带型配置对青贮玉米-大豆复合种植体冠层特性、产量和品质的影响

毛海龙 ,  邰继承 ,  杨恒山 ,  张玉芹 ,  张瑞富 ,  王真真

草业学报 ›› 2025, Vol. 34 ›› Issue (08) : 30 -42.

PDF (4076KB)
草业学报 ›› 2025, Vol. 34 ›› Issue (08) : 30 -42. DOI: 10.11686/cyxb2024447
研究论文

带型配置对青贮玉米-大豆复合种植体冠层特性、产量和品质的影响

作者信息 +

Effect of strip configuration on canopy characteristics, yield, and the quality of silage produced from co-cultivated corn and soybean

Author information +
文章历史 +
PDF (4173K)

摘要

以玉米金岭17和大豆东豆9为材料,采用二因素裂区试验设计,米豆间距设50、60、70 cm三个水平、行比配置设2∶2、2∶4、4∶4、4∶6四个水平,研究不同带型配置对以青贮利用为目的的米豆复合种植体相邻行的冠层特性、干物质积累、产量和品质的影响。结果表明,60 cm米豆间距和4∶4行比配置可改善米豆复合种植体的地上部冠层光合环境,共同影响光能的分布利用,进而促进米豆复合种植体相邻行玉米的光合物质积累,有利于叶面积指数和SPAD值的提高,促进冠层叶片光合能力的增加,进而增加玉米生物产量。在整体带型配置中,大豆生物量随着米豆间距及行数的增加而提高,在60 cm米豆间距、4∶4行比配置模式下玉米生物产量最高,大豆生物产量虽略低,但在该带型配置下米豆复合体生物产量及单位面积粗蛋白质产出量最高。综上所述,60 cm米豆间距、4∶4行比配置模式可推荐为西辽河平原灌区以青贮利用为目的较为适宜的米豆复合种植模式。

Abstract

In this study, we determined the effects of different strip configurations on the canopy characteristics, dry matter accumulation, and yield of corn (Zea mays) and soybean (Glycine max) plants, and on the quality of silage made from these two species co-cultivated under field conditions. The corn cultivar Jinling 17 and the soybean cultivar Dongdou 9 were used in a field experiment with a two-factor split-zone experimental design. The two factors were corn-soybean row spacing (three levels: 50, 60, and 70 cm), and row-ratio configuration (four configurations: 2 rows corn∶2 rows soybean, 2∶4, 4∶4, and 4∶6). It was found that the corn-soybean row spacing of 60 cm and the 4∶4 row ratio configuration improved the aboveground canopy photosynthetic environment of co-cultivated corn and soybean plants. These two factors jointly affected the distribution of light energy, and the optimal spacing and row configuration promoted the accumulation of photosynthetic products in corn plants in adjacent rows. This was conducive to the improvement of leaf area index and SPAD value, and led to an increase in the photosynthetic capacity of canopy leaves, thereby increasing the biological yield of corn. Across all the different strip configurations, soybean biomass increased with increasing corn-soybean spacing and numbers of adjacent rows. The biological yield of corn was the highest in the 60 cm corn-soybean spacing and 4∶4 row ratio configuration pattern, although the biological yield of soybean was slightly lower in this treatment than in the other treatments. The biological yield of corn+soybean and crude protein output per unit area were the highest in the 60 cm corn-soybean spacing and 4∶4 row ratio configuration pattern. In summary, 60 cm corn-soybean spacing and a 4∶4 row ratio configuration are recommended as the best corn-soybean planting pattern for silage production in the irrigated area of the Xiliaohe Plain.

Graphical abstract

关键词

青贮用玉米 / 大豆 / 带型配置 / 冠层特性 / 产量

Key words

silage corn / soybeans / strip configuration / canopy characteristics / yield

引用本文

引用格式 ▾
毛海龙,邰继承,杨恒山,张玉芹,张瑞富,王真真. 带型配置对青贮玉米-大豆复合种植体冠层特性、产量和品质的影响[J]. 草业学报, 2025, 34(08): 30-42 DOI:10.11686/cyxb2024447

登录浏览全文

4963

注册一个新账户 忘记密码

玉米(Zea mays)-大豆(Glycine max)复合种植是一种集约利用土地、经济高效的种植模式,充分发挥玉米的边行效应和耐阴型大豆的生物固氮作用,在不减少玉米产量的前提下,同时种植并收获一季大豆,从而达到“一地双收”的目的1。玉米-大豆带状复合种植优势明显,连续多年入选全国主推技术,对保障国家粮油安全意义重大2-3。青贮玉米是全球种植面积最大的饲草,其产量高、营养丰富、适口性好,是反刍动物主要的粗饲料来源4,且因本身附着乳酸菌较多而易青贮成功5。但青贮玉米主要成分是纤维素、半纤维素和木质素,粗蛋白含量较低6,需要额外添加一些大豆豆粕等增加饲料中的蛋白质含量。研究表明,禾本科牧草中添加一定比例的豆科牧草,可将二者的营养优势互补,有效改善饲料营养品质、提高其有氧稳定性及饲用价值7-8。因此,将全株大豆的高蛋白特性与玉米充盈的碳水化合物条件相结合,可以极大地提高青贮饲料的品质9-10。以米豆混合青贮为生产目标的米豆复合种植是近年来提出的一种新型的优质饲料生产模式,既不影响饲草产量又能提高饲草粗蛋白含量11,玉米-大豆带状复合种植与混合青贮技术在四川12、新疆13、内蒙古14等地试验示范,该技术生物产量高,每hm2青贮饲料产量75~90 t;混合青贮料营养全面、价值高,饲喂牛羊增重和产奶效果好,牛羊日增重提高40%15。研究表明,优化田间配置及空间结构可提高间作系统资源利用效率,协调作物种间关系并促进增产16-17。刘昭明等18研究发现,青贮玉米与扁豆(Lablab purpureus)复合种植,群体冠层结构进一步优化,混合干鲜草产量显著增加。封亮等19研究发现,适宜带宽模式下增植一行大豆有利于提升间作产量,玉米和大豆2∶4的间作模式可较好协调作物种间关系,土地产出率和经济效益较高。朱星陶等20研究发现,大豆株距、行距保持不变,增大间作系统内大豆、玉米之间的带间距,会使大豆产量增加。因此,合理的田间配置能够减少强势作物对弱势作物的影响,使复合种植作物产量的潜能得到充分发挥。通过改变作物间作的种间距离和行比配置,可以对群体结构进行调整,进而影响作物群体的光能利用率和干物质生产。合理的种间距离和行比配置可以提高作物叶面积指数,延缓叶片衰老进程21,能够增加间作系统的干物质积累量22;同时利于土地当量比的提高23,实现群体产量和经济效益的最大化24-25。米豆复合种植研究主要集中在粒用玉米上,以青贮利用为目的的米豆复合种植体尚无系统的研究报道。本研究旨在分析比较不同米豆间距和行比配置对青贮用米豆复合种植体冠层特性、叶面积指数、物质积累及产量的影响,为内蒙古自治区通辽市西辽河平原青贮玉米-大豆复合种植提供技术支撑。

