干旱及复水对河北木蓝生物量分配与渗透调节特征的影响

雍嘉仪 ,  马霜 ,  马风华 ,  赵小娜 ,  张译尹 ,  胡海英

草业学报 ›› 2025, Vol. 34 ›› Issue (07) : 158 -170.

PDF (7681KB)
草业学报 ›› 2025, Vol. 34 ›› Issue (07) : 158 -170. DOI: 10.11686/cyxb2024330
研究论文

干旱及复水对河北木蓝生物量分配与渗透调节特征的影响

作者信息 +

Effects of drought stress and rehydration on biomass allocation and osmotic regulation characteristics of Indigofera bungeana

Author information +
文章历史 +
PDF (7865K)

摘要

植物在遭受干旱胁迫后复水,会经历应激适应、伤害、修复过程,且不同植物对水分亏缺的敏感性不同,复水后的恢复效应也存在差异。因此,研究植物耐旱性与复水后的恢复效应对植物抗旱节水育种具有重要意义。本研究采用盆栽控水模拟干旱胁迫和复水处理,以野生型和栽培型河北木蓝为对象,在持续干旱胁迫3、6、10和13 d以及复水2和7 d后进行生长及生理生化指标测定,研究干旱胁迫和复水条件下2种木蓝的生物量分配策略和响应干旱的渗透调节生理机制及其种内差异。结果表明:1)随干旱持续时间的延长,2种木蓝器官生物量、根系分布特征(总根长、根表面积、根体积、根分枝数)、淀粉含量以及根-中性转化酶(neutral invertase, NIV)活性逐渐降低;而根冠比、脯氨酸(Pro)含量、丙二醛(MDA)含量、蔗糖含量、蔗糖合酶(sucrose synthase, SUS)活性、α-淀粉酶(α-amylase, α-AL)活性、叶-NIV活性均逐渐增加。2)复水处理7 d后,除了根系分布特征和MDA含量外,其他指标均恢复至对照水平,均具有补偿生长能力。3)基于各指标的主成分分析结果,相比之下,栽培型木蓝各指标变化幅度均显著大于野生型,对干旱胁迫具有更强的耐受性。由此可见,2种木蓝在干旱胁迫下积累渗透调节物质,以此维持细胞膨压,缓解细胞膜受损,并调控蔗糖和淀粉代谢酶活性,进而使生物量分配倾向于根系,为促进根系对水分吸收而提供能量,复水后二者均具有显著的补偿效应。

Abstract

Plants under drought stress show various types of injury, and have adaptation strategies and repair processes that function during rehydration after drought stress. The degree of sensitivity to water deficit and the extent of recovery after rehydration differ among different plants. Therefore, it is of great significance to study drought tolerance and recovery after rehydration to breed drought-resistant and water-saving plants. In this research, a comparative analysis was conducted using wild and cultivated species of Indigofera bungeana. The plants were subjected to a drought stress treatment, imposed by controlling the water level in pots, followed by rehydration. Growth and physiological indexes were measured at 3, 6, 10, and 13 days of the drought stress treatment and at 2 and 7 days after rehydration. We explored the effects of drought stress and rehydration on biomass distribution to different organs, root distribution, and osmotic regulation, with an aim to analyze biomass allocation strategies and the physiological mechanisms of the drought response, and compared these characteristics between wild and cultivated I. bungeana. The main results of the study are as follows: 1) With prolonged drought stress, the organ biomass, root allocation characteristics (total root length, root surface area, root volume, root branches), starch content, and activity of root neutral invertase (NIV) decreased, whereas the root-shoot ratio, the contents of proline, malondialdehyde (MDA), and sucrose, and the activities of sucrose synthase, α-amylase, and leaf NIV gradually increased. 2) At 7 days after rehydration, except for root distribution and MDA content, all the other growth and physiological indexes returned to the control level, indicating that the plants were capable of compensatory growth after drought. 3) A principal component analysis based on all the indexes showed that the amplitude of the change in the indexes was significantly greater in the cultivated species than in the wild one, indicating that the cultivated species is more tolerant to drought stress. Under continuous drought stress, the two species of I. bungeana maintained turgor pressure by accumulating osmolarity-regulating substances, which alleviated damage to cell membranes. Moreover, the activity of sucrose- and starch-metabolizing enzymes was regulated to allocate biomass to the root system, and to provide energy to promote water absorption by the root system as adaptations to drought stress. Both species showed significant compensatory growth after rehydration.

Graphical abstract

关键词

河北木蓝 / 干旱及复水 / 生物量分配 / 渗透调节 / 补偿生长

Key words

Indigofera bungeana / drought and rehydration / biomass allocation / osmotic regulation / compensatory growth

引用本文

引用格式 ▾
雍嘉仪,马霜,马风华,赵小娜,张译尹,胡海英. 干旱及复水对河北木蓝生物量分配与渗透调节特征的影响[J]. 草业学报, 2025, 34(07): 158-170 DOI:10.11686/cyxb2024330

