胺鲜酯浸种对NaCl胁迫下紫花苜蓿种子萌发及幼苗生长的影响

崔灿 ,  王梦琦 ,  赵琬璐 ,  刘新颖 ,  鉴晶晶 ,  严俊鑫

草业学报 ›› 2025, Vol. 34 ›› Issue (06) : 46 -58.

PDF (2925KB)
草业学报 ›› 2025, Vol. 34 ›› Issue (06) : 46 -58. DOI: 10.11686/cyxb2024276
研究论文

胺鲜酯浸种对NaCl胁迫下紫花苜蓿种子萌发及幼苗生长的影响

作者信息 +

The effect on seed germination and seedling growth of soaking seeds with diethyl aminoethyl hexanoate in alfalfa under NaCl stress

Author information +
文章历史 +
PDF (2994K)

摘要

紫花苜蓿种子的发芽过程受到多种因素的影响,其中盐分胁迫是一个关键的限制因素。尽管胺鲜酯(DA-6)作为一种新型的植物生长促进剂在农业生产中受到了广泛的关注和应用,但其在盐胁迫条件下对紫花苜蓿种子发芽的具体作用机制尚未有明确的研究报告。因此,本研究探究了150 mmol·L-1NaCl溶液胁迫下2.5、5.0、10.0、15.0 mmol·L-1的DA-6浸种对紫花苜蓿种子萌发及幼苗生长的影响。研究结果揭示,在高浓度NaCl环境中,紫花苜蓿种子的活力受到严重影响,其发芽过程也遭受明显的抑制。然而,通过使用不同浓度的DA-6进行种子浸泡处理,可以有效地提升种子的发芽率、发芽势、发芽指数,以及根长、茎长、鲜重和干重等指标,从而整体上促进种子的萌发过程。特别地,当DA-6的浓度达到2.5 mmol·L-1时,对于提高NaCl胁迫条件下种子的抗氧化酶活性表现出显著效果。DA-6浸种通过提高可溶性蛋白、可溶性糖、游离脯氨酸的含量,从而提高紫花苜蓿对盐的耐受性,促进种子萌发。综合分析表明,2.5、5.0 mmol·L-1 DA-6对正常环境和NaCl胁迫下紫花苜蓿种子萌发及幼苗生长均有积极的影响。

Abstract

The germination process in Medicago sativa seeds is influenced by various factors, among which salt stress is a key limiting factor. There is widespread interest in application of the emerging plant growth promoter diethyl aminoethyl hexanoate (DA-6) in agricultural production, but there is no clear research report on its specific mechanism of action on alfalfa seed germination under salt stress conditions. Consequently, this investigation examined the impact of a 150 mmol·L-1 NaCl environment on the development of alfalfa seeds when subjected to DA-6 concentrations of 2.5, 5.0, 10.0, and 15.0 mmol·L-1. Specifically, our analysis focused on the effects of DA-6 immersion on alfalfa seedlings at both the sprouting and the initial plant formation stages. The findings revealed a substantial decrease in the vitality of M. sativa seeds and a marked suppression of their ability to germinate under conditions of high NaCl concentration. Seed soaking treatment with DA-6 at various concentrations increased the germination rate, germination index, germination potential, root length, stem length, fresh weight and dry weight, and improved the seed germination. The 2.5 mmol·L-1 DA-6 seed soaking treatment increased the activity of antioxidant enzymes in seeds under salt stress. The practice of immersing alfalfa seeds in DA-6 has thus been shown to augment alfalfa seedling resistance to salinity and to stimulate seed sprouting. This enhancement is attributed to an upsurge in the levels of accessible proteins, sugars, and free proline within the seeds. Multivariate analysis showed that the 2.5 and 5.0 mmol·L-1 DA-6 concentrations had the most positive effect on alfalfa seed germination and seedling growth in an otherwise normal environment under NaCl stress.

Graphical abstract

关键词

紫花苜蓿 / 胺鲜酯 / NaCl胁迫

Key words

Medicago sativa / diethyl aminoethyl hexanoate / NaCl stress

引用本文

引用格式 ▾
崔灿,王梦琦,赵琬璐,刘新颖,鉴晶晶,严俊鑫. 胺鲜酯浸种对NaCl胁迫下紫花苜蓿种子萌发及幼苗生长的影响[J]. 草业学报, 2025, 34(06): 46-58 DOI:10.11686/cyxb2024276