1 材料与方法

1.1 试验地概况

试验于2023年在内蒙古通辽市科尔沁区内蒙古民族大学科技园区进行,平均海拔167 m,试验地属于典型温带大陆性季风气候,春季干旱多风,夏季短促温热,降水集中,秋季凉爽,冬季干冷。年均温度为6.4 ℃,年均降水量约380 mm,年平均日照约3000 h,无霜期149 d,试验年份生育期内降水量及温度见表1。试验地土壤类型为灰色草甸土,质地为砂壤土,试验实施前耕层(0~20 cm)土壤基础养分含量为有机质18.52 g·kg-1,全氮1.53 g·kg-1,碱解氮35 mg·kg-1,速效磷14.24 mg·kg-1,速效钾58 mg·kg-1

1.2 试验设计

采用二因素裂区试验设计,主因素为米豆间距,设50、60、70 cm三个水平;副因素为行比配置,设2∶2、2∶4、4∶4、4∶6四个水平(表2)。以青贮型玉米金岭17和大豆东豆9为供试品种。玉米采用浅埋滴灌大小垄(40 cm+80 cm)的种植方式,种植密度为7.5万株·hm-2,大豆采用浅埋滴灌等行距(40 cm)的种植方式,种植密度18 万株·hm-2。各处理玉米底肥施用磷酸二铵(N∶P2O5∶K2O =18∶46∶0)270 kg·hm-2,硫酸钾(K2O=50%) 150 kg·hm-2,于拔节期、大喇叭口期、吐丝期按3∶6∶1追施尿素(N=46%)225 kg·hm-2,大豆底肥随播种一次性施用大豆专用肥(N∶P2O5∶K2O=12∶18∶15)300 kg·hm-2,行长均为25 m,3次重复。玉米、大豆均采用人工点播方式,出苗后每穴留1株。其他管理水平与当地的田间管理水平一致。

1.3 测定指标与方法

1.3.1 米豆相邻行冠层特性

于玉米吐丝期(此时大豆接近盛花期)在米豆相邻行(下同),随机选取生长动态一致的玉米植株3株及大豆植株5株,使用日本美能达公司生产的SPAD502Plus型掌上测定仪对选取玉米植株的穗三叶及大豆植株的顶三叶进行叶绿素含量(SPAD值)测定,每片叶的测量位置选在叶片中间位置,避开叶脉,选取5个点进行测量,取平均值。

于玉米吐丝期,选取晴朗无风天气的9:00-11:00,利用英国Delta公司生产的Delta-T SunScan冠层分析系统,将SunScan系统置于小区内,各处理选取3处长势一致的地块,顺垄测量叶面积指数(leaf area index, LAI),让其记录数据,读取平均数。

于玉米吐丝期,各处理随机选择长势一致且具有代表性的玉米植株3株及大豆植株5株,选取晴朗无风天气,使用美国Li-COR公司生产的Li-6400便携式光合测定仪,于上午8:30-11:30对选取玉米植株的穗三叶及大豆植株的顶三叶进行净光合速率(net photosynthetic rate, Pn)、蒸腾速率(transpiration rate, Tr)、气孔导度(stomatal conductance, Gs)、胞间CO2浓度(intercellular CO2 concentration, Ci)等光合参数的测定。

冠层光合能力=Pn×LAI[26-27]

1.3.2 玉米大豆相邻行干物质积累

于玉米吐丝期(此时大豆接近盛花期)和乳熟期(此时大豆接近鼓粒期),在米豆相邻行,各处理选取长势一致且具有代表性的玉米植株3株及大豆植株5株,沿茎基部剪断,切割成1~2 cm小段,装入网袋,之后于105 ℃烘箱中杀青30 min,80 ℃烘干至恒重,测定其干物质产量。

1.3.3 生物产量及其构成

于玉米籽粒乳线达到1/2(大豆处于鼓粒期)时进行生物产量测定,根据各带型配比,选取各处理代表性样地2 m×12 m,刈割其地上部分,分别测定玉米、大豆的鲜重,各处理取3次重复并计算平均值,同时折算出玉米、大豆及米豆复合体的生物产量。

1.3.4 粗蛋白质含量

收获后取250 g鲜样,根据带型配置将青贮用玉米与大豆按照不同比例混合均匀,在 80 ℃烘至恒重后粉碎,采用凯氏定氮法测定粗蛋白(crude protein, CP)含量28

1.4 数据处理与分析

采用Microsoft Excel 2016进行数据处理,使用DPS 18.10软件进行通径分析、差异显著性(least significance difference, LSD)分析,并使用Origin 2021进行分析和绘图。