登录浏览全文

4963

注册一个新账户 忘记密码

近年来,全球气候变化导致干旱、暴雨发生的频率逐年增加,降水失衡使阶段性干旱程度不断加剧,而植物则会遭受阶段性干旱与降水的交替影响,因此,植物抗旱性研究不仅要关注植物自身的抗旱能力,还有干旱复水后的恢复生长能力1。在植物的生长性状适应干旱胁迫方面,器官生物量分配可综合反映环境因子对植物生长的影响以及植物对外界环境的适应能力。根系是植物吸水的主要器官,当土壤水分出现亏缺,根区土壤干旱时,根系导水率显著降低。而根系对土壤水分吸收能力直接影响着植株整体水分状态2,植物会通过调整各器官的生物量分配策略来适应干旱胁迫3。大多数研究认为,在干旱条件下,植物叶片会提前成熟衰老,同时新梢生长和新叶萌发会受到抑制,导致叶面积减少,这会降低整株植物的同化能力,则植株同化物总量及生物量降低4,在此过程中,植物将大部分资源分配至地下根系,使植物根系的生物量占整个植物生物量的比例增大,即根冠比增加5,以促进植物根系的吸收和用水。综上,干旱胁迫影响同化物从叶片向地下根系的转运,继而影响了生物量的分配策略。复水后,土壤水分充足时,植物通过增加地上生物量的分配比例促进光合产能6。对干旱-复水条件下小麦7Triticum aestivum)、玉米8Zea mays)、刺槐9Robinia pseudoacacia)等植物的研究发现,恢复供水后植物迅速发生补偿性生长及恢复光合等生理生化变化,然而不同植物在恢复过程中表现有所不同10
植物在干旱胁迫下会通过渗透调节方式来抵抗逆境胁迫,表现为主动积累溶质降低渗透势来提高细胞液浓度,从而降低水势11,维持细胞膨压。脯氨酸(proline, Pro)、可溶性糖和淀粉都是重要的渗透调节物质,在植物受到逆境胁迫时会显著积累以保护植物免受氧化胁迫的损伤12,维持自身的正常生长,能够指示植物对外部环境干扰的抗性强弱。其中,淀粉和可溶性糖,在特定情况下两者可实现相互转化,在植物新陈代谢、抵抗逆境胁迫过程中发挥重要作用13。蔗糖是可溶性糖的主要组分,其合成、转运、降解分配能够影响植物的产量和品质,协调叶片和根系的碳同化物质分配14。研究发现,干旱胁迫使植物叶片积累蔗糖,降低淀粉含量,这一现象与蔗糖合成的关键酶:蔗糖合酶(sucrose synthase, SUS)、中性转化酶(neutral invertase, NIV),以及α-淀粉酶(α-amylase, α-AL)的活性有关15。植物通过生长生理的综合作用来影响碳水化合物的分配,在体内储存渗透调节物质来提供能量,缓解干旱胁迫。
河北木蓝(Indigofera bungeana)是豆科木蓝属(Indigofera)小灌木,别名马棘、狼牙草、长穗马棘等,生态适应性强、饲用价值高、水土保持能力强,是一种优质的多用途植物,木蓝属植物在中国约有120种,广泛分布于山西、湖北、四川、贵州等地,在宁夏六盘山地区分布有2个种。已有研究发现,木蓝具有较强的生态改良与水土保持能力,其吸收固定磷的能力比胡枝子(Lespedeza bicolor)强,是良好的磷矿废弃地生态修复植物,其水分利用效率显著高于胡枝子和紫穗槐(Amorpha fruticosa),表现出更强的抗旱性16。木蓝叶片的粗蛋白含量是粗纤维的两倍,完全符合饲用蛋白植物资源标准17。因此,木蓝既可作为生态修复灌草,也可以作为一种优质蛋白质饲草进行开发利用。目前关于木蓝的研究多集中在饲用研究、基础抗性研究等方面,不同种源的木蓝对干旱-复水的生长与生理生化响应差异尚不清晰。基于此,本研究以野生型和栽培型河北木蓝为对象,比较2种木蓝在模拟干旱胁迫及复水条件下器官生物量、根系分布特征、丙二醛(malondialdehyde, MDA)、Pro、蔗糖与淀粉含量及其代谢关键酶活性等指标的变化特征,初步揭示干旱胁迫及复水条件下2种木蓝的生物量分配策略和响应干旱的渗透调节生理机制及其种内差异,为培育优良抗旱木蓝新品种提供试验支持。

1 材料与方法

1.1 试验概况

研究对象分别为:野生型木蓝(简称ML),种子采自宁夏六盘山国家自然保护区(35°35′ N,106°31′ E);栽培型木蓝(简称MJ)是河北木蓝的驯化栽培材料,种子收集于重庆市畜牧科学院,由宁夏大学草业实验室提供。试验于2022年3-8月在宁夏大学草业科学实验室及宁夏大学农科实验实习基地玻璃温室(38°51′ N,106°13′ E)内进行,试验期间玻璃温室内平均气温为26~30 ℃,平均湿度为52%~67%。

1.2 试验设计

试验采用完全随机设计。种植时选取颗粒饱满、无损伤的野生型和栽培型木蓝种子,于育苗盘进行育苗,待种子发芽后正常管理至幼苗长到5 cm高时,移植至塑料花盆(直径10 cm、高12 cm)。移植前测试营养土最大田间持水量为28%。待幼苗长至10 cm左右且长势一致时开始模拟控水试验。为防止水分蒸发,在土壤表面覆盖一层聚乙烯塑料颗粒,土壤蒸发水量可忽略不计18

以正常供水为对照,土壤含水量为田间持水量的70%~80%。利用盆栽自然干旱法19,试验开始后停止给植株供水,自然干旱至不同处理水平,试验共设置两组处理:正常供水(CK)和干旱胁迫/复水(DR),对应的干旱胁迫天数分别为3、6、10、13 d。称重控制各处理土壤水分含量,并于每天傍晚浇水来保持不同干旱胁迫水平。当田间持水量达到(20±5)%时进行复水,复水处理分别为复水后2、7 d。共计6个控水处理,每个处理设置3次生物学重复。在开始干旱胁迫处理后的3、6、10、13 d,复水后2、7 d进行采样,将地上部分和根系均全部收获,测定各项生理生化指标。

1.3 指标测定

生物量:每个处理采集5株完整木蓝植株,分开根、茎、叶,称重前用滤纸吸干表面水分;用1/10000电子天平(LE204E/02,上海)分别称量各器官的鲜重。然后将样品置于105 ℃ 烘箱中杀青30 min,70 ℃干燥至恒重,冷却后分别称取各器官干重,计算根冠比,根冠比=根系生物量干重/地上生物量干重。

根系结构特征:将各处理木蓝根系先用去离子水清洗干净,然后将植物放入透明托盘中,装满10~15 mL蒸馏水,让根系完全展开。采用台式根系扫描仪(J331B,日本)对根系进行扫描后导出数据确定根长、根体积、根表面积和根分枝数。

生理生化指标:各处理木蓝地上部分和根系分开,将鲜样用液氮速冻,在-80 ℃冰箱保存。Pro含量测定采用酸性茚三酮比色法20;MDA含量测定采用硫代巴比妥酸(thiobarbituric acid, TBA)法21。各处理蔗糖、淀粉含量、SUS、NIV、α-AL活性采用试剂盒测定,所有试剂盒均购自北京索莱宝科技有限公司(Solarbio)。

1.4 数据处理

采用Excel 2018和SPSS 27.0对数据进行整理和统计分析,采用单因素方差分析(one-way ANOVA),通过Duncan法进行数据之间的差异显著性检验(P<0.05),采用Origin 2024和Excel 2018进行图形绘制。