登录浏览全文

4963

注册一个新账户 忘记密码

研究表明,在全球范围内,约有5200万hm2的干旱农业用地面临侵蚀、土壤质量下降和盐碱化的问题,特别是,由于盐分积累导致的土地问题影响了全球约10%的土地面积。这种土壤盐碱化现象不仅每年造成大约120亿美元的经济损失,而且这一损失还在持续增加1。土壤盐碱化的原因主要包括灌溉水中高浓度的离子含量,以及全球气候变化引起的干旱等2。经过长期的研究和实践,科学家们总结出了3种主要的盐碱土壤改良策略:减少土壤中的盐分、合理施肥和采用生物学方法3。在这些策略中,生物学方法侧重于选择耐盐植物和增强植物的耐盐性,这种方法成本较低且能产生长期的改良效果。盐碱土壤对植物生长的负面影响主要是由于土壤中过量的钠离子,以及土壤中复杂的阳离子交换过程和土壤结构的硬化,这些因素共同导致了植物根系生长环境的恶化4。在盐碱胁迫下,植物难以在这样恶劣的环境中生存,这加速了土壤退化的进程。因此,如何通过科学的方法提高植物对不良环境的耐受性,从而改善恶劣的土壤环境,对生产和生活具有重要的实际意义。
紫花苜蓿(Medicago sativa)作为一种历史悠久且遍布世界的牧草,因其富含蛋白质、矿物质、维生素和碳水化合物而备受推崇。此外,它还能进行生物固氮,因此在经济和生态方面均具有显著价值5。作为多年生草本植物,紫花苜蓿拥有发达的根系,有助于防止水土流失、抵御风沙侵袭,并对环境保护起到积极作用。其强大的生态适应性和稳定性使其成为植物修复领域的关键角色。在东北地区,紫花苜蓿常被用于园林绿化,提升其种子的耐盐性能有望为盐碱地的修复工作提供科学指导。
众多科学研究发现,混合盐碱环境——由诸如氯化钠和硫酸钠这类中性盐,以及像碳酸钠和碳酸氢钠这样的碱性盐共同构成——会对植物体内的离子均衡产生显著的干扰效应。这种干扰不仅会抑制植物抗氧化系统的有效运转,还会导致活性氧(reactive oxygen species, ROS)的大量积聚,对植物细胞极为有害。同时,盐碱胁迫还会降低土壤的渗透势,即对土壤水分的吸收能力,这对植物种子的萌发和后续的生长发育构成了严重障碍6-7。盐胁迫对植物的影响是多方面的。首先,它引发了渗透压的不平衡,使得植物细胞内外的水分分布出现紊乱;其次,Na+的过量积累导致了所谓的“Na+毒害”,这种毒害通过引发氧化应激反应,进一步加剧了对植物的伤害。这些氧化应激反应可能会对植物的生理化学反应、光合作用中的关键组成部分——光系统II(photosystem II, PSII)的效率,以及叶绿素a的荧光特性产生负面影响8-9。面对盐胁迫,植物采取了一系列适应性策略来缓解其不利影响。其中一个关键策略是积累特定的化合物,如甜菜碱、可溶性糖和甘氨酸等,这些化合物能够帮助植物调节细胞内的渗透压,维持细胞的水分平衡。这些渗透保护物质在植物体内的积累,有助于植物在盐分压力下保持正常的生理功能10-11。然而,不良的环境胁迫,尤其是高盐环境,会导致植物细胞的完整性受损,进而引发ROS的过量生成。ROS是一种极具活性的分子,它们的过量存在会对细胞的脂质、蛋白质和DNA造成氧化损伤,严重时甚至可能导致细胞死亡。为了应对这种情况,植物体内的防御机制会被激活,其中过氧化物酶的活性会显著增强。过氧化物酶是一种能够清除ROS的酶,它的活性增强有助于及时清除细胞内过量的ROS,从而保护细胞免受进一步的氧化损伤,维持细胞的健康状态6-7。因此,本研究通过测定紫花苜蓿幼苗的叶绿素含量、可溶性糖、可溶性蛋白、抗氧化酶活性等生理指标,以此反映紫花苜蓿在盐胁迫条件下的一系列生理变化,初步探究紫花苜蓿种子萌发时对盐胁迫的响应机制。
外源物质的应用已成为增强植物对盐胁迫耐受性的重要手段之一,它为农业生产提供了一种除传统耐盐品种选育之外的新型解决方案12-13。胺鲜酯(diethyl aminoethyl hexanote,DA-6)是一种创新型的植物生长调节剂,以其低廉的成本和高度的安全性在农业领域引起了广泛关注14。DA-6作为一种强效的植物生长促进剂,不仅能够全面提升植物的生长活力,还能够特别强化植物根系的发育,对多种农作物展现出显著的增产潜力。目前,DA-6已经在各种农作物和林木的种植中得到了广泛的应用。科学研究表明,通过使用不同浓度的胺鲜酯,可以显著增加番茄(Cyphomandra betacea)植株的根系和地上部分的生物量,同时提高叶片中的光合色素含量,此外,胺鲜酯的施用还能提升植物体内的超氧化物歧化酶(superoxide dismutase, SOD)和过氧化氢酶(catalase, CAT)等抗氧化酶的水平15。在另一项研究中,黄文婷等16发现,在大豆(Glycine max)种植过程中施用胺鲜酯,能够有效提升大豆植株的水分利用效率,同时还能提高大豆的净光合速率。此外,研究还发现,适量的生物活性物质对玉米(Zea mays)种子的发芽和根系生长具有显著的促进作用17。王铎等18发现使用胺鲜酯对白三叶(Trifolium repens)种子进行预处理,能够增强种子对Cr6+的耐受性。此外,DA-6在葡萄(Vitis vinifera)对硒元素富集等方面也有着突出贡献19。尽管目前已有不少研究报道了DA-6在提高农作物产量方面的积极作用,但对于DA-6如何影响盐胁迫环境下紫花苜蓿种子萌发的研究仍然较少,这方面的研究空白亟待填补。种子萌发阶段是植物生命周期中的一个关键时期,它决定了幼苗能否顺利成长为成熟的植株。在这个阶段,植物往往对外界环境的变化非常敏感,容易受到各种逆境因素的影响,尤其是在盐胁迫条件下,种子的萌发能力直接关系到植物能否在恶劣环境中存活和生长20。因此,探究DA-6在提高种子萌发期耐盐性方面的潜力,对于增强植物的整体抗逆性具有重要意义。通过对种子萌发和幼苗生长阶段的研究,可以更好地理解植物如何应对盐胁迫,并开发出有效的策略来提高植物在盐碱地等恶劣环境中的生存能力。这不仅有助于提升农作物的产量和质量,还有助于扩大可耕地的范围,特别是在那些盐渍化严重的地区,这对于全球粮食安全和农业可持续发展具有深远的影响。鉴于此,本研究以紫花苜蓿为探究对象,以东北土地常见的盐胁迫为研究问题展开,探讨:1)盐胁迫对紫花苜蓿种子萌发的影响;2)DA-6浸种处理是否能够改善紫花苜蓿在盐胁迫下的种子萌发和幼苗生长情况;3)DA-6改善种子萌发和幼苗生长的最佳浓度,并对DA-6诱导的耐盐机理进行初步探究,为提高紫花苜蓿的耐盐性提供有效参考。

1 材料与方法

1.1 试验材料和设计

本试验于2023年11月,于东北林业大学园林学院实验室中进行。本试验选用苜蓿“牧成”作为材料,采用浸泡法43对其进行了试验。它是由意大利引进的一种优良品种,耐寒、耐盐、耐碱,被广泛应用于园林绿化中。DA-6浸种方法是先将种子浸于蒸馏水1 h,再分别用0、2.5、5.0、10.0、15.0 mmol·L-1的DA-6浸泡2 h;对照组用蒸馏水浸泡3 h。其中,CK为蒸馏水浸种,SALT为NaCl溶液浸种。试验共10种处理,分别为:1)CK+CONC0(DA-6浓度为0 mmol·L-1);2)CK+CONC2.5(DA-6浓度为2.5 mmol·L-1);3)CK+CONC5(DA-6浓度为5.0 mmol·L-1);4)CK+CONC10(DA-6浓度为10.0 mmol·L-1);5)CK+CONC15(DA-6浓度为15.0 mmol·L-1);6)SALT+CONC0(DA-6浓度为0 mmol·L-1);7)SALT+CONC2.5(DA-6浓度为2.5 mmol·L-1);8)SALT+CONC5(DA-6浓度为5.0 mmol·L-1);9)SALT+CONC10(DA-6浓度为10.0 mmol·L-1);10)SALT+CONC15(DA-6浓度为15.0 mmol·L-1)。种子浸泡后,用蒸馏水反复清洗几遍,然后擦去表层的水分,待用。选取籽粒饱满、色泽均匀、大小一致的50颗种子,置于铺有双层过滤纸的培养皿中,用蒸馏水、150 mmol·L-1NaCl进行处理,每皿50颗种子,20个重复。在25 ℃的人工气候室内,在50%湿度、光强1000 lx、光14 h、暗10 h的条件下培养。以胚根顶破种皮为基准,测定其发芽率及生长状况。试验重复3次。