2 结果与分析

2.1 带型配置对米豆相邻行冠层特性的影响

2.1.1 带型配置对米豆相邻行玉米、大豆叶片SPAD值的影响

米豆间距、行比配置显著影响玉米不同叶层及大豆的SPAD值,二者互作影响不显著(表3)。在不同米豆间距下,玉米穗位上叶、穗位叶、穗位下叶的SPAD值均表现为60 cm间距最高,且穗位叶和穗位下叶的60 cm间距与50和70 cm间距的差异达到显著水平(P<0.05)。在不同行比配置下,穗位上叶的SPAD值表现为4∶4>2∶2>4∶6>2∶4,4∶4行比配置较2∶4提高7.98%,穗位叶和穗位下叶的SPAD值均表现为4∶4>2∶2>2∶4>4∶6,且4∶4与其他3个行比配置的差异达到显著水平 (P<0.05),4∶4较4∶6分别提高7.35%和8.48%。随着米豆间距的增加,大豆叶片的SPAD值呈增加的趋势,具体表现为70 cm>60 cm>50 cm,且70 cm间距的SPAD值较50 cm显著提高了6.82%(P<0.05)。在不同行比配置下,大豆叶片的SPAD值随着大豆行数的增加而提高,具体表现为4∶6>4∶4>2∶4>2∶2,4∶6较2∶2显著提高35.87%(P<0.05)。

2.1.2 带型配置对米豆相邻行玉米、大豆叶面积指数的影响

米豆间距显著影响玉米不同叶层及大豆的叶面积指数,行比配置显著影响玉米穗上部及大豆叶面积指数,二者互作对玉米不同叶层及大豆的叶面积指数影响均不显著(表4)。在不同米豆间距下,玉米不同叶层叶面积指数均表现为60 cm间距处理最高,且穗位上叶和穗位叶的叶面积指数明显高于其他2个间距处理;在不同行比配置下,玉米不同叶层叶面积指数从高到低依次为:4∶4>2∶2>4∶6>2∶4,穗位上部、穗三叶和穗位下部的4∶4行比配置较2∶4分别提高了15.65%、14.20%和13.61%。在不同米豆间距下,大豆叶面积指数随着米豆间距的增加而提高,70 cm间距处理显著(P<0.05)高于其他2个间距处理;在不同行比配置下,大豆叶面积指数随着大豆行数的增加而提高,表现为6行大豆显著(P<0.05)高于4行和2行大豆,4行大豆显著(P<0.05)高于2行大豆,4∶6较2∶2提高了42.00%。

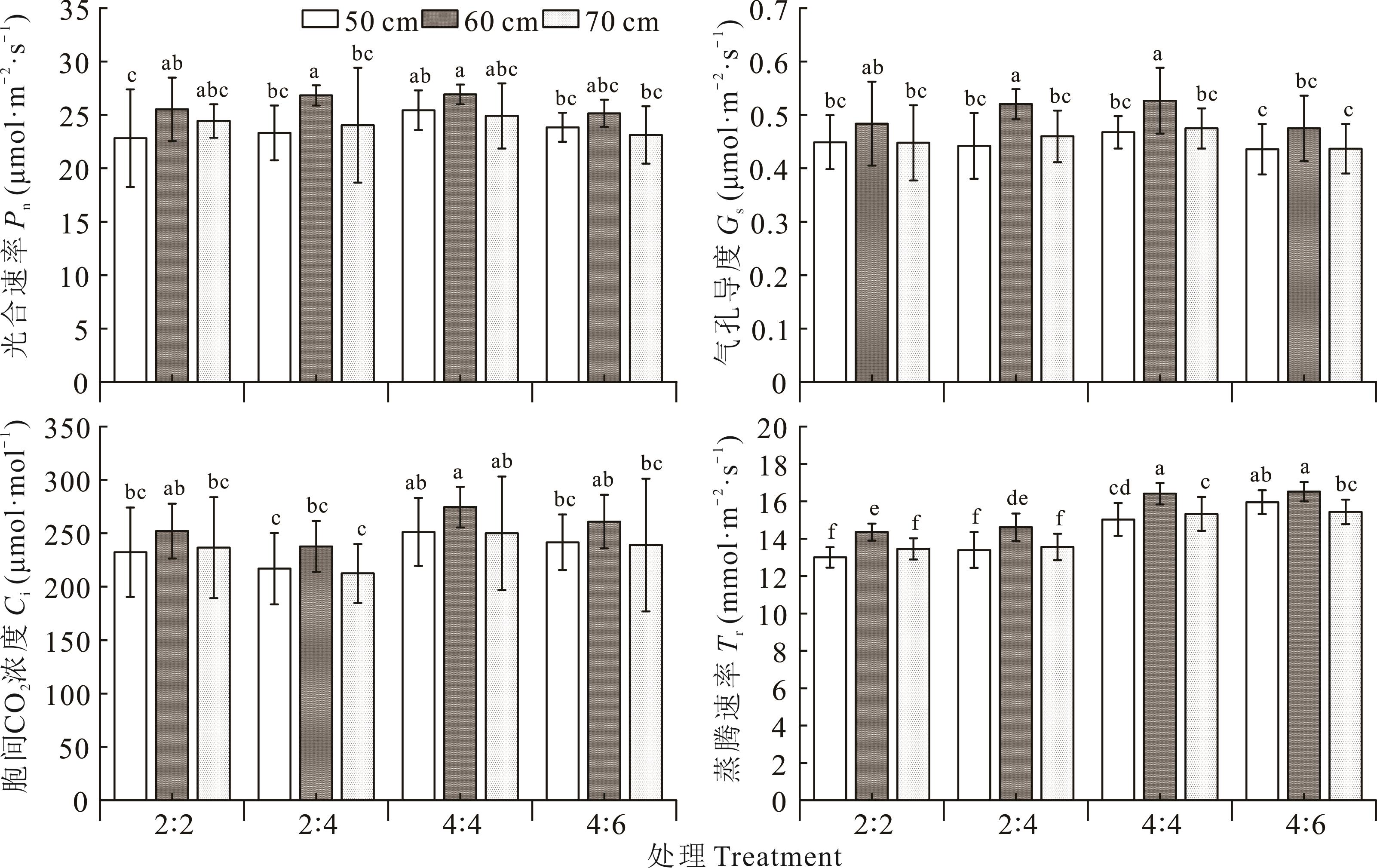
2.1.3 带型配置对米豆相邻行玉米、大豆叶片光合参数的影响

米豆间距显著影响玉米、大豆叶片光合参数,行比配置除对玉米光合速率影响不显著外,对其他玉米、大豆叶片光合参数影响均显著,米豆间距和行比配置互作显著影响大豆的胞间CO2浓度(表5)。