2 结果与分析

2.1 干旱及复水处理对2种木蓝生长形态的影响

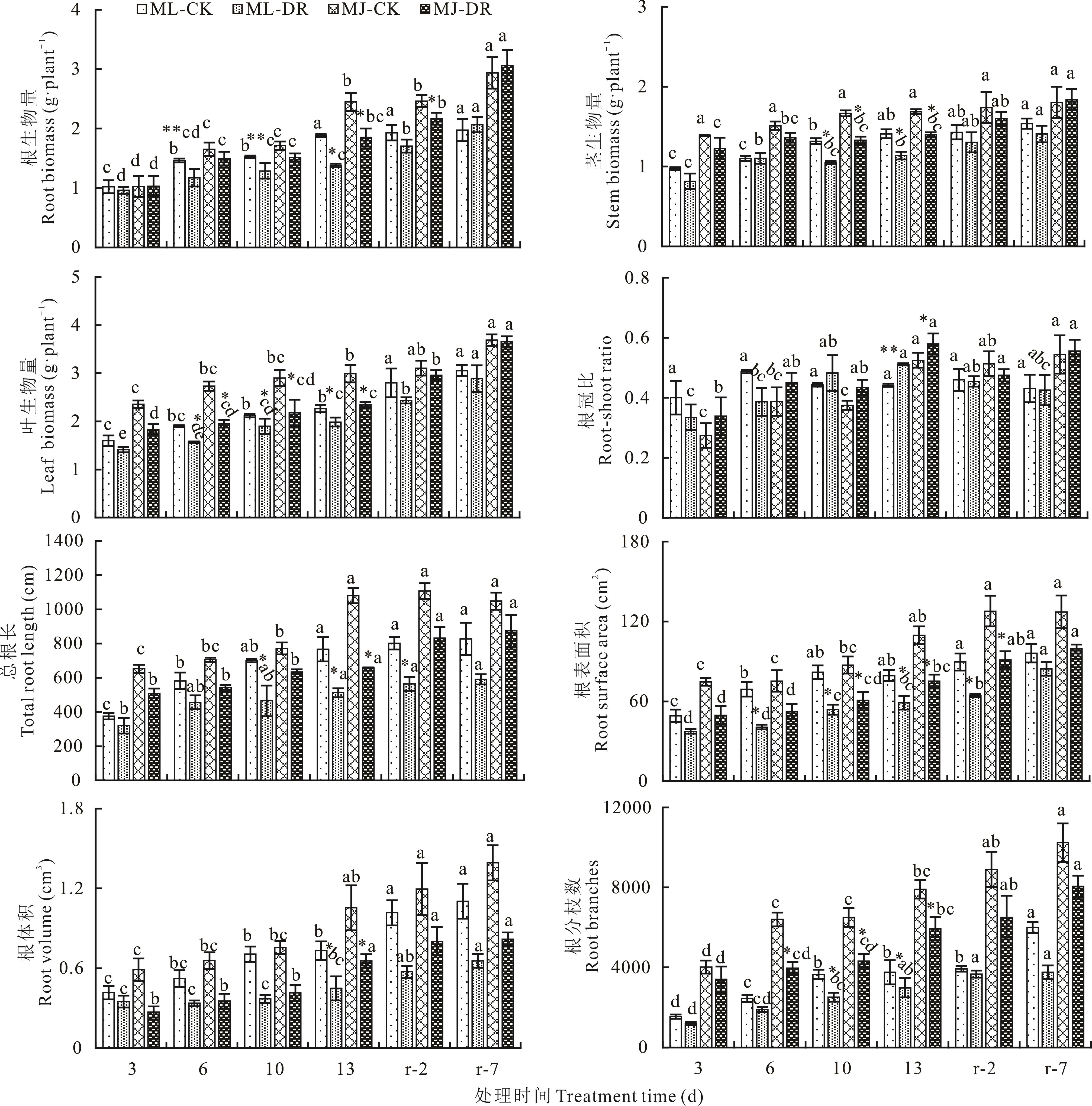
图1所示,随着生长时间延长,ML-CK和MJ-CK各器官的生物量均呈不断增长的趋势,且栽培型的生长速度快于野生型。野生型的各器官生物量均低于栽培型。与ML-CK和MJ-CK相比,干旱下2种木蓝根、茎、叶的生物量均呈下降趋势,野生型木蓝的根生物量在持续干旱6、10 d相比于ML-CK分别极显著降低了20.4%、12.8%(P<0.01),在13 d相比于ML-CK显著降低了21.8%(P<0.05);栽培型木蓝的根生物量在持续干旱13 d后相比于MJ-CK显著降低了33.3%(P<0.05)。在复水7 d后,2种木蓝各器官生物量均趋于对照水平,其中栽培型的各器官生物量均恢复至对照水平,且此时2种木蓝的根生物量高于ML-CK和MJ-CK。在持续干旱3、6、10、13 d时,栽培型的根冠比呈显著上升趋势(P<0.05),野生型自6 d后根冠比开始增加,到10 d时高于对照,在持续干旱13 d时,野生型、栽培型木蓝的根冠比较ML-CK和MJ-CK分别增加了13.6%、10.1%。另外,2种木蓝总根长、根表面积、根体积、根分枝数随着生长时间的延长呈稳定增长的趋势。随着干旱胁迫程度的加剧,野生型木蓝的总根长在10 d显著降低(P<0.05),2种木蓝的根表面积、根分枝数在10和13 d较ML-CK和MJ-CK均显著降低(P<0.05),根体积在13 d均显著降低(P<0.05)。野生型、栽培型总根长在13 d较ML-CK和MJ-CK分别显著降低了33.6%、39.4%。野生型、栽培型的根表面积和根体积在13 d较ML-CK和MJ-CK分别显著降低了26.2%、32.5%和40.3%、36.5%。复水处理后,2种木蓝根系各结构特征值仍低于ML-CK和MJ-CK。

2.2 干旱及复水处理对2种木蓝脯氨酸和丙二醛含量的影响

图2所示,随生长时间的延长,2种木蓝叶片和根中的MDA含量均呈现出在干旱胁迫时增加复水后平稳的趋势,且叶片中Pro和MDA含量均高于根,栽培型叶片和根中Pro和MDA含量高于野生型。随着干旱胁迫的持续,2种木蓝叶片和根中的Pro和MDA含量在3、6、10、13 d均呈显著上升趋势。在干旱胁迫持续13 d时,野生型、栽培型叶片中的Pro含量较ML-CK和MJ-CK分别增加了44.6%、39.2%,根中的Pro含量较ML-CK和MJ-CK分别增加了61.6%、54.4%。野生型、栽培型叶片中的MDA含量较ML-CK和MJ-CK分别显著增加了110.9%、100.5%,根中的MDA含量较ML-CK和MJ-CK分别显著增加了147.3%、163.4%(P<0.01)。复水后,2种木蓝叶片和根中的Pro和MDA含量均降低,但复水时间的延长对MDA含量无显著影响。复水7 d后,2种木蓝叶片和根中Pro含量恢复至对照水平,且根Pro含量低于对照水平,而MDA含量未恢复,仍高于对照水平。复水后栽培型的Pro和MDA含量均高于野生型。