1.2 测定指标与方法

1.2.1 种子发芽指标与干鲜重测定

在7 d内,每日记录种子的萌发数,以胚根刺破种皮为标准。在发芽高峰期计算发芽势(germination potential),第7天计算发芽率(germination percentage)。计算公式如下:

发芽=发芽高峰期发芽的种子供试样品种子总数×100%
发芽=发芽种子供试样品种子总数×100%

发芽指数(germination index, GI)和平均萌发时间(mean germination time, MGT)计算公式如下:

GI=GtDt
MGT=(Dt×Gt)Gt

式中:Gt是浸种t日后的发芽数;Dt是对应的发芽天数。

在种子萌发7 d后,每一个处理随机抽取10株完整健全的幼苗,用直尺测量根长度(root length,RL)与茎长度(stem length,SL),并称取其鲜重(fresh weight, FW),然后将样品置于105 ℃烘箱,杀青30 min,接着调至80 ℃烘干直至恒重,然后测定幼苗干重(dry weight, DW)。

1.2.2 生理指标测定

种子萌发第7天时,取鲜样,保存于-80 ℃冰箱,每一个处理3次重复。采用核黄素- NBT法测定超氧化物歧化酶(SOD)活性21。分别在240,470和290 nm处根据吸光度的变化检测过氧化氢酶(CAT)、过氧化物酶(peroxidase, POD)22活性。采用硫代巴比妥酸氧化比色法测定丙二醛含量23;采用紫外分光光度法测定叶绿素含量24;采用磺基水杨酸法测定脯氨酸含量24;采用蒽酮法测定可溶性糖含量24;采用考马斯亮蓝法测定可溶性蛋白含量24

1.3 数据处理

采用Excel 2016进行数据录入,用SPSS分别对蒸馏水组和NaCl处理组进行分析,以不同浓度的DA-6为变量,对试验数据进行单因素方差分析,检验方差相等的多个正态总体均值是否相等,进而判断各因素对试验指标的影响是否显著,探究在没有盐胁迫和有盐胁迫处理下不同浓度DA-6对紫花苜蓿种子萌发和幼苗生长的影响,并用RStudio进行柱状图绘制。采用RStudio进行双因素方差分析,探究盐胁迫和DA-6处理对紫花苜蓿种子萌发和幼苗生长的交互作用。用SPSS对两两试验数据之间进行相关性分析,并对试验数据进行隶属函数的综合分析,得出在本试验设置的浓度中能够改善盐胁迫条件下紫花苜蓿种子萌发和幼苗生长的最适浓度。

2 结果与分析

2.1 胺鲜酯浸种对NaCl胁迫下紫花苜蓿种子萌发的影响

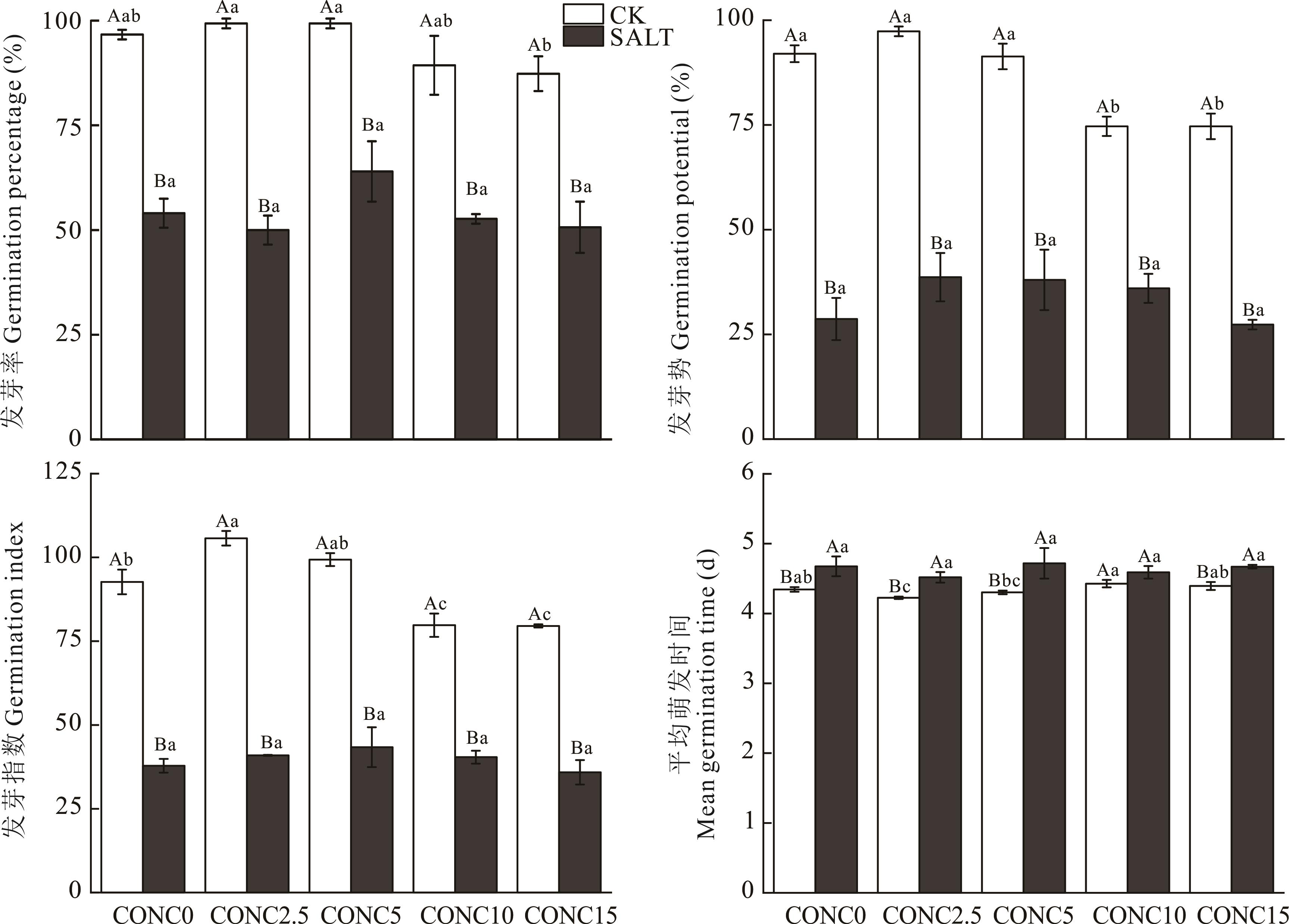
综合研究结果表明,NaCl胁迫和DA-6单独作用以及它们的联合效应对种子发芽势和发芽指数均有极显著影响(P<0.001);NaCl胁迫和DA-6对种子的整体发芽率产生了显著影响,但它们之间的相互作用对发芽率的影响并不显著(P>0.05);NaCl胁迫显著影响了种子的平均萌发时间,而DA-6及其与NaCl胁迫的相互作用对平均萌发时间的影响则不显著(表1)。