在不同米豆间距下,各间距处理玉米叶片的光合速率、气孔导度、胞间CO2浓度和蒸腾速率皆表现为60 cm间距处理效果最好,较50和70 cm分别增加了9.42%和8.19%、11.75%和10.24%、8.82%和9.30%、7.87%和7.12%(图1)。在不同行比配置下,玉米叶片的光合速率、气孔导度和胞间CO2浓度表现为4∶4行比配置最高。

随米豆间距的增加,大豆叶片净光合速率、气孔导度、蒸腾速率都呈增加趋势,70 cm间距处理的净光合速率、气孔导度、蒸腾速率较50和60 cm分别增加了4.95%和2.34%、25.47%和16.21%、41.05%和25.71%(图2)。胞间CO2浓度在各米豆间距水平下,50 cm间距处理最高。在各行比配置水平下,大豆叶片净光合速率随着行数增多而增加,4∶6行比配置净光合速率最高;气孔导度和蒸腾速率在各行比配置下变化幅度较小,气孔导度最高的为4∶4行比配置的0.562 μmol·m-2·s-1,最低的为2∶4的0.559 μmol·m-2·s-1,蒸腾速率最高的为2∶2的7.91 mmol·m-2·s-1,最低的为4∶4的7.35 mmol·m-2·s-1;随大豆行数增加,大豆胞间CO2浓度呈先增后减的趋势,具体表现为4∶4>4∶6>2∶4>2∶2。

2.1.4 带型配置对米豆相邻行玉米、大豆冠层光合能力的影响

米豆间距、行比配置显著影响玉米、大豆的冠层光合能力,二者互作影响不显著(表6)。在不同米豆间距下,60 cm间距处理的玉米冠层光合能力最强,较最低的50 cm提高了34.28%(图3);在不同行比配置下,玉米冠层光合能力最高的4∶4行比配置较最低的4∶6提高了21.14%。大豆冠层光合能力随着米豆间距和大豆行数增加而增大,70 cm间距、4∶6行比配置模式最强,较最低的50 cm间距、2∶2行比配置模式提高了101.31%。

2.2 带型配置对米豆复合体相邻行干物质积累的影响

米豆间距、行比配置显著影响玉米、大豆两个时期的地上干物质量,二者互作影响不显著(表7)。

随着生育期的推进,玉米的干物质积累呈增加趋势(图4)。在吐丝期及乳熟期的干物质积累量均表现为60 cm间距处理最高,50 cm最低,分别提高了10.34%和9.80%;不同行比配置下,玉米在吐丝期及乳熟期的干物质积累量表现趋势一致,从高到低均为:4∶4>2∶2>2∶4>4∶6,4∶4显著(P<0.05)高于4∶6。

随着生育期的推进,大豆的干物质积累量呈上升趋势(图4)。不同米豆间距下,在盛花期和鼓粒期的干物质积累量随着米豆间距的增加而提高,70 cm间距分别提高了13.58%和9.52%;不同行比配置下,随着大豆行数的增加,在盛花期和鼓粒期的干物质积累量增加,4∶6显著(P<0.05)高于2∶2。

2.3 带型配置对米豆复合体生物产量及其构成的影响

米豆间距、行比配置显著影响玉米、大豆和米豆复合体生物产量及玉米、大豆在复合体中的占比(表8)。二者互作影响不显著。玉米在复合体生物量中占主导地位。在不同米豆间距下,各处理玉米生物量均在60 cm间距下最高,占复合体产量的72.33%~86.81%;大豆生物量随着米豆间距的增加而提高,表现为70 cm间距最高,但只占复合体产量的14.43%~30.97%;在不同米豆间距下复合体生物量在60 cm间距处理下最高,且与其他2个间距处理差异显著(P<0.05)。在不同行比配置下,玉米生物量表现为4∶4>2∶2>2∶4>4∶6;大豆生物量随着行数的增加而提高,4∶6显著高于其他3个(P<0.05),但占复合体产量的比例较小,仅为25.48%~29.03%;在不同行比配置下复合体生物量表现为4∶4>2∶2>4∶6>2∶4,且4∶4行比配置显著(P<0.05)高于其他3个。由此综合来看,复合体生物产量最高的为60 cm间距、4∶4行比配置,与其他处理差异性达到显著水平(P<0.05)。

2.4 带型配置对米豆复合体粗蛋白质含量的影响

米豆间距、行比配置显著影响米豆复合体粗蛋白质含量及产出量。二者互作影响不显著(表9)。

在不同行比配置下,米豆复合体粗蛋白质含量随着米豆间距的增加而提高(图5),在2∶2、2∶4、4∶4及4∶6带型配置下,均表现为70 cm间距处理最高,分别较最低的50 cm间距提高了1.23%、1.18%、0.85%及0.90%。在不同米豆间距下,米豆复合体粗蛋白质含量表现为2∶4行比配置模式最高,在50、60及70 cm米豆间距下, 2∶4分别较2∶2提高了18.00%、17.64%及17.95%。