2.3 干旱及复水处理对2种木蓝蔗糖和淀粉含量的影响

图3所示,随生长时间的延长,2种木蓝叶片和根中蔗糖含量均呈上升趋势并显著大于ML-CK和MJ-CK,淀粉含量呈上升趋势并显著小于ML-CK和MJ-CK,栽培型叶片中的蔗糖含量显著高于野生型(P<0.01),干旱胁迫10 d后,栽培型根中的蔗糖含量逐渐低于野生型。在干旱胁迫持续13 d时,野生型、栽培型叶片中的蔗糖含量较ML-CK和MJ-CK分别增加了33.6%、83.6%,根中的蔗糖含量较ML-CK和MJ-CK分别增加了42.2%、31.8%。野生型、栽培型叶片中的淀粉含量较ML-CK和MJ-CK分别降低了20.5%、45.7%,根中的淀粉含量较ML-CK和MJ-CK分别降低了21.6%、13.9%。复水后,2种木蓝的蔗糖含量均降低,其中,栽培型叶片中蔗糖含量高于野生型,栽培型根中蔗糖含量低于野生型; 2种木蓝叶片和根中的淀粉含量仍呈上升趋势,且随复水时间的延长而增加,复水7 d后,2种木蓝根中的淀粉含量均高于对照水平。

2.4 干旱及复水处理对2种木蓝蔗糖和淀粉代谢关键酶活性的影响

图4所示,在3、6、10、13 d干旱胁迫处理下,2种木蓝叶片和根中的SUS、NIV、α-AL活性随着胁迫时间的延长逐渐增加,其中,栽培型叶片和根中的SUS活性均比野生型高。在持续干旱13 d后,野生型、栽培型叶片中SUS活性较ML-CK和MJ-CK分别增加了38.3%、42.8%,野生型、栽培型根中SUS活性较ML-CK和MJ-CK分别增加了45.5%、29.4%。栽培型叶片中的NIV活性均比野生型高,除13 d胁迫处理外,野生型根中的NIV活性均高于栽培型。在持续干旱13 d后,野生型、栽培型叶片中NIV活性较ML-CK和MJ-CK分别增加了34.1%、27.6%,野生型、栽培型根中NIV活性较ML-CK和MJ-CK分别降低了47.3%、17.3%,在3、6、10 d干旱胁迫处理下,野生型叶片和根中α-AL活性均比栽培型高,13 d后,栽培型高于野生型。在持续干旱13 d后,野生型、栽培型叶片中α-AL活性较ML-CK和MJ-CK分别显著增加了85.2%、66.4%(P<0.05),野生型、栽培型根中α-AL活性较ML-CK和MJ-CK分别显著增加了200.3%、98.5%。复水7 d后,2种木蓝叶片和根中的SUS、α-AL活性均恢复至对照水平。

2.5 主成分分析

对2种木蓝在干旱胁迫及复水处理下的各项指标进行主成分分析,如图5所示,前两个主成分的贡献率为78.4%,其中,根生物量、根分枝数、淀粉含量在第一主成分上有较高的载荷,Pro、MDA和蔗糖含量在第二主成分上有较高载荷。2种木蓝的指标作用范围大部分重叠,栽培型木蓝的变化范围大于野生型。

3 讨论

3.1 木蓝器官生物量及根系分布特征对干旱胁迫及复水的响应

在干旱胁迫下,植物生物量及其向不同器官的分配比例反映了植物对环境胁迫的适应方式和能力22。根系是植物吸收和运输土壤养分及微量元素的重要部位,比地上部分具有更明显的可塑性,其应对水分变化的表现更为直接,能够以更大程度吸收有限的养分和水分23。为响应环境水分变化,植物能够调整根系的分布特征以改善对水分的利用。干旱胁迫通过抑制植物的根长、根表面积控制对水分的吸收,并且根系的减少相比于地上部分幅度较小,这表明植物通过协调叶片和根的碳同化物分配策略,提高根冠比以抵御干旱胁迫24-26。李冬琴等27研究了3种豆科灌木山毛豆(Tephrosia candida)、望江南(Cassia occidentalis)和猪屎豆(Crotalaria pallida),发现在严重干旱时,3种灌木的根冠比最大,说明3种植物适应严重干旱均通过大幅降低地上部生物量,从而增加根冠比来实现。李振松等28研究发现干旱胁迫显著抑制苜蓿(Medicago sativa)根系结构特征分布,苜蓿会通过改变根系构型等方式来增强耐旱性。在本研究中,干旱胁迫显著抑制了2种木蓝根、茎、叶的生物量积累,减少了根系分布,且2种木蓝之间存在显著差异,其中栽培型木蓝的生物量、根系分布特征值(总根长、根表面积、根体积、根分枝数)显著大于野生型,这种差异可能是由2种木蓝种源地不同的生长环境与基因型造成的。2种木蓝均通过提高根冠比来响应干旱胁迫,符合水资源对植物生物量的最优分配理论,即土壤水分亏缺时,植物会将更多生物量分配至根部,降低茎和叶生物量的分配,以使获取受限资源的能力最大化29-30。干旱复水后植物往往会产生补偿性生长,在复水处理后,2种木蓝的器官生物量、根冠比均在7 d后恢复至对照。在遭受一定程度的水分胁迫并恢复后,2种木蓝仍能保持一定的生物量。由此可见,严重干旱抑制了2种木蓝的植株生长和发育,抑制了地上生物量的积累。植株将光合产物分配到根中,通过促进根系变长、变细、增大与土壤接触面积来扩大水分吸收范围,保持对水分的获取能力,加强对土壤水分的利用。

