策略的老芒麦种质指纹图谱构建及遗传多样性分析. 中国草地学报, 2021, 43(1): 1-7.

[58]

Liu X, Song S S, Yue M. Plant memory research in ecology. Acta Ecologica Sinica, 2019, 39(24): 9387-9395.

[59]

刘晓, 宋姗姗, 岳明. 生态学中的植物记忆研究. 生态学报, 2019, 39(24): 9387-9395.

基金资助

披碱草属重要牧草适应高寒环境的分子生态学机制U20A2050和青藏高原种质资源研究与利用实验室(2024)资助

AI Summary AI Mindmap
PDF (3973KB)

1101

访问

0

被引

详细

导航
相关文章

AI思维导图

/