结合米豆复合体生物产量,单位面积下,不同处理间粗蛋白质含量最高的为60 cm间距、4∶4行比配置,且与其他处理差异性达到显著水平(P<0.05, 图5)。

3 讨论

3.1 带型配置对玉米大豆冠层光合能力的影响

在玉米大豆复合种植系统中,光是影响作物生长的重要非生物因子,对作物生长和产量的形成起着重要的支撑作用29,遮阴也往往可以改变植物的生长和发育过程30-31;米豆间距与行比配置共同影响光能的分布利用与物质积累,环境通风、透光性的优劣是决定作物生长发育及产量形成的关键32。袁嘉磊33的研究表明,玉米-大豆4∶4行比配置模式对玉米叶片的光合能力有显著提升作用,且光合速率和蒸腾速率总体表现最佳。Li等34研究指出,玉米和花生(Arachis hypogaea)间作显著改善了夏玉米的光照条件,提高了玉米的冠层透光率,增强了光合速率,提高了光合特性。本研究表明,在米豆相邻中,不同米豆间距下,玉米光合作用能力表现为60 cm间距处理效果最好;大豆光合作用能力随着米豆间距的增加呈增加趋势,表现为70 cm间距处理效果最好。在不同行比配置下,玉米光合作用能力表现为4∶4行比配置最好;大豆光合作用能力在各行比配置下变化幅度较小。分析原因可能是米豆间距改变及不同行比配置使玉米大豆群体通风透光、促使玉米大豆群体光环境及叶绿素改变,进而导致玉米大豆群体的光合作用升高。豆科作物可通过生物固氮补偿土壤中的氮素,促进禾本科作物对氮的吸收和利用,种间距离缩小可增强玉米根系的氮素吸收能力35。氮素可提高作物的光合能力,加速光合产物的形成及转运36

3.2 带型配置对玉米大豆相邻行干物质积累的影响

干物质积累与作物产量形成有密切的关系,赵德强等37指出,间作提高了玉米单株的干物质积累量,也在一定程度上提高了大豆的干物质积累量,其中玉米的贡献大于大豆。本研究表明在米豆相邻行,随着米豆间距的增加,玉米干物质积累量呈先增加后减小的趋势,表明米豆间距过小时,会加剧玉米内部的竞争,米豆间距过大时,玉米根系对大豆行的氮素吸收能力减弱。杨立达等38指出缩小米豆间距,促进玉米氮素吸收,可显著提高玉米生育后期的生长率,加快干物质积累速率,进而增加干物质积累量。庞婷等39研究发现,间距60 cm时,南豆25可保持较高的干物质积累速率及荚果分配率,同时获得与单作相当的产量。在不同行比配置下,玉米干物质积累量表现为4∶4行比配置最高,分析原因可能是4∶4的适配程度可改善间作作物地上部光合环境、协调地下部养分吸收,进而增加干物质积累量。大豆干物质积累量随着米豆间距和大豆行数的增加而提高,可能是玉米对大豆遮阴减缓,促进了大豆群体植株生长。

3.3 带型配置对米豆复合体生物产量及粗蛋白质的影响

作物增产潜力应摒弃传统,通过改善作物收获指数以达增产,可直接通过增加生物量积累,提高作物的增产潜力。本研究结果表明,青贮用玉米大豆,当米豆间距为60 cm、行比配置为4∶4时复合体生物量最高,主要因为复合体玉米生物量占总生物量的69.03%~86.81%,对复合体总生物量贡献较大,而浅埋滴灌大小垄种植下,60 cm间距、4∶4 行比配置模式玉米能充分发挥边行效应,玉米作为系统中的高位作物,在间作系统中随着米豆间距和行比配置的改变获得了较多的光照资源,其所处的田间小气候也得到了改善,同时吸收玉米边行和大豆边行的土壤养分及水分,进一步优化了边行玉米的生育环境。Feng等40研究发现,配置模式对玉米的产量构成因素有显著影响,间作明显提高了玉米产量主要构成因素的数值而降低了大豆的数值,结果使玉米带内产量显著高于单作,而大豆带内产量则显著低于大豆单作。随着米豆间距和行比配置的改变,玉米-大豆组成的间作系统对土地面积及空间的利用更加合理。大豆生物量随着带宽和行数的增加而提高,大豆在米豆复合体生物产量中占比较低,只有13.19%~30.97%。相较于其他处理,60 cm间距、4∶4行比配置模式下玉米面积占复合体面积较高,玉米生物量高,大豆生物量虽略低,但复合体生物量仍最高。玉米生物量与叶面积指数、光合能力、SPAD值及干物质积累量均正相关,本试验结果与齐尚红等41、战秀梅等42的结果吻合。刘洋等43研究发现,在玉米-大豆间作模式下,间作玉米较单作增产36.88%,而间作大豆较单作减产29.76%。粗蛋白质含量表现为70 cm间距、2∶4行比配置模式最高,可能是米豆间距增加,玉米、大豆种间竞争减小,2∶4行比配置大豆占比最高,增加了复合体中的粗蛋白质含量,本试验结果与丁月强44、瓮巧云等45的结果吻合。但结合米豆复合体的生物产量,分析各处理间的单位面积粗蛋白质产出量,60 cm间距、4∶4行比配置模式仍表现最高。关于青贮用米豆复合种植,柳茜等46研究表明,与单作青贮玉米相比,青贮玉米与拉巴豆(Dolichos lablab)复合种植鲜草产量比单作青贮玉米提高了19.96%,干草产量提高了11.85%。研究表明,利用玉米碳水化合物高和大豆粗蛋白高的特点,在适宜时期将整株玉米大豆进行粉碎,进行混贮,可增加饲料粗蛋白含量47,改善饲料品质48,提高营养价值49-50

4 结论

本研究结果表明,不同米豆间距与行比配置对青贮用玉米、大豆相邻行的冠层特性、干物质积累及对整体带型配置中米豆复合体生物产量及粗蛋白质含量等影响程度存在差异;在青贮用玉米大豆复合种植中,米豆间距为60 cm、行比配置为4∶4时,玉米、大豆冠层特性改善,群体干物质积累量增加,玉米-大豆组成的复合种植系统,生物产量最高,单位面积粗蛋白质产出量最高。因此,考虑到群体冠层特性及群体生物产量等,在内蒙古通辽市西辽河平原青贮用玉米大豆复合种植时,60 cm米豆间距、4∶4行比配置模式是相对适宜的复合种植方式。

参考文献

[1]

Wang X R, Huang C, Yang Y H, et al. Experimental study on belt type of soybean maize compound planting in Jalaid Banner, Inner Mongolia. Chinese Agricultural Science Bulletin, 2023, 39(31): 1-6.

[2]

王昕然, 黄超, 杨玉辉, 内蒙古扎赉特旗大豆玉米带状复合种植带型试验研究. 中国农学通报, 2023, 39(31): 1-6.