3.2 木蓝脯氨酸和丙二醛含量对干旱胁迫及复水的响应

干旱胁迫下植物细胞的膜系统首先遭受损害,这致使细胞膜的透性增大,细胞内容物外渗,稳定性降低,且植物组织受伤害越严重,电解质就越多,膜透性的提高会使渗透调节物质迅速增加,导致细胞内部的电解质流至细胞外,造成相对电导率的改变31。MDA的含量能够反映植物细胞膜的损伤程度及衡量氧化损伤的程度32-33,Pro含量在水分胁迫下大量积累对调节细胞水势起关键作用,在复水后能够参与生理修复34。张平等35研究发现干旱胁迫下,不同小麦品种的Pro、MDA含量均呈上升趋势,复水处理后Pro含量明显下降、MDA含量上升。安钰等36研究发现,甘草(Glycyrrhiza uralensis)叶片中MDA含量随干旱程度加剧而持续上升,复水后各处理下MDA含量均降低。左小容等37研究发现干旱后复水能够使丹参(Salvia miltiorrhiza)幼苗的MDA含量恢复至正常水平。本研究也发现了相似的生理现象,随着干旱胁迫程度的增加,2种木蓝叶片和根中Pro、MDA含量均呈上升趋势。其中,叶片中Pro和MDA含量均高于根中。复水后,2种木蓝叶片和根中Pro、MDA含量均有所降低,说明2种木蓝在应对干旱胁迫时通过增加Pro和MDA含量,维持细胞膨压减少膜损伤。复水处理7 d后,野生型和栽培型的Pro含量均恢复至对照水平,而MDA含量未恢复,说明持续干旱后复水处理2种木蓝仍具有恢复能力,但胁迫对2种木蓝植物细胞已经造成了一定程度的损伤。相较于野生型,栽培型对干旱的反应更积极,不同处理下,栽培型Pro含量均显著高于野生型(P<0.001),且变化幅度大于野生型,说明增强渗透调节能力是栽培型木蓝适应干旱胁迫的重要生理机制。

3.3 木蓝蔗糖和淀粉含量及其关键酶活性对干旱胁迫及复水的响应

蔗糖是植物叶片光合作用产生的同化物,也是有机碳运输的主要形式。干旱胁迫会抑制对碳同化物的固定,而植物的生长需要能量刺激蔗糖的合成和运输。淀粉是植物体内贮藏的高分子碳水化合物,其水解产物是植物生长发育的能量来源,也是调节渗透压和传递信号以响应环境胁迫的重要物质38,还可用于复水后组织的修复39。研究表明,干旱胁迫会降低淀粉质量分数,而增加可溶性糖质量分数40。本研究中,在严重干旱胁迫下,2种木蓝叶片和根中蔗糖含量相较于对照上升,淀粉含量下降,栽培型木蓝的蔗糖和淀粉含量显著高于野生型,这与同化产物关键酶活性的变化相一致。说明,干旱时增加的蔗糖运输到各器官后被催化水解为具有缓冲作用的果糖和构成细胞基础分子的葡萄糖,缓解细胞所受的伤害,维持细胞正常生理代谢41。而此时淀粉含量下降,说明胁迫前储存的淀粉部分水解为可溶性糖以发挥其渗透调节功能,维持细胞膨压。复水后,2种木蓝中的淀粉含量均上升且随时间延长而增加,且复水7 d后,2种木蓝根中的淀粉含量均高于对照水平。可见,在干旱胁迫解除后,植物首先会重建淀粉的储存,为复水后器官的修复和重建提供能量,表现出显著的补偿效应42

蔗糖的合成和降解主要由SUS和NIV参与43。SUS是蔗糖代谢过程的关键酶,可以催化蔗糖的合成以及分解,参与植物渗透调节、淀粉生物合成及抗逆等通路,以平衡细胞质与其他细胞区室之间的渗透平衡,直接影响植物的生长发育过程44-45。光合同化产物运输主要通过质外体韧皮部运输到根组织,此时NIV主要发挥水解蔗糖作用,而干旱胁迫会增强NIV的活性,以保证源库之间的蔗糖浓度平衡46。α-AL是淀粉水解的关键酶,叶片中的淀粉主要降解为麦芽糖,麦芽糖转化为己糖磷酸合成蔗糖运输至根系。因此,干旱胁迫会显著增加植物SUS、α-AL的活性1947,促进蔗糖合成,而降低淀粉的积累48。本研究中,2种木蓝叶片和根中SUS、α-AL活性相较于对照在持续干旱胁迫下均显著增加,2种木蓝叶片NIV活性显著上升,根系NIV活性显著降低。复水后2种木蓝叶片和根中SUS、NIV、α-AL活性恢复至对照水平。表明干旱胁迫条件下,2种木蓝通过调节α-AL活性,增加叶片和根系中己糖的含量用于合成蔗糖,再通过调节SUS活性分解蔗糖促进向根系运输,这与以上生物量的分配模式相对应。因此,栽培型木蓝生物量同时受蔗糖代谢酶和淀粉代谢酶的影响较大,进而影响了同化产物的积累与分配,再次证明栽培型对干旱胁迫的响应相较于野生型更积极。另外,干旱胁迫下木蓝叶片中NIV活性的增加,有助于蔗糖水解并向根系运输,而根系NIV活性相较于对照降低,说明根系的蔗糖水解能力降低,浓度减少,此时根系吸收水分的能量主要来自叶片的蔗糖运输。

植物复水后的首要任务是对干旱造成的伤害进行修复,即植物从适宜水分—严重干旱—适宜水分的过程,变为经历应激—适应—伤害—修复过程49。干旱胁迫下根系中积累的渗透调节物质在复水后可以作为能量或碳、氮来源以加快植株的恢复50。本研究中,干旱胁迫对木蓝抗旱性的影响程度因种源不同而异,但在主成分分析中两者响应的生理指标作用范围大部分重叠。总的来说,2种木蓝对干旱及复水具有相似的响应机制。其中,栽培型渗透调节生理指标变化幅度大于野生型,对干旱胁迫具有更强的耐受性。

4 结论

本研究探讨了野生型和栽培型河北木蓝对干旱胁迫及复水的生理生化响应过程。干旱胁迫下,2种木蓝会主动降低光合作用面积,调节叶片和根系碳同化物质的分配,使光合同化物优先向根系分配,促进根系生长,提高根系活力。与此同时,2种木蓝通过积累渗透调节物质来缓解细胞膨压,并适时转化物质形式,促进养分和能量向根系运输。复水处理后,除根系结构特征和MDA含量外,其余指标均恢复至对照水平,均具有补偿生长能力。其中,栽培型表现出更强的耐旱性。综上,2种木蓝均在形态结构上形成一种主动避免的耐旱机制,生理上通过调节渗透物质,维持膜透性,减缓水分流失,以适应干旱胁迫。

参考文献

[1]

Wang X X, Li Y, Zhang B, et al. Effects of drought stress and rehydration on root growth and physiological characteristics of oats. Acta Agrestia Sinica, 2020, 28(6): 1588-1596.

[2]

王晓雪, 李越, 张斌, 干旱胁迫及复水对燕麦根系生长及生理特性的影响. 草地学报, 2020, 28(6): 1588-1596.

[3]

Xu S R, Zhang E H, Ma R L, et al. Hydraulic characteristics of Lycium barbarum L. seedlings under drought stress and re-watering conditions. Chinese Journal of Eco-Agriculture, 2017, 25(8): 1190-1197.