对比于仅使用蒸馏水的对照组,当种子在150 mmol·L-1的NaCl胁迫环境中时,其发芽率、发芽势和发芽指数均出现了显著下降,同时种子的平均萌发时间也得到延长(图1)。

在仅使用蒸馏水处理的条件下,随着DA-6浓度的逐步提高,种子的发芽率、发芽势和发芽指数呈先上升而后又下降的趋势。与未添加DA-6的对照组相比,采用2.5和5.0 mmol·L-1浓度的DA-6浸种处理,种子的发芽率有所提高,且种子的平均萌发时间缩短,这些变化在与10.0和15.0 mmol·L-1浓度处理相比较时,差异尤为显著。在NaCl胁迫条件下,种子发芽率、发芽势和发芽指数也表现出了相似的趋势,即先随DA-6浓度增加而增加,然后又随浓度继续增加而下降。在这些处理中,使用5.0 mmol·L-1浓度的DA-6浸种处理获得了最高的种子发芽率和发芽指数,相较于未使用DA-6浸种的处理,发芽率提高了18.52%,发芽指数提高了14.67%(图1)。

2.2 胺鲜酯浸种对NaCl胁迫下紫花苜蓿幼苗生长的影响

综合研究数据显示,NaCl胁迫和DA-6的单独作用以及它们的共同作用对幼苗根长的影响极显著(P<0.001);NaCl胁迫以及NaCl胁迫与DA-6的交互作用对幼苗的干重也显示出极显著的影响;然而,NaCl胁迫与DA-6的交互作用对幼苗鲜重和茎长的影响并不显著(P>0.05,表2)。

与仅使用蒸馏水的对照组相比,在受到150 mmol·L-1NaCl胁迫的情况下,当使用5.0和10.0 mmol·L-1浓度的DA-6浸种时,幼苗的鲜重略高于相应浓度的蒸馏水处理组。而在其他浓度浸种处理中,NaCl胁迫条件下的幼苗鲜重普遍低于蒸馏水处理组。此外,在NaCl胁迫处理下,幼苗的干重、根长和茎长均出现了显著的下降(P<0.05,图2)。

图2所示,在蒸馏水处理条件下,随着DA-6浓度的增加,幼苗的根长首先出现增长现象,随后又逐渐减少。与未添加DA-6的处理相比,采用5.0 mmol·L-1浓度的DA-6浸种处理使得幼苗的根长达到最大值,比蒸馏水处理组增加了12.20%,差异在统计学上达到显著水平。同时,随着DA-6浓度的增加,幼苗的鲜重和干重呈逐渐下降的趋势,而茎长的变化在各处理组之间没有显著差异。在NaCl胁迫处理下,幼苗的鲜重、根长和茎长也呈先增长而后又下降的趋势,其中在DA-6浸种处理下,幼苗的干重和鲜重均高于未浸种处理。特别是当使用5.0 mmol·L-1浓度的DA-6浸种时,幼苗的鲜重达到了最高值,与未浸种处理相比增加了327.62%,且达到差异显著水平。

2.3 胺鲜酯浸种对NaCl胁迫下紫花苜蓿抗氧化酶活性的影响

综合分析发现,NaCl胁迫、DA-6单独作用及其两者的交互作用对幼苗的抗氧化酶活性有极显著影响(P<0.001,表3)。

在遭受150 mmol·L-1NaCl胁迫的情况下,未添加DA-6浸种处理组的幼苗SOD活性显著高于相应的蒸馏水处理组;而当使用2.5 mmol·L-1浓度的DA-6浸种时,NaCl胁迫下,幼苗的CAT活性显著高于相应的蒸馏水处理组(P<0.05);至于其他浓度的DA-6浸种处理,在NaCl胁迫条件下,幼苗的POD和CAT活性均低于蒸馏水处理组(图3)。

在蒸馏水处理条件下,随着DA-6浓度的增加,POD活性首先下降,随后又上升,而CAT活性则持续下降。与未添加DA-6的处理相比,当使用5.0 mmol·L-1浓度的DA-6浸种时,幼苗的POD活性降至最低点,且差异达显著水平(P<0.05)。在NaCl胁迫处理下,随着DA-6浓度的增加,CAT活性则呈现出先上升的趋势而后又下降。与未添加DA-6的处理相比,当使用5.0 mmol·L-1浓度的DA-6浸种时,SOD活性降至最低,且差异显著。此外,CAT活性在2.5 mmol·L-1处理下达到最高,与蒸馏水浸种处理相比增加了74.18%,且差异达到显著水平。

2.4 胺鲜酯浸种对NaCl胁迫下紫花苜蓿幼苗渗透调节物质的影响

综合分析发现,NaCl胁迫、DA-6单独作用及其两者的交互作用对幼苗的叶绿素、可溶性糖、丙二醛、可溶性蛋白含量有极显著影响(P<0.001,表4)。

与仅使用蒸馏水的对照组相比,在受到150 mmol·L-1NaCl胁迫的情况下,幼苗中游离脯氨酸、丙二醛的含量均有所增加,而叶绿素的含量在0、5.0、10.0 mmol·L-1浓度的DA-6浸种处理下显著减少(P<0.05)。此外,可溶性糖的含量在经过10.0 mmol·L-1浓度的DA-6浸种处理后显著下降(图4)。