[3]

Wang X C, Ma X X, Yang T H, et al. Effects of different mixing ratios on the quality of corn-soybean whole plant mixed silage. Soybean Science, 2024, 43(3): 376-381.

[4]

王晓春, 马晓霞, 杨天辉, 青贮玉米与全株大豆混合比例对青贮品质的影响. 大豆科学, 2024, 43(3): 376-381.

[5]

Yang W Y, Yang F. Developing maize-soybean strip intercropping for demand security of national food. Scientia Agricultura Sinica, 2019, 52(21): 3748-3750.

[6]

杨文钰, 杨峰. 发展玉豆带状复合种植,保障国家粮食安全. 中国农业科学, 2019, 52(21): 3748-3750.

[7]

Zhao X J. Quality evaluation and key points analysis of whole plant corn silage in large-scale pasture of Heilongjiang Province. Harbin: Northeast Agricultural University, 2019.

[8]

赵雪娇. 黑龙江地区规模化牧场全株玉米青贮品质评价及制作关键点分析. 哈尔滨: 东北农业大学, 2019.

[9]

Zheng M, Li J, Sun F C, et al. Research progress on the effects of different varieties and silage methods on the quality of corn silage. Journal of Northern Agriculture, 2020, 48(5): 43-48.

[10]

郑美, 李娟, 孙峰成, 不同品种和青贮方式对玉米青贮品质影响的研究进展. 北方农业学报, 2020, 48(5): 43-48.

[11]

Zhang H J, Wang S J, Tian C J, et al. Effects of maize straw and its biochar on the dissolved organic matter characteristics of black soil in northeastern China. Journal of Soil and Water Conservation, 2021, 35(2): 243-250.

[12]

张海晶, 王少杰, 田春杰, 玉米秸秆及其生物炭对东北黑土溶解有机质特性的影响. 水土保持学报, 2021, 35(2): 243-250.

[13]

Gan L, Li H P, Wang H, et al. Effects of growth phase and mixed sowing ration on silage quality of forage oat/common vetch mixed fermentation in winter fallow field of Sichuan. Acta Agrestia Sinica, 2023, 31(6): 1867-1877.

[14]

甘丽, 李海萍, 汪辉, 生育期和混播比例对四川冬闲田燕麦/箭筈豌豆混合青贮品质的影响. 草地学报, 2023, 31(6): 1867-1877.

[15]

Huang X H. Sophora alopecuroides and corn straw mixed silaging and quality evaluation of silage. Lanzhou: Lanzhou University, 2014.

[16]

黄晓辉. 苦豆子和玉米秸秆的混合青贮及其品质评价. 兰州: 兰州大学, 2014.

[17]

Liang W W, Zhang H H, Zhang X Z, et al. Comprehensive evaluation of 23 silage maize varieties in the Changji, Xinjiang. Pratacultural Science, 2022, 39(10): 2180-2190.

[18]

梁维维, 张荟荟, 张学洲, 新疆昌吉地区23份青贮玉米品种综合评价. 草业科学, 2022, 39(10): 2180-2190.

[19]

Batista V V, Adami P F, Moraes P, et al. Row arrangements of maize and soybean intercrop on silage quality and grain yield. Journal of Agricultural Science, 2019, 11(2): 286-300.

[20]

Lian J P, Zhao Z G, Luo R P, et al. Effect of forage soybean and silage corn compound planting on yield and quality of mixed feed. Feed Research, 2022, 45(8): 90-94.

[21]

连金番, 赵志刚, 罗瑞萍, 饲草大豆与青贮玉米复合种植对混合饲料产量和品质的影响. 饲料研究, 2022, 45(8): 90-94.

[22]

Wen X J, Yang J Z, Xiao Q Y, et al. Effect of mixed silage ratio of whole plant corn and soybean on silage quality in Northwest Sichuan plateau. Chinese Journal of Grassland, 2022, 44(8): 115-120.

[23]

文兴金, 杨继芝, 肖启银, 川西北高原全株玉米和大豆混贮比例对青贮品质的影响. 中国草地学报, 2022, 44(8): 115-120.

[24]

Shen L, Wang X Y, Teng Y X, et al. Study on the influence of maize||soybean on crop growth and yield in arid area. Journal of Shihezi University (Natural Science Edition), 2022, 40(1): 13-20.

[25]

申磊, 王秀媛, 滕元旭, 干旱区玉米大豆单间作生长及产量影响的研究. 石河子大学学报(自然科学版), 2022, 40(1): 13-20.

[26]

Zhaobayinnamula, Dehaishan, Hongmei, et al. Effects of maize/soybean intercropping pattern on dynamic changes of cropland soil macrofauna community. Soil and Fertilizer Sciences in China, 2022(7): 132-140.

[27]

赵巴音那木拉, 德海山, 红梅, 玉米/大豆间作种植对农田大型土壤动物群落动态变化的影响. 中国土壤与肥料, 2022(7): 132-140.

[28]

Li J W, Gao L H, Guo S S, et al. Prospects for the application of mixed corn-soybean silage. Hebei Agriculture, 2024(1): 89-90.

[29]

李军伟, 高丽惠, 郭士松, 玉米大豆混合青贮的应用前景. 河北农业, 2024(1): 89-90.

[30]

Yang F, Lou Y, Liao D P, et al. Effects of row spacing on crop biomass, root morphology and yield in maize-soybean relay strip intercropping system. Acta Agronomica Sinica, 2015, 41(4): 642-650.

[31]

杨峰, 娄莹, 廖敦平, 玉米-大豆带状套作行距配置对作物生物量、根系形态及产量的影响. 作物学报, 2015, 41(4): 642-650.

[32]

Liu S S, Pang T, Yuan X T, et al. Effects of row spacing on root nodule growth and nitrogen fixation potential of different nodulation characteristics soybeans in intercropping. Acta Agronomica Sinica, 2023, 49(3): 833-844.

[33]

刘姗姗, 庞婷, 袁晓婷, 种间距对不同结瘤特性套作大豆根瘤生长及固氮潜力的影响. 作物学报, 2023, 49(3): 833-844.