[4]

胥生荣, 张恩和, 马瑞丽, 干旱胁迫及复水对耐旱枸杞水力学特性的影响. 中国生态农业学报, 2017, 25(8): 1190-1197.

[5]

Cui W Y, Liu S J, Wei Y W, et al. Effects of nitrogen addition on biomass allocation of Pinus koraiensis and Fraxinus mandshurica seedlings under water stress. Chinese Journal of Applied Ecology, 2019, 30(5): 1454-1462.

[6]

崔婉莹, 刘思佳, 魏亚伟, 氮添加和水分胁迫对红松、水曲柳幼苗生物量分配的影响. 应用生态学报, 2019, 30(5): 1454-1462.

[7]

Cui W J, Chang Z Y, Li N. Effects of drought stress on physiological ecology and yield of soybean. Journal of Water Resources and Water Engineering, 2013, 24(4): 20-24.

[8]

崔维佳, 常志云, 李宁. 干旱胁迫对大豆生理生态及产量的影响. 水资源与水工程学报, 2013, 24(4): 20-24.

[9]

Wang Y, Guo H L, Zong J Q, et al. Growth and physiological responses of two Zoysia germplasms with different drought resistance under drought stress and rewatering conditions. Jiangsu Agricultural Sciences, 2022, 50(9): 159-168.

[10]

汪毅, 郭海林, 宗俊勤, 干旱胁迫及复水条件下2种抗旱性不同结缕草种质的生长和生理响应. 江苏农业科学, 2022, 50(9): 159-168.

[11]

Xie R J, Zhang X J, Liu J P, et al. Synergistic effects of drought and shade on component morphology and biomass allocation of Arthraxon hispidus. Pratacultural Science, 2017, 34(7): 1496-1505.

[12]

谢瑞娟, 张小晶, 刘金平, 干旱和遮阴对荩草构件形态及生物量分配的影响. 草业科学, 2017, 34(7): 1496-1505.

[13]

Wang L, Zhang T, Ding S Y. Effect of drought and rewatering on photosynthetic physioecology of wheat of differing ploidy. Acta Ecologica Sinica, 2008, 28(4): 1593-1600.

[14]

王磊, 张彤, 丁圣彦. 干旱和复水对不同倍性小麦光合生理生态的影响. 生态学报, 2008, 28(4): 1593-1600.

[15]

Shao Y J, Shan L, Li G M. Comparison of osmotic regulation and antioxidation between sorghum and maize seedlings under soil drought stress and water recovering conditions. Chinese Journal of Eco-Agriculture, 2006, 14(1): 68-70.

[16]

邵艳军, 山仑, 李广敏. 干旱胁迫与复水条件下高粱、玉米苗期渗透调节及抗氧化比较研究. 中国生态农业学报, 2006, 14(1): 68-70.

[17]

Li J W, Wang J X, Zhang M L, et al. Effect of drought and rewater on leaf water potential of Robinia pseudoacacia. Journal of Northwest Forestry University, 2009, 24(3): 33-36.

[18]

李继文, 王进鑫, 张慕黎, 干旱及复水对刺槐叶水势的影响. 西北林学院学报, 2009, 24(3): 33-36.

[19]

Zhou Z Y, Liang Z S, Li S, et al. Effect of water stress and re-watering on relative water content, protective enzyme and photosynthetic characteristics of wild jujube. Chinese Journal of Eco-Agriculture, 2011, 19(1): 93-97.

[20]

周自云, 梁宗锁, 李硕, 干旱-复水对酸枣相对含水量、保护酶及光合特征的影响. 中国生态农业学报, 2011, 19(1): 93-97.

[21]

Hu X W, Wang Y R, Wu Y P. Research progress on eco-physiological responses of desert grassland plants to drought conditions. Acta Prataculturae Sinica, 2004, 13(3): 9-15.

[22]

胡小文, 王彦荣, 武艳培. 荒漠草原植物抗旱生理生态学研究进展. 草业学报, 2004, 13(3): 9-15.

[23]

Liu Y, Yang W, Ma H L, et al. Effects of salt stress on seedling physiological characteristics of six kentucky bluegrass. Journal of Gansu Agricultural University, 2019, 54(5): 140-150, 162.

[24]

刘燕, 杨伟, 马晖玲, 盐胁迫对6种草地早熟禾幼苗生理特性的影响. 甘肃农业大学学报, 2019, 54(5): 140-150, 162.

[25]

Zou Q Q, Wang Y S, Jiang Z Y, et al. Non-structural carbohydrate allocation and interspecific differences of different soil and water conservation tree species in typical black soil region. Journal of Beijing Forestry University, 2021, 43(10): 1-8.

[26]

邹青勤, 王奕淞, 蒋治岩, 典型黑土区不同水土保持树种的非结构性碳水化合物特征及种间差异. 北京林业大学学报, 2021, 43(10): 1-8.

[27]

Qi Y J, Xing X H, Wang H R, et al. Effect of GmYUC12a on sucrose metabolism in soybean lateral roots under drought stress. Journal of Nuclear Agricultural Sciences, 2024, 38(12): 2294-2304.

[28]

齐玉军, 邢兴华, 王好让, 干旱胁迫下GmYUC12a对大豆侧根蔗糖代谢的影响. 核农学报, 2024, 38(12): 2294-2304.

[29]

Chen L H, Yang X M, Jia H, et al. Effects of elevated temperature and drought on sugar accumulation, key sucrose enzymes metabolism and related genes expression in fruit of jujube cultivar Lingwuchangzao. Journal of Nuclear Agricultural Sciences, 2020, 34(9): 2112-2123.

[30]

陈丽华, 杨喜盟, 贾昊, 气温升高与干旱对灵武长枣果实糖积累、蔗糖代谢关键酶及相关基因表达的影响. 核农学报, 2020, 34(9): 2112-2123.

[31]

Guo Y R, Chen F Q. Indigofera tinctoria and Lespedeza floribunda ecophysiological responses to high phosphorus stress and characteristics of phosphorus absorb and utilization. Journal of Fujian Forestry Science and Technology, 2011, 38(2): 50-55.

[32]

郭彦荣, 陈芳清. 木蓝和胡枝子对高磷胁迫的生理生态响应及其磷吸收利用特征. 福建林业科技, 2011, 38(2): 50-55.

[33]

Ran Q F, He W, Xu Y D, et al. Research development of Indigofera pseudotinctoria Matsum. China Feed, 2019, 633(13): 87-90.

[34]

冉启凡, 何玮, 徐远东, 优质木本饲用植物马棘研究进展. 中国饲料, 2019, 633(13): 87-90.