图4可知,在仅使用蒸馏水处理的条件下,与未添加DA-6的处理相比,采用5.0 mmol·L-1浓度的DA-6浸种处理使得幼苗的游离脯氨酸含量达到最高,比对照组增加了46.67%,且差异达到显著水平(P<0.05)。在2.5 mmol·L-1浓度的DA-6浸种处理下,叶绿素的含量达到最高,比对照组增加了49.58%,且差异达到显著水平。在10.0 mmol·L-1浓度的DA-6浸种处理后,可溶性糖的含量达到最高,比对照组增加了216.25%,且差异达到显著水平。不同浓度的DA-6浸种处理对于丙二醛含量的影响并不显著。而在5.0 mmol·L-1浓度的DA-6浸种处理下,可溶性蛋白的含量达到最高,比对照组增加了55.51%,且差异达到显著水平。

在NaCl胁迫处理条件下(图4),与未添加DA-6的处理相比,采用5.0 mmol·L-1浓度的DA-6浸种处理使得幼苗的游离脯氨酸含量达到最高,比对照组增加了60.27%,且差异达到显著水平。在15.0 mmol·L-1浓度的DA-6浸种处理下,叶绿素的含量达到最高,比对照组增加了59.46%,且二者之间差异显著。在5.0 mmol·L-1浓度的DA-6浸种处理后,可溶性糖的含量达到最高,比对照组增加了32.67%,且差异达到显著水平。在5.0 mmol·L-1浓度的DA-6浸种处理下,丙二醛的含量降至最低,比对照组减少了41.24%,二者之间差异显著。在2.5 mmol·L-1浓度的DA-6浸种处理下,可溶性蛋白的含量达到最高,比对照组增加了113.78%,差异达到显著水平。

2.5 DA-6浸种对NaCl胁迫下紫花苜蓿种子萌发理化性质相关性分析

基于Pearson相关系数,DA-6浸种对NaCl胁迫下紫花苜蓿种子萌发的理化性质变量之间进行两两相关性分析(表5),结果表明:多项指标间具有极显著或显著相关性(P<0.01或P<0.05)。其中发芽率与发芽势、发芽指数、干重、根长、茎长、叶绿素含量呈极显著正相关,与平均萌发时间、丙二醛含量呈极著负相关(P<0.01)。发芽势与发芽指数、干重、根长、茎长、叶绿素含量呈极显著正相关,与平均萌发时间、丙二醛含量呈极显著负相关。发芽指数与干重、根长、茎长、叶绿素含量呈极显著正相关,与平均萌发时间、丙二醛含量呈极显著负相关。鲜重与干重呈显著正相关,与丙二醛含量呈显著负相关(P<0.05)。干重与根长、叶绿素含量、POD活性呈显著正相关,与丙二醛含量呈显著负相关。根长与茎长、叶绿素含量呈极显著正相关,与丙二醛含量呈极显著负相关。茎长与叶绿素含量呈极显著正相关,与游离脯氨酸含量呈显著负相关,与丙二醛含量呈极显著负相关。游离脯氨酸与叶绿素含量、POD活性呈显著负相关。叶绿素与丙二醛含量呈极显著负相关。POD与CAT活性呈显著正相关。

根据指标相关性分析和因子主成分分析结果,利用综合隶属函数公式计算出不同处理下紫花苜蓿的生长情况(D值),结果如表6所示。蒸馏水处理紫花苜蓿时,DA-6对紫花苜蓿萌发的促进效果由高到低依次为:2.5、5.0 mmol·L-1,10.0、15.0 mmol·L-1则表现出抑制现象。在紫花苜蓿受到NaCl胁迫时,促进效果由高到低依次为:5.0、2.5、10.0 、15.0 mmol·L-1

3 讨论

种子萌发阶段,作为植物生命周期中最为活跃和敏感的时期,面临着盐碱胁迫带来的严峻挑战。在这一关键时期,种子对外界环境的适应性和耐受性成为决定其能否成功萌发的关键因素25。大量的科学研究已经证实,盐碱环境中的高盐浓度会对多种植物的种子萌发过程造成显著的抑制作用,这种抑制效应在不同植物种类中表现出不同的程度和特点26-28。在种子萌发的初期阶段,科研人员通常通过发芽率、发芽势和活力指数等一系列量化指标来评估种子的耐逆性和萌发潜力,这些指标能够直观地反映出种子在逆境中的生存能力和生长状态。而在种子萌发的后期阶段,随着幼苗的生长和发展,评估的重点逐渐转向了茎长和根长等更为直观的形态学指标,这些指标不仅反映了幼苗的生长速度,也间接体现了其在逆境中的适应策略和生存机制29。研究指出,通过种子预处理技术,如浸种处理,可以在一定程度上减轻盐胁迫对种子萌发的负面效应30。本试验探究150 mmol·L-1盐胁迫对紫花苜蓿种子萌发率和一系列关键指标的影响(图1),清晰地表明盐胁迫对紫花苜蓿种子萌发和幼苗生长的抑制效果。紫花苜蓿的发芽情况随DA-6浓度的增加呈现出一种复杂的动态变化,即先升后降的趋势,而鲜重在盐胁迫条件下随着DA-6浸种浓度的增加而发生显著变化,在5.0 mmol·L-1浓度下达到峰值。这可能是由于外源激素作用的两重性,即“低浓度促进,高浓度抑制”。以往的研究已经揭示,DA-6作为一种高效的外源性植物生长调节剂,不仅能够提高滁菊(Dendranthema morifolium)等植物的根系活力31,还能促进植物的整体生长和发育,增加干物质积累和枝条生长,从而在一定程度上增强了植物对逆境的抵抗能力32。本研究进一步探索了DA-6在盐胁迫条件下对紫花苜蓿种子干物质积累的影响。试验结果显示,DA-6浓度增加对紫花苜蓿种子干物质积累有一定的影响,这一发现与Yu等33之前的研究结果相吻合,这可能是由于不同植物对DA-6的响应存在差异。有研究表明,特定浓度的DA-6可能对番茄幼苗在镉胁迫下的生长产生促进或抑制的双重效应34。因此,考虑到植物种类的多样性和对DA-6敏感性的差异,对于在盐胁迫下能够显著促进紫花苜蓿幼苗生长的DA-6最佳浓度,仍需通过更为深入和细致的研究来进行探讨和确定。