[34]

Liu Z M, Xu J L. Effect of maize and lentil mixed silage on silage yield and quality. Contemporary Animal Husbandry, 2011, 2(11): 34-35.

[35]

刘昭明, 许金玲. 玉米与扁豆混播混贮对青贮饲料产量和质量的影响. 当代畜牧, 2011, 2(11): 34-35.

[36]

Feng L, Huang G Q, Yang W T, et al. Yields and interspecific relationship of the maize-soybean intercropping system in the upland red soil of Jiangxi Province. Chinese Journal of Eco-Agriculture, 2021, 29(7): 1127-1137.

[37]

封亮, 黄国勤, 杨文亭, 江西红壤旱地玉米||大豆间作模式对作物产量及种间关系的影响. 中国生态农业学报(中英文), 2021, 29(7): 1127-1137.

[38]

Zhu X T, Tan C Y, Chen J Q, et al. Effect of intercropping row spacing between maize and soybean on growth and quality of soybean. Guizhou Agricultural Sciences, 2016, 44(6): 22-25, 52.

[39]

朱星陶, 谭春燕, 陈佳琴, 玉米-大豆间作行距对大豆生长及品质的影响. 贵州农业科学, 2016, 44(6): 22-25, 52.

[40]

Shu Z B. Effects of bandwidth and density on population yield in fresh maize-fresh soybean strip intercropping system. Chengdu: Sichuan Agricultural University, 2023.

[41]

舒泽兵. 北疆灌区青贮玉米-大豆带状间作群体产量与混合青贮品质对密度的响应. 成都: 四川农业大学, 2023.

[42]

Cai Q, Sun Z X, Zheng J M, et al. Dry matter accumulation, allocation, yield and productivity of maize-soybean intercropping systems in the semi-arid region of western Liaoning Province. Scientia Agricultura Sinica, 2021, 54(5): 909-920.

[43]

蔡倩, 孙占祥, 郑家明, 辽西半干旱区玉米大豆间作模式对作物干物质积累分配、产量及土地生产力的影响. 中国农业科学, 2021, 54(5): 909-920.

[44]

Chen Y K. Effects of field configuration on soybean light utilization, intraspecific competition, and yield benefits under maize-soybean relay strip intercropping system. Chengdu: Sichuan Agricultural University, 2021.

[45]

陈元凯. 田间配置对玉豆带状套作下大豆光能利用、种内竞争和产量效益的影响. 成都: 四川农业大学, 2021.

[46]

Li Q. Study on the interspecific effect of potato intercropping with maize. Yinchuan: Ningxia University, 2019.

[47]

李倩. 马铃薯玉米间作的种间作用效应研究. 银川: 宁夏大学, 2019.

[48]

Xiao J X, Tang L, Zheng Y. Effects of N fertilization on yield and nutrient absorption in rape and faba bean intercropping system. Journal of Plant Nutrition and Fertilizers, 2011, 17(6): 1468-1473.

[49]

肖靖秀, 汤利, 郑毅. 氮肥用量对油菜||蚕豆间作系统作物产量及养分吸收的影响. 植物营养与肥料学报, 2011, 17(6): 1468-1473.

[50]

Xu T J, Lyu T F, Zhao J R, et al. Photosynthetic characteristics, dry matter accumulation and translocation, grain filling parameter of three main maize varieties in production. Acta Agronomica Sinica, 2018, 44(3): 414-422.

[51]

徐田军, 吕天放, 赵久然, 玉米生产上3个主推品种光合特性、干物质积累转运及灌浆特性. 作物学报, 2018, 44(3): 414-422.

[52]

Pei W D, Zhang R H, Wang G X, et al. Responses of canopy structure and population photosynthetic traits on increased planting density of different maize cultivars. Journal of Maize Sciences, 2020, 28(3): 92-98.

[53]

裴文东, 张仁和, 王国兴, 玉米冠层结构和群体光合特性对增密的响应. 玉米科学, 2020, 28(3): 92-98.

[54]

Yang S. Feed analysis and quality detection technology. Beijing: Agricultural University Press, 1999: 58-63.

[55]

杨胜. 饲料分析与质量检测技术. 北京: 农业大学出版社, 1999: 58-63.

[56]

Gaju O, Desilva J, Carvalho P, et al. Leaf photosynthesis and associations with grain yield, biomass and nitrogen-use efficiency in landraces, synthetic-derived lines and cultivars in wheat. Field Crops Research, 2016, 193: 1-15.

[57]

Valladares F, Niinemets Ü. Shade tolerance, a key plant feature of complex nature and consequences. Annual Review of Ecology, Evolution, and Systematics, 2008, 39: 237-257.

[58]

Huang D, Wu L, Chen R J, et al. Morphological plasticity, photosynthesis and chlorophyll fluorescence of Athyrium pachyphlebium at different shade levels. Photosynthetica, 2011, 49(4): 611-618.

[59]

Tang H Q, Li Z Y, Dong W B, et al. Effects of different intercropping modes of green manure replacing chemical fertilizer on cassava (Manihot esculenta Crantz) traits and yield. Crops, 2021(4): 184-190.

[60]

唐红琴, 李忠义, 董文斌, 不同间作绿肥替代化肥模式对木薯性状和产量的影响. 作物杂志, 2021(4): 184-190.

[61]

Yuan J L. Study on physiological basis and suitability of different intercropping models of maize and soybean. Hohhot: Inner Mongolia Agricultural University, 2021.

[62]

袁嘉磊. 玉米大豆不同间作模式群体生理基础及适宜性研究. 呼和浩特: 内蒙古农业大学, 2021.

[63]

Li Y H, Shi D Y, Li G H, et al. Maize/peanut intercropping increases photosynthetic characteristics, 13C-photosynthate distribution, and grain yield of summer maize. Journal of Integrative Agriculture, 2019, 18(10): 2219-2229.

[64]

Chen P, Du Q, Pang T, et al. Effects of root interaction intensity on crop roots distribution above-ground growth in a maize/soybean relay intercropping system. Journal of Sichuan Agricultural University, 2018, 36(1): 28-37, 59.