[35]

Zhang H, Hu H Y, Li H X, et al. Physiological response and transcriptome analysis of the desert steppe dominant plant Lespedeza potaninii to drought stress. Acta Prataculturae Sinica, 2023, 32(7): 188-205.

[36]

张浩, 胡海英, 李惠霞, 荒漠草原优势植物牛枝子对干旱胁迫的生理响应与转录组分析. 草业学报, 2023, 32(7): 188-205.

[37]

Zhang D, Liu Y, Zhang H, et al. Response of osmotic regulators and sucrose metabolization-related enzymes to drought stress in Glycyrrhiza uralensis. Acta Botanica Boreali-Occidentalia Sinica, 2020, 40(5): 819-827.

[38]

张东, 刘艳, 张晗, 甘草叶片渗透调节物质及蔗糖代谢相关酶对干旱胁迫的响应特性. 西北植物学报, 2020, 40(5): 819-827.

[39]

Yao Y P. Mining of genes in peony in response to high temperature stress based on transcriptome sequencing technology. Changsha: Central South University of Forestry & Technology, 2022.

[40]

姚奕平. 基于转录组测序技术挖掘牡丹响应高温胁迫基因研究. 长沙: 中南林业科技大学, 2022.

[41]

Zhang H, Zhang H, Liu X, et al. Root damage under alkaline stress is associated with reactive oxygen species accumulation in rice (Oryza sativa L.). Frontiers in Plant Science, 2017, 8(8): 1580.

[42]

Agnieszka J, Miroslaw K, Iwona S. Gene expression regulation in roots under drought. Journal of Experimental Botany, 2016, 67(4): 1003-1014.

[43]

Xu F, Guo W H, Xu W H, et al. Effects of water stress on morphology, biomass allocation and photosynthesis in Robinia pseudoacacia seedlings. Journal of Beijing Forestry University, 2010, 32(1): 24-30.

[44]

徐飞, 郭卫华, 徐伟红, 刺槐幼苗形态、生物量分配和光合特性对水分胁迫的响应. 北京林业大学学报, 2010, 32(1): 24-30.

[45]

Yan H X, Fang L B, Huang D Z. Effects of drought stress on the biomass distribution and photosynthetic characteristics of cluster mulberry. Chinese Journal of Applied Ecology, 2011, 22(12): 3365-3370.

[46]

闫海霞, 方路斌, 黄大庄. 干旱胁迫对条墩桑生物量分配和光合特性的影响. 应用生态学报, 2011, 22(12): 3365-3370.

[47]

Wang X D, Cao L P, Liu Y D. Effects of drought stress on root morphology & biomass allocation of Betula maximowicziana. Protection Forest Science and Technology, 2011(5): 20-22, 50.

[48]

王晓冬, 曹立萍, 刘延迪. 干旱胁迫对真桦根系形态及生物量分配的影响. 防护林科技, 2011(5): 20-22, 50.

[49]

Li M D, Zhang H P. Effects of water stress and rewatering on the dry matter accumulation, root shoot ratio and yield of pea. Journal of Desert Research, 2016, 36(4): 1034-1040.

[50]

李明达, 张红萍. 水分胁迫及复水对豌豆干物质积累、根冠比及产量的影响. 中国沙漠, 2016, 36(4): 1034-1040.

[51]

Li D Q, Zeng P C, Chen G K, et al. Effects of drought stress on biomass distribution and physiological characteristics in three kinds of leguminous shrubs. Journal of Central South University of Forestry & Technology, 2016, 36(1): 33-39.

[52]

李冬琴, 曾鹏程, 陈桂葵, 干旱胁迫对3种豆科灌木生物量分配和生理特性的影响. 中南林业科技大学学报, 2016, 36(1): 33-39.

[53]

Li Z S, Wan L Q, Li S, et al. Response of alfalfa root architecture and physiological characteristics to drought rehydration. Acta Prataculturae Sinica, 2021, 30(1): 189-196.

[54]

李振松, 万里强, 李硕, 苜蓿根系构型及生理特性对干旱复水的响应. 草业学报, 2021, 30(1): 189-196.

[55]

Guo H X, Xu B, Wu Y, et al. Allometric partitioning theory versus optimal partitioning theory: the adjustment of biomass allocation and internal C-N balance to shading and nitrogen addition in Fritillaria unibracteata (Liliaceae). Polish Journal of Ecology, 2016, 64(2): 189-199.

[56]

Linghu K N, Wang S. Responses of biomass allocation to population density and soil water in Abutilon theophrasti at different growth stages. Bulletin of Botanical Research, 2023, 43(2): 272-280.

[57]

令狐克念, 王姝. 不同生长阶段苘麻生物量分配对种群密度和土壤水分的响应. 植物研究, 2023, 43(2): 272-280.

[58]

Wang X, Hu H L, Hu T X, et al. Effects of drought stress on the osmotic adjustment and active oxygen metabolism of Phoebe zhennan seedlings and its alleviation by nitrogen application. Chinese Journal of Plant Ecology, 2018, 42(2): 240-251.

[59]

王曦, 胡红玲, 胡庭兴, 干旱胁迫对桢楠幼树渗透调节与活性氧代谢的影响及施氮的缓解效应. 植物生态学报, 2018, 42(2): 240-251.

[60]

Zang Z F, Bai J, Liu C, et al. Variety specificity of alfalfa morphological and physiological characteristics in response to drought stress. Acta Prataculturae Sinica, 2021, 30(6): 73-81.

[61]

臧真凤, 白婕, 刘丛, 紫花苜蓿形态和生理指标响应干旱胁迫的品种特异性. 草业学报, 2021, 30(6): 73-81.

[62]

Li Y P, Peng Y. Improvement of oxidation resistance protection and adjustment ability regulation of white clover seedlings by exogenous IAA under PFG stress. Pratacultural Science, 2017, 34(11): 2295-2302.

[63]

李亚萍, 彭燕. IAA改善PEG处理下白三叶幼苗叶片抗氧化保护和渗透调节能力. 草业科学, 2017, 34(11): 2295-2302.

[64]

Fan W J, Zhang M, Zhang H X, et al. Improved tolerance to various abiotic stresses in transgenic sweet potato (Ipomoea batatas) expressing spinach betaine aldehyde dehydrogenase. PLoS One, 2017, 7(5): e37344.

[65]

Zhang P, Zhang H, Liu J N, et al. Effects of drought and re-watering treatment on physiological and biochemical indexes of different drought-resistant wheat varieties/lines at seedling stage. Acta Agriculturae Boreali-Occidentalis Sinica, 2020, 29(12): 1795-1802.