植物在面对诸如盐碱或干旱等恶劣环境条件时,会启动一系列复杂的内部机制来适应和抵御这些不良环境的影响。这些胁迫因素,尤其是盐碱和干旱胁迫,常常对植物的生长发育造成长期且深远的负面效应,有时甚至是不可逆的。在盐胁迫环境中,植物根部所承受的高渗透压环境会严重阻碍其对水分的有效吸收,这种现象在极端情况下甚至会在水中出现类似于干旱的症状,即所谓的“生理干旱”。为了应对这种极端的环境压力,植物会采取一系列精细调控的策略,包括但不限于积累可溶性糖、游离脯氨酸等有机溶质,以及调节离子的摄取和分布,以此来维持细胞内外的渗透压平衡,确保细胞的正常功能不受损害35-36。本研究探讨了盐胁迫对植物叶片中叶绿素含量的影响,并评估了使用DA-6进行浸种处理对缓解这种影响的效果。研究结果表明,盐胁迫确实会导致植物叶片中叶绿素含量的显著下降,这一现象直接影响了植物的光合作用效率,进而对植物的整体生长和发育产生了负面影响。然而,通过使用DA-6进行浸种处理,发现这种方法能够在一定程度上可提高叶绿素的含量。这一积极效应可能归因于DA-6能够减轻盐胁迫对叶绿体结构的损伤,保护叶绿体免受进一步的伤害,从而维持了叶绿素的正常合成和积累37。在试验中,对经过DA-6浸种处理的幼苗进行分析后,观察到:幼苗体内游离脯氨酸、可溶性糖和可溶性蛋白的含量随着浸种浓度的增加呈现出一种先增后降的动态趋势。这一现象表明,植物通过积累这些有机化合物,有效地提高了细胞内液体的浓度,从而在渗透压层面实现了内外平衡。值得注意的是,不同植物种类在有机化合物积累的类型和数量上存在显著差异,这反映了植物在应对环境胁迫时的多样性和复杂性38。丙二醛(malondialdehyde, MDA)作为细胞膜脂质过氧化反应的关键产物,其含量被广泛认为是衡量植物遭受胁迫程度的重要生物标志物。大量的研究表明,丙二醛含量与植物所受胁迫的严重程度呈正相关39-40。在本研究中,同样可以观察到盐胁迫导致丙二醛含量显著上升的现象,这一发现暗示了盐胁迫可能引起了细胞内大分子物质的损伤,导致了活性氧代谢的失衡,进而抑制了细胞的呼吸代谢过程,对植物的代谢活动产生了直接或间接的影响41-42。经过DA-6浸种处理后,丙二醛含量出现了下降,特别是在2.5和5.0 mmol·L-1的浸种浓度下,这种下降效果尤为明显。这一结果表明,DA-6浸种处理在一定程度上减缓了细胞受到的损伤,为植物提供了保护。曹亦芹等43发现DA-6浸种处理可以有效缓解白三叶种子因盐胁迫引起的氧化损伤,有利于细胞膜的稳定性,本研究结果与这一发现高度一致。这些研究成果不仅加深了对植物如何应对盐胁迫机制的理解,而且为开发新的农业技术,特别是提高作物的耐盐性和适应性提供了宝贵的科学依据。

在逆境下,植物体内会产生大量的活性氧(ROS),这些活性氧通过攻击细胞内的多种结构,导致细胞遭受继发性损伤,最终威胁细胞的完整性和功能。已有研究显示,DA-6浸种处理能够提升在Cr6+胁迫下白三叶种子萌发过程中的抗氧化酶活性,并减少活性氧的含量18。在本研究中,可以观察到盐胁迫显著降低了幼苗中POD和CAT的活性。随着DA-6浓度的增加,SOD和POD的活性在2.5 mmol·L-1时达到较高水平,而在5.0 mmol·L-1时则相对较低,CAT的活性则呈先升高后降低的趋势。这些酶活性的波动可能与丙二醛(MDA)等氧化应激产物的累积及其对细胞造成的损伤程度密切相关。这可能是由于2.5 mmol·L-1时盐胁迫条件刺激了植物体内的抗氧化酶系统,增强其活性,以此来提高植物清除活性氧的能力44-45,而在5.0 mmol·L-1时,由于其他渗透物质的增加,缓解了盐胁迫对植物细胞的损伤,从而抗氧化酶活性降低,具体的影响机制有待进一步研究。在清除活性氧的过程中,超氧化物歧化酶(SOD)首先将多余的ROS自由基转化为过氧化氢(H2O2)和氧气(O2),随后过氧化物酶(POD)和过氧化氢酶(CAT)协同工作,将H2O2分解为水和氧气46,这也可能导致POD、SOD、CAT复杂的动态变化。相关研究还表明,DA-6能够减少白三叶种子萌发过程中膜脂过氧化的损伤43,并且在铅或镉胁迫下,能够显著提高黑麦草(Lolium perenne)叶片的抗氧化酶活性47。本研究在盐胁迫条件下,2.5 mmol·L-1的DA-6浸种处理与其他浓度处理相比,显著提升了POD和CAT的活性,增强了植物的抗氧化酶活性,从而加强了植物清除活性氧的能力。这一发现表明,适当的DA-6浸种处理能够在一定程度上减轻盐胁迫带来的氧化损伤对植物的负面影响,提高植物在逆境中的生存能力。

4 结论

NaCl胁迫使紫花苜蓿种子发芽率、发芽势、发芽指数显著降低,使用DA-6浸种可以在一定程度上缓解NaCl胁迫对种子萌发带来的消极影响。在蒸馏水处理下,不同浓度DA-6处理对紫花苜蓿作用表现出“低浓度促进,高浓度抑制”的效果,其中2.5 mmol·L-1促进效果最好。在NaCl胁迫下,试验中DA-6浸种处理对紫花苜蓿萌发和生长均有一定的促进作用,其中5.0 mmol·L-1促进效果最好。

参考文献

[1]

Shabala S. Learning from halophytes: physiological basis and strategies to improve abiotic stress tolerance in crops. Annals of Botany, 2013, 112(7): 1209-1221.

[2]

Ondrasek G, Rathod S, Manohara K K, et al. Salt stress in plants and mitigation approaches. Plants, 2022, 11(6): 717.

[3]

Huang J, Kong Y L, Xu Q S, et al. Progresses for characteristics and amelioration measures of saline soil. Soils, 2022, 54(1): 18-23.