[65]

陈平, 杜青, 庞婷, 根系互作强度对玉米/大豆套作系统下作物根系分布及地上部生长的影响. 四川农业大学学报, 2018, 36(1): 28-37, 59.

[66]

Zhou H L, Yao X D, Zhao Q, et al. Rapid effect of nitrogen supply for soybean at the beginning flowering stage on biomass and sucrose metabolism. Scientific Reports, 2019, 9(1): 15530.

[67]

Zhao D Q, Li T, Hou Y T, et al. Benefits and marginal effect of dry matter accumulation and yield in maize and soybean intercropping patterns. Scientia Agricultura Sinica, 2020, 53(10): 1971-1985.

[68]

赵德强, 李彤, 侯玉婷, 玉米大豆间作模式下干物质积累和产量的边际效应及其系统效益. 中国农业科学, 2020, 53(10): 1971-1985.

[69]

Yang L D, Ren J B, Peng X Y, et al. Crop growth characteristics and its effects on yield formation through nitrogen application and interspecific distance in soybean/maize strip relay intercropping. Acta Agronomica Sinica, 2024, 50(1): 251-264.

[70]

杨立达, 任俊波, 彭新月, 施氮与种间距离下大豆/玉米带状套作作物生长特性及其对产量形成的影响. 作物学报, 2024, 50(1): 251-264.

[71]

Pang T, Chen P, Yuan X T, et al. Effects of row spacing on dry matter accumulation, grain filling and yield formation of different nodulation characteristic soybeans in intercropping. Scientia Agricultura Sinica, 2019, 52(21): 3751-3762.

[72]

庞婷, 陈平, 袁晓婷, 种间距对不同结瘤特性套作大豆物质积累、鼓粒及产量形成的影响. 中国农业科学, 2019, 52(21): 3751-3762.

[73]

Feng L, Raza A M, Shi J, et al. Delayed maize leaf senescence increases the land equivalent ratio of maize soybean relay intercropping system. European Journal of Agronomy, 2020, DOI: 10.1016/j.eja.2020.126092.

[74]

Qi S H, He G H, Sun Z Y, et al. Effect of several tillage practices on dry matter accumulation in summer maize. Journal of Henan Institute of Science and Technology (Natural Science Edition), 2010, 38(1): 18-21.

[75]

齐尚红, 何桂花, 孙志勇, 几种耕作方式对夏玉米干物质积累的影响. 河南科技学院学报(自然科学版), 2010, 38(1): 18-21.

[76]

Zhan X M, Han X R, Yang J F, et al. Dynamics changes of dry matter accumulation of maize as affected by different quantity of nitrogen and phosphorus and potassium. Chinese Journal of Soil Science, 2007, 38(3): 495-499.

[77]

战秀梅, 韩晓日, 杨劲峰, 不同氮、磷、钾肥用量对玉米源、库干物质积累动态变化的影响.土壤通报, 2007, 38(3): 495-499.

[78]

Liu Y, Sun Z X, Bai W, et al. Effect of maize and soybean interplanting on crops growth and yield in western Liaoning Province. Soybean Science, 2011, 30(2): 224-228.

[79]

刘洋, 孙占祥, 白伟, 玉米大豆间作对辽西地区作物生长和产量的影响. 大豆科学, 2011, 30(2): 224-228.

[80]

Ding Y Q. Effects of different configuration modes on yield and quality of silage maize||soybean complex. Tongliao: Inner Mongolia Minzu University, 2024.

[81]

丁月强. 不同配置模式对青贮型玉米||大豆复合体产量和品质的影响. 通辽: 内蒙古民族大学, 2024.

[82]

Weng Q Y, Huang X J, Xu H L, et al. Effect of corn/soybean intercropping model on yield, quality, soil nutrition and rhizosphere microorganisms of silage corn. Journal of Nuclear Agricultural Sciences, 2021, 35(2): 462-470.

[83]

瓮巧云, 黄新军, 许翰林, 玉米/大豆间作模式对青贮玉米产量、品质及土壤营养、根际微生物的影响. 核农学报, 2021, 35(2): 462-470.

[84]

Liu Q, Fu P, Su M, et al. Studies on the production performance of silage maize mixed with lablab beans. Journal of Grassland and Forage Science, 2015, 6(5): 22-24.

[85]

柳茜, 傅平, 苏茂, 青贮玉米与拉巴豆混播生产性能研究. 草业与畜牧, 2015, 6(5): 22-24.

[86]

Duan J X, Zang Q J, Xue S M, et al. Effect on forage yield and silage quality of silage maize and amaranth intercropping in subtropical districts. Pratacultural Science, 2024, 41(6): 1471-1482.

[87]

段佳鑫, 臧庆吉, 薛世明, 亚热带区玉米和籽粒苋间作对饲草产量和品质的影响. 草业科学, 2024, 41(6): 1471-1482.

[88]

Carpici B E. Nutritive values of soybean silages ensiled with maize at different rates. Legume Research-An International Journal, 2016, 39(5): 810-813.

[89]

Luo Y, Chen T F, Li J L, et al. Study on the nutritional quality of Italian ryegrass and soybean straw mixed silages. Acta Agrestia Sinica, 2015, 23(1): 200-204.

[90]

罗燕, 陈天峰, 李君临, 多花黑麦草与大豆秸秆混合青贮品质的研究. 草地学报, 2015, 23(1): 200-204.

[91]

Sun H, Lu J D, Shi Y H, et al. Application and prospect of whole crop wheat silage in animal production. Pratacultural Science, 2022, 39(11): 2453-2465.

[92]

孙浩, 卢家顶, 史莹华, 全株小麦青贮在动物生产中的应用及前景. 草业科学, 2022, 39(11): 2453-2465.

基金资助

国家重点研发计划(2023YFD2301802)

内蒙古自治区直属高校基本科研业务费(GXKY22142)

AI Summary AI Mindmap
PDF (4076KB)

857

访问

0

被引

详细

导航
相关文章

AI思维导图

/