[66]

张平, 张慧, 刘俊娜, 干旱及复水处理对抗旱性不同小麦品种/系苗期生理生化指标的影响. 西北农业学报, 2020, 29(12): 1795-1802.

[67]

An Y, Zhang Q Y, Li S B, et al. Effects of drought stress and rehydration on antioxidant enzyme activity and photosynthetic characteristic of Glycyrrhiza uralensis Fisch. Journal of Ningxia Agriculture and Forestry Science and Technology, 2021, 62(7): 1-5.

[68]

安钰, 张清云, 李生兵, 干旱胁迫及复水对甘草叶片抗氧化酶活性和光合特性的影响. 宁夏农林科技, 2021, 62(7): 1-5.

[69]

Zuo X R, Liang Z S, Tian Z, et al. Effect of progressive drying and rewatering on leaf protective enzyme activities of Salvia miltiorrhiza. Acta Agriculturae Boreali-Occidentalis Sinica, 2011, 20(2): 110-113.

[70]

左小容, 梁宗锁, 田胄, 持续干旱胁迫及复水对丹参幼苗抗氧化酶活性的影响. 西北农业学报, 2011, 20(2): 110-113.

[71]

Mukerjea R, Robyt F J. Starch biosynthesis: sucrose as a substrate for the synthesis of a highly branched component found in 12 varieties of starches. Carbohydrate Research, 2003, 338(18): 1811-1822.

[72]

Zhang Y N, Lei L, Xia B. Effects of drought stress and rewatering on seedling growth and physiological characteristics of Lysimachia davurica. Pratacultural Science, 2016, 33(9): 1681-1689.

[73]

张彦妮, 雷蕾, 夏斌. 干旱胁迫及复水对黄连花幼苗生长和生理特性的影响. 草业科学, 2016, 33(9): 1681-1689.

[74]

Guo X Y, Peng C H, Li T, et al. The effects of drought and re-watering on non-structural carbohydrates of Pinus tabulaeformis seedlings. Biology, 2021, 10(4): 281.

[75]

Wang Y X, Shan L S, Xie T T, et al. The effects of drought-rehydration on non-structural carbohydrates in Reaumuria soongorica seedlings. Chinese Journal of Ecology, 2024, 43(2): 383-394.

[76]

王雲霞, 单立山, 解婷婷, 干旱-复水对红砂幼苗各器官非结构性碳水化合物的影响. 生态学杂志, 2024, 43(2): 383-394.

[77]

Jin S Y, Peng Z D, Zhang S L. The impact of varying degrees of drought stress and rehydration treatment on the physiological indicators of Robinia pseudoacacia seedlings. Journal of Northeast Forestry University, 2024, 52(10): 27-39.

[78]

金思雨, 彭祚登, 张舒乐. 不同程度干旱胁迫和复水处理对刺槐苗木生理指标的影响. 东北林业大学学报, 2024, 52(10): 27-39.

[79]

Zhao J H, Li H X, An W, et al. Sugar metabolism and photosynthetic characteristics in leaf of Lycium barbarum L. under drought stress. Acta Botanica Boreali-Occidentalia Sinica, 2013, 33(5): 970-975.

[80]

赵建华, 李浩霞, 安巍, 干旱胁迫对宁夏枸杞叶片蔗糖代谢及光合特性的影响. 西北植物学报, 2013, 33(5): 970-975.

[81]

Li X X, Ding M M, Liu Y, et al. Clone and differential expression of sucrose synthase gene Sus2 from Nostoc flagelliforme under drought stress. Molecular Plant Breeding, 2018, 16(20): 6662-6669.

[82]

李晓旭, 丁苗苗, 刘阳, 干旱胁迫下发菜蔗糖合成酶基因Sus2克隆与差异表达. 分子植物育种, 2018, 16(20): 6662-6669.

[83]

He J, Tang Y, Li X R, et al. Effects of water deficit on photosynthetic characteristic and sucrose-starch synthesis of wheat awns and flag leaf. Agricultural Research in the Arid Areas, 2021, 39(6): 53-61, 78.

[84]

和娟, 唐燕, 李晓瑞, 水分亏缺对小麦芒和旗叶光合特性及蔗糖、淀粉合成的影响. 干旱地区农业研究, 2021, 39(6): 53-61, 78.

[85]

Deng S Y, Mai Y T, Chen H P, et al. Bioinformatics and expression analysis of the sucrose synthase (SUS) and invertase (INV) gene families in Citrus grandis ‘Seedless’. Plant Physiology Journal, 2018, 54(10): 1576-1586.

[86]

邓舒雅, 麦贻婷, 陈惠萍, 无籽蜜柚蔗糖合成酶(SUS)和蔗糖转化酶(INV)基因家族生物信息学及表达分析. 植物生理学报, 2018, 54(10): 1576-1586.

[87]

Gao Y T, Zhang R, Li H X, et al. Effect of water stress on sugar accumulation and sucrose metabolism enzyme activities of greenhouse grape fruit. Arid Zone Research, 2021, 38(6): 1713-1721.

[88]

高彦婷, 张芮, 李红霞, 水分胁迫对葡萄糖分及其蔗糖代谢酶活性的影响. 干旱区研究, 2021, 38(6): 1713-1721.

[89]

Gao H, Zhang H F, Yuan S A, et al. Response of plant endogenous hormone to drought threat stress. Journal of Green Science and Technology, 2013(11): 5-7.

[90]

高辉, 张红芳, 袁思安, 植物内源激素对干旱胁迫的响应研究. 绿色科技, 2013(11): 5-7.

[91]

An Y Y, Liang Z S. Staged strategy of plants in response to drought stress. Chinese Journal of Applied Ecology, 2012, 23(10): 2907-2915.

[92]

安玉艳, 梁宗锁. 植物应对干旱胁迫的阶段性策略. 应用生态学报, 2012, 23(10): 2907-2915.

[93]

Wu R N, Shi F L, Xu B. Medicago ruthenica (L.) Sojak. cv. Zhilixing response and adaptation strategy to drought stress and rehydration. Chinese Journal of Eco-Agriculture, 2020, 28(12): 1901-1912.

[94]

乌日娜, 石凤翎, 徐舶. 直立型扁蓿豆对干旱胁迫和复水的响应及适应策略. 中国生态农业学报, 2020, 28(12): 1901-1912.

基金资助

自治区重点研发计划重点项目(2022CMG02011)

国家自然科学基金(32160406)

宁夏高等学校一流学科建设(草学学科)项目(NXYLXK2017A01)

AI Summary AI Mindmap
PDF (7681KB)

1335

访问

0

被引

详细

导航
相关文章

AI思维导图

/