[4]

黄晶, 孔亚丽, 徐青山, 盐渍土壤特征及改良措施研究进展. 土壤, 2022, 54(1): 18-23.

[5]

Qadir M, Oster J D, Schubert S, et al. Phytoremediation of sodic and saline-sodic soils. Advances in Agronomy, 2007, 96: 197-247.

[6]

Sun Q Z, Yu Z, Xu C C. Urgency of further developing alfalfa industry in China. Pratacultural Science, 2012, 29(2): 314-319.

[7]

孙启忠, 玉柱, 徐春城. 我国苜蓿产业亟待振兴. 草业科学, 2012, 29(2): 314-319.

[8]

Amirinejad A A, Sayyari M, Ghanbari F, et al. Salicylic acid improves salinity-alkalinity tolerance in pepper (Capsicum annuum L.). Advances in Horticultural Science, 2017, 31(3): 157-163.

[9]

Wang X S, Ren H L, Wei Z W, et al. Effects of neutral salt and alkali on ion distributions in the roots, shoots, and leaves of two alfalfa cultivars with differing degrees of salt tolerance. Journal of Integrative Agriculture, 2017, 16(8): 1800-1807.

[10]

Khan I, Muhammad A, Chattha M U, et al. Mitigation of salinity-induced oxidative damage, growth, and yield reduction in fine rice by sugarcane press mud application. Frontiers in Plant Science, 2022, 13(26): 840900.

[11]

Khatri K, Rathore M S. Salt and osmotic stress-induced changes in physio-chemical responses, PSII photochemistry and chlorophyll a fluorescence in peanut. Plant Stress, 2022, 3: 100063.

[12]

Ghosh U K, Islam M N, Siddiqui M N, et al. Understanding the roles of osmolytes for acclimatizing plants to changing environment: A review of potential mechanism. Plant Signaling & Behavior, 2021,16(8): 1913306.

[13]

Chauhan J, Srivastava J P, Singhal R K, et al. Alterations of oxidative stress indicators, antioxidant enzymes, soluble sugars, and amino acids in mustard [Brassica juncea(L.) Czern and Coss.] in response to varying sowing time, and field temperature. Frontiers in Plant Science, 2022, 13(3): 875009.

[14]

Libertad Carrasco-Ríos, Pinto M Manuel. Effect of salt stress on antioxidant enzymes and lipid peroxidation in leaves in two contrasting corn, ‘Lluteno’ and ‘Jubilee’. Chilean Journal of Agricultural Research, 2014, 74(1): 89-95.

[15]

Pan L Q, Wei H Z, Zhang H, et al. Effects of chitosan on seed germination and seedling growth of Trifolium repens under salt stress. Molecular Plant Breeding, 2018, 16(11): 3740-3744.

[16]

潘丽芹, 韦海忠, 张浩, 壳聚糖对盐胁迫下白三叶种子萌发及幼苗生长的缓解作用. 分子植物育种, 2018, 16(11): 3740-3744.

[17]

Zheng X F, Sun B J, Liu L, et al. A study on acute toxicity of hexanoic acid 2- (diethylamino) ethyl ester. Journal of Henan Agricultural University, 2006, 40(1): 74-76.

[18]

郑先福, 孙炳剑, 刘玲, 己酸二乙氨基乙醇酯急性毒性研究. 河南农业大学学报, 2006, 40(1): 74-76.

[19]

Zhang X M, Wang Y X, Zhu Y Z, et al. Effects of diethyl aminoethyl hexanoate on nutrient uptake and physiological indexse of Cyphomandra betacea seedlings. Journal of Yunnan Agricultural University (Natural Science), 2023, 38(4): 606-614.

[20]

张雪梅, 王雨熙, 朱沿舟, 胺鲜酯对树番茄幼苗养分吸收和生理指标的影响. 云南农业大学学报(自然科学), 2023, 38(4): 606-614.

[21]

Huang W T, Feng N J, Zheng D F, et al. Effects of uniconazole and diethyl aminoethyl hexanoate on photosynthetic characteristics and carbon metabolism of soybean leaves. Soybean Science, 2020, 39(2): 243-251.

[22]

黄文婷, 冯乃杰, 郑殿峰, 烯效唑和胺鲜酯对大豆叶片光合特性与碳代谢的调控效应. 大豆科学, 2020, 39(2): 243-251.

[23]

Wang C X, Ren R J, Chang R X, et al. Optimum concentration of different bioactive substances to improve the germination and salt tolerance of maize seeds. Journal of China Agricultural University, 2020, 25(7): 20-27.

[24]

王晨霞, 任如佳, 常瑞雪, 生物活性物质提高玉米种子萌发及抗盐能力. 中国农业大学学报, 2020, 25(7): 20-27.

[25]

Wang D, Tian Y L, Zhang H J, et al. Effects of diethyl aminoethyl hexanoate on seed germination characteristics of white clover under chromium stress. Pratacultural Science, 2021, 38(10): 1986-1997.

[26]

王铎, 田雨龙, 张鸿建, 胺鲜酯对铬胁迫下白三叶种子萌发特性的影响. 草业科学, 2021, 38(10): 1986-1997.

[27]

Liu L, Han J, Deng L, et al. Effects of diethyl aminoethyl hexanoate on the physiology and selenium absorption of grape seedlings. Acta Physiologiae Plantarum, 2021, 43: 115.

[28]

Huang P, Li Q W, Sun L F, et al. Effects of NaCl stress on seed germination and leaf physiological characteristics of Veronica persica Poir. Journal of Xinyang Normal University (Natural Science Edition), 2021, 34(2): 195-200.

[29]

黄萍, 李庆伟, 孙龙飞, NaCl胁迫对阿拉伯婆婆纳种子萌发及叶片生理特性的影响. 信阳师范学院学报(自然科学版), 2021, 34(2): 195-200.

[30]

Giannopolites C N, Ries S K. Superoxide dismutase occurrence in higher plants. Plant Physiology, 1977, 59(2): 309-314.

[31]

Nakano Y, Asada K. Hydrogen peroxide is scavenged by ascorbate-specific peroxidase in spinach chloroplasts. Plant and Cell Physiology, 1980, 22(5): 867-880.

[32]

Chen J X, Wang X F. Experimental guidance of plant physiology. Guangzhou: South China University of Technology Press, 2022.

[33]

陈建勋, 王晓峰. 植物生理学实验指导. 广州: 华南理工大学出版社, 2002.

[34]

Li H S. Principles and techniques of plant physiology and biochemical experiments. Beijing: Higher Education Press, 2001: 134-170.

[35]

李合生. 植物生理生化实验原理和技术. 北京: 高等教育出版社, 2001: 134-170.

[36]

lbrahim E A. Seed priming to alleviate salinity stress in germinating seeds. Plant Physiology, 2016, 15(192): 38-46.

[37]

Khoso M A, Hussain A, Ritonga F N, et al. WRKY transcription factors (TFs): Molecular switches to regulate drought, temperature, and salinity stresses in plants. Frontiers in Plant Science, 2022, 13(8): 1039329.

[38]

Zhang X, Yang F, Ma H Y, et al. Evaluation of the saline-alkaline tolerance of rice (Oryza sativa L.) mutants induced by heavy-ion beam mutagenesis. Biology, 2022, 11(1): 126.

[39]

Feng S, Ren L, Sun H, et al. Morphological and physiological responses of two willow species from different habitats to salt stress. Scientific Reports, 2020, 10(1): 18228.

[40]

Cheng C, Liu J, Wang Z, et al. Analysis of effect of compound salt stress on seed germination and salt tolerance analysis of pepper (Capsicum annuum L.). Journal of Visualized Experiments, 2022, 30(189): e64702.

[41]

Farooq M, Irfan M, Aziz T, et al. Seed priming with ascorbic acid improves drought resistance of wheat. Journal of Agronomy and Crop Science, 2013, 199(1): 12-22.

[42]

Wu Y, Geng S D, Shi C J, et al. Effects of DA-6 on growth and leaf nitrogen metabolism of Dendranthema morifolium cv ‘chuju’ seedlings. Journal of Nuclear Agricultural Sciences, 2014, 28(12): 2283-2289.

[43]

吴燕, 耿书德, 史长江, DA-6对滁菊幼苗生长及叶片氮代谢的影响. 核农学报, 2014, 28(12): 2283-2289.

[44]

Liu Q, Huo R, Lin L, et al. Effects of different rootstocks on cadmium accumulation of grafted Cyphomandra betacea seedlings. International Journal of Environmental Analytical Chemistry, 2019, 99(12): 1-8.

[45]

Yu C, Yang Y, Li X, et al. Effects of plant growth regulators on remediation efficiency of Solanum nigrum L. in serious cadmium polluted soil. Subtropical Resource and Environment, 2019, 14(3): 1-5.

[46]

Dong Y, Liang L, Lin L, et al. Effects of diethyl aminoethyl hexanoate (DA-6) on the growth and cadmium accumulation of tomato seedlings. Environmental Progress & Sustainable Energy, 2021, 40(4): e13627.

[47]

Li Z, Peng D, Zhang X, et al. Na+ induces the tolerance to water stress in white clover associated with osmotic adjustment and aquaporins-mediated water transport and balance in root and leaf. Environmental and Experimental Botany, 2017, 144(1): 11-24.

[48]

Niu X M, Bressan R, Hasegawa P, et al. Ion homeostasis in NaCl stress environments. Plant Physiology, 1995, 109(3): 735-742.

[49]

Vaculik M, Pavlovic A, Lux A. Silicon alleviates cadmium toxicity by enhanced photosynthetic rate and modified bundle sheath’s cell chloroplasts ultrastructure in maize. Ecotoxicology and Environmental Safety, 2015, 120(1): 66-73.

[50]

Gupta B, Huang B. Mechanism of salinity tolerance in plants: Physiological, biochemical, and molecular characterization. International Journal of Genomics, 2014, 2014(1): 701596.

[51]

Li M, Zhang J, Li Y J, et al. Research progress on the physiology and salt tolerance genes of plants. Jiangsu Agricultural Sciences, 2012, 40(10): 45-49.

[52]

李敏, 张健, 李玉娟, 植物耐盐生理及耐盐基因的研究进展. 江苏农业科学, 2012, 40(10): 45-49.

[53]

Zhao F B, Wang L Q, Ji G H. Effects of NaCl stress on plant biology indicators and MDA content of 3 submerged plants. Environmental Pollution & Control, 2012, 34(10): 40-44.

[54]

赵风斌, 王丽卿, 季高华. 盐胁迫对3种沉水植物生物学指标及叶片中丙二醛含量的影响. 环境污染与防治, 2012, 34(10): 40-44.

[55]

Sathiyaraj G, Srinivasan S, Kim Y J, et al. Acclimation of hydrogen peroxide enhances salts tolerance by activating defense-related proteins in Panax ginseng C.A. Meyer. Molecular Biology Reports, 2014, 41(6): 3761-3771.

[56]

Parvin S, Lee O R, Sathiyaraj R, et al. Spermidine alleviates the growth of saline-stressed ginseng seedlings through antioxidative defense system. Gene, 2014, 537(1): 70-78.

[57]

Cao Y Q, Cheng B Z, Li Z. Effects of the seed soaking with DA-6 on germination characteristics and stress tolerance of white clover under salt stress. Acta Agrestia Sinica, 2023, 31(1): 140-147.

[58]

曹亦芹, 程碧真, 李州. 胺鲜酯(DA-6)浸种对盐胁迫下白三叶种子萌发及抗盐性的影响. 草地学报, 2023, 31(1): 140-147.

[59]

Li W, Guo J J, Li H Y. Effects of H2O2 on the growth of kale seedlings under salt stress. Jiangsu Agricultural Sciences, 2017, 45(22): 149-152.

[60]

李伟, 郭君洁, 李鸿雁. H2O2对盐胁迫下羽衣甘蓝幼苗生长的影响. 江苏农业科学, 2017, 45(22): 149-152.

[61]

Liu A R. Effect of salt stress on the growth and the antioxidant enzyme activity of Thellungiella halophila. Bulletin of Botanical Research, 2006, 26(2): 216-221.

[62]

Wang Q, Xu W, Ren C, et al. Physiological and biochemical mechanisms of exogenous melatonin regulation of saline-alkali tolerance in oats. Agronomy, 2023, 13(5): 1327.

[63]

Wu Q, He S. Effects of DA-6 and EDTA on enhancing the remediation of Pb contaminated soil and physiological characteristics of Lolium perenne. Journal of Soil and Water Conservation, 2013, 27(6): 67-72.

基金资助

国家重点研发计划项目(2021YFD1500705)

国家重点研发计划项目(2021YFD1500600)

AI Summary AI Mindmap
PDF (2925KB)

1622

访问

0

被引

详细

导航
相关文章

AI思维导